
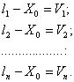
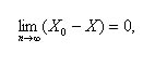
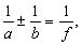
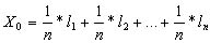
обвод дополнения (d1, d2, d3, d4) каждой части до прямоугольника (квадрата), образованного линиями координатной сетки, получение разностей Δnd1, Δnd2, Δnd3, Δnd4,
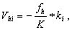
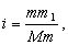
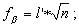
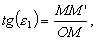
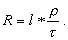
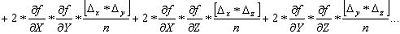
вычисление цены деления планиметра 4 раза по формуле: ci = ( ti * po) / ( Δnui + Δndi),
где: ti — количество квадратов координатной сетки в суммах ui + di (на рисунке t1 = t4 = 4, t2 = t3 = 1),
po — площадь квадрата координатной сетки в гектарах,
Δnui, Δndi — i-тые разности отсчетов по счетному механизму и среднего из четырех cср = 0.25 * (c1 + c2 + c3 + c4),
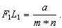
вычисление площади каждой части участка p1, p2, p3, p4 pi = cср * Δnui ,
вычисление площади участка P = p1 + p2 + p3 + p4 + k * po .
6.4. Понятие о редуцировании площади участка
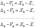
Участок местности в общем случае имеет неровную поверхность, и поэтому в геодезии различают площадь физической поверхности участка Pф и площадь проекции участка на горизонтальную плоскость P; ясно, что Pф > P.
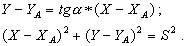
Пусть участок прямоугольной формы расположен на плоскости G, имеющей угол наклона
ν (рис.6.9).
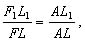
Площадь прямоугольника ABCD на плоскости G будет равна:
где a, b — стороны прямоугольника.
Площадь горизонтальной проекции этого же прямоугольника равна: P = a * b’ = a * b * Cos (ν)
|
или |
|
|
P = Pф * Cos(ν). 1 |
(6.29) |
|
Рис.6.9 |
||
|
Далее можно написать: |
||
|
P = Pф — ΔP, |
(6.30) |
|
|
где |
||
|
ΔP = 2 * Pф * Sin2(ν/120). |
(6.31) |
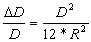
Таким образом, относительное искажение площади участка ΔP/Pф зависит только от угла наклона; при этом форма участка и его расположение в плоскости G не влияют на

величину искажения. В следующей таблице приведены численные значения относительного искажения площади участка для разных углов наклона ν. Таблица 6.2
|
ν |
1 |
2 |
3 |
4 |
5 |
6 |
7 |
8 |
9 |
10 |
|||||||||||||
|
Р/P |
1/6570 |
1/11640 |
1/730 |
1/410 |
1/263 |
1/182 |
1/132 |
1/103 |
1/81 |
1/66 |
|||||||||||||
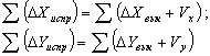
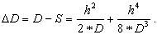
Если угол наклона плоскости G неизвестен, то абсолютное искажение площади можно получить по известным координатам и отметкам поворотных точек контура участка, выполнив следующие операции:
по координатам поворотных точек вычислить площадь горизонтальной проекции участка: P = 0.5 * Σ [ Xi * ( Yi+1 — Yi-1 )],
решить обратные задачи по всем сторонам контура участка и получить горизонтальные проложения Si и дирекционные углы αi всех сторон,
вычислить длины сторон контура по формуле:
(6.32)
где hi — превышение по i — той стороне,
одну из поворотных точек контура участка (например, 1-ю) принять за исходную в местной системе координат на плоскости G, то-есть,
X’1 = X1 , Y’1 = Y1 ,
и вычислить координаты всех остальных поворотных точек контура в этой системе по формулам:
X’i+1 = X’i + di * Cos(αi), Y’i+1 = Y’i + di * Sin(αi),
вычислить площадь участка на плоскости G: Pф = 0.5 * S[X’i * (Y’i+1 — Y’i-1)],
вычислить абсолютное искажение площади участка: ΔP = Pф — P.
Если поверхность участка имеет произвольно сложную форму, то участок нужно разделить на t частей желательно треугольной формы, каждая из которых имеет постоянный угол наклона к горизонту, вычислить искажения площади для всех t частей и найти их сумму.
При делении участка нужно соблюдать следующие правила:
вершины гор и донья котловин должны фиксироваться точками с координатами и отметками, каждая линия водораздела, водослива, бровки, подошвы и перегиба ската должна
фиксироваться не менее, чем двумя точками с координатами и отметками. Координаты и отметки этих точек можно определять по топографической карте или плану.
7. Топографическая съемка местности
7.1.Геодезические сети
7.1.1.Классификация геодезических сетей
Сточки зрения геометрии любая геодезическая сеть — это группа зафиксированных на местности точек, для которых определены плановые координаты (X и Y или B и L) в

принятой двухмерной системе координат и отметки H в принятой системе высот или три координаты X, Y и Z в принятой трехмерной системе пространственных координат. Геодезическая сеть России создавалась в течение многих десятилетий; за это время изменялись не только классификация сетей, но и требования к точности измерений в них. Согласно [18] все геодезические сети по назначению и точности построения подразделяются на три большие группы:
государственные геодезические сети (ГГС), геодезические сети сгущения (ГСС), геодезические съемочные сети.
В настоящее время считаются действующими Инструкция 1966 года [18] о ГГС, Инструкция 1982 года о ГСС и съемочных сетях и ряд ведомственных положений и инструкций о других видах сетей.
Насущной задачей нынешнего периода является создание единой классификации всех существующих и перспективных геодезических сетей, которая бы соответствовала международным стандартам.
Государственная геодезическая сеть (ГГС) является главной геодезической основой топографических съемок всех масштабов и должна удовлетворять требованиям народного хозяйства и обороны страны при решении соответствующих научных и инженернотехнических задач. Плановая сеть создается методами триангуляции, полигонометрии, трилатерации и их сочетаниями; высотная сеть создается построением нивелирных ходов и сетей геометрического нивелирования. Государственная геодезическая сеть подразделяется на сети 1,2, 3 и 4 классов, различающиеся точностью измерений углов, расстояний и превышений, длиной сторон сети и порядком последовательного развития. Государственная геодезическая сеть 1 класса, называемая еще астрономо-геодезической сетью (АГС), строится в виде полигонов периметром около 800 — 1000 км, образуемых триангуляционными или полигонометрическими звеньями длиной не более 200 км и располагаемыми по возможности вдоль меридианов и параллелей.
Государственная геодезическая сеть 2-го класса строится в виде триангуляционных сетей, сплошь покрывающих треугольниками полигоны, образованные звеньями триангуляции или полигонометрии.
Требования к точности измерения горизонтальных углов и расстояний в триангуляции приведены в таблице 7.1, в полигонометрии — в таблице 7.2.
Таблица 7.1.
|
Класс сети |
Ср. кв. ошибка |
Относительная ошибка |
Длина стороны |
||||||||
|
измерения углов |
базисных сторон |
треугольника |
|||||||||
|
1 |
0.7″ |
1 : 400 000 |
> 20 |
км |
|||||||
|
2 |
1.0 |
1 : 300 000 |
7 |
— 20 км |
|||||||
|
3 |
1.5 |
1 : 200 000 |
5 |
— 8 |
км |
||||||
|
4 |
2.0 |
1 : 200 000 |
2 |
— 5 |
км |
||||||
|
Таблица 7.2. |
|||||||||||
|
Класс сети |
Ср. кв. ошибка |
Относительная ошибка |
Длина стороны |
||||||||
|
измерения углов |
стороны хода |
хода |
|||||||||
|
1 |
0.4″ |
1 : 300 000 |
> 20 |
— 25 км |
|||||||
|
2 |
1.0 |
1 : 250 000 |
7 |
— 20 км |
|||||||
|
3 |
1.5 |
1 : 200 000 |
> 3 км |
||||||||
|
4 |
2.0 |
1 : 150 000 |
> 2 км |
||||||||

Кроме того, должны быть выполнены условия по количеству сторон в ходе, по длине периметра полигонов и некоторые другие.
Средние квадратические ошибки измерения превышений на 1 км хода в нивелирных ходах и сетях I, II, III, IY классов равны 0.8 мм, 2.0 мм, 5 мм и 10 мм соответственно; предельные ошибки на 1 км хода приняты равными 3 мм, 5 мм, 10 мм и 20 мм соответственно [15].
Для топографических съемок в Инструкции 1966 года [18] установлены следующие нормы плотности пунктов ГГС:
для съемок в масштабах 1 : 25 000 и 1 : 10 000 — 1 пункт на 50 — 60 км2, для съемок в масштабах 1 : 5 000 — 1 пункт на 20 — 30 км2, для съемок в масштабах 1:2 000 и крупнее — 1 пункт на 5-15 км2.
В труднодоступных районах плотность пунктов ГГС может быть уменьшена, но не более, чем в 1.5 раза.
На территории городов, имеющих не менее 100 000 жителей или занимающих площадь в пределах городской черты не менее 50 км2, плотность пунктов ГГС должна быть доведена до 1 пункта на 5 — 15 км2.
Геодезические сети сгущения (ГCС) являются планово-высотным обоснованием топографических съемок масштабов от 1:5000 до 1:500, а также служат основой для производства различных инженерно-геодезических работ. Они создаются методами триангуляции и полигонометрии. По точности измерения углов и расстояний полигонометрия ГСС бывает 4-го класса, 1-го и 2-го разрядов [14] — таблица 7.3.
Таблица 7.3.
|
Разряд Ср. кв. ошибка |
Относительная ошибка |
|||
|
сети |
измерения углов измерения расстояний |
|||
|
4 |
кл. |
3.0″ |
1 |
: 25 000 |
|
1 |
разр. 5.0″ |
1 |
: 10 000 |
|
|
2 |
разр. 10.0″ |
1 |
: 5 000 |
Следует подчеркнуть, что измерения в 4-м класс полигонометрии ГСС выполняются со значительно меньшей точностью, чем в 4-м классе ГГС.
Плотность пунктов ГСС должна быть доведена до 1 пункта на 1 км2 на незастроенной территории и до 4 пунктов на 1 км2 на территории населенных пунктов и на промплощадках.
Государственную геодезическую сеть 4 класса можно считать переходным видом сетей между ГГС и ГСС.
Отметки пунктов ГСС определяются из нивелирования IY класса или из технического нивелирования.
Геодезические съемочные сети служат непосредственной основой топографических съемок всех масштабов. Они создаются всеми возможными геодезическими построениями; плотность их пунктов должна обеспечивать высокое качество съемки. Отметки пунктов съемочных сетей разрешается получать из технического нивелирования
(при высоте сечения рельефа h 
высоте сечения h 
На территории России кроме ГГС, ГСС, ГНС (государственной нивелирной сети) существуют и другие виды геодезических сетей [20]:
фундаментальная астрономо-геодезическая сеть (ФАГС), государственная фундаментальная гравиметрическая сеть (ГФГС), доплеровкая геодезическая сеть (ДГС), космическая геодезическая сеть (КГС),
спутниковая геодезическая сеть 1-го класса (СГС-1), спутниковая дифференциальная геодезическая сеть (СДГС).
Создание геодезических сетей любого класса и разряда осуществляется по заранее разработанным и утвержденным проектам. В проекте должна быть составлена схема сети (схема размещения пунктов сети и их связей), обоснованы типы центров и знаков, определены объемы измерений и их точность, выбраны приборы для измерения углов, расстояний, превышений и разработана методика измерений.
Проектирование триангуляции, трилатерации и сложных произвольных сетей выполняется, как правило, на ЭВМ по специальным программам.
7.1.2. Закрепление геодезических пунктов на местности
На местности геодезические пункты отмечаются центрами и опознавательными знаками. Типы центров и опознавательных знаков бывают самые разноообразные; они зависят от типа и точности геодезической сети, от климатических, почвенных и других характеристик местности. Геодезические пункты должны быть достаточно прочными и долговечными, чтобы сохранить неизменное положение центра в течение длительного времени, и находиться в удобном месте, обеспечивающем быстрое его обнаружение и опознавание.
На рис.7.1 приведены четыре конструкции центров пунктов: а — для районов с сезонным промерзанием грунтов, б — для районов с сезонным оттаиванием грунтов, в — скальная марка, г — стенной центр.
На рис.7.2 приведены два типа наружных знаков: а — металлическая пирамида, б — сложный сигнал.

Рис.7.2
7.2. Съемочное обоснование топографических съемок
Комплекс работ, в результате выполнения которого получают карту или план местности, называют топографической съемкой. Рассмотрим один пример. Пусть нужно составить план некоторого участка местности (например, план небольшого дачного участка). Если
требуется невысокая точность изображения деталей местности на плане, можно применить глазомерную съемку.
Наметим на местности точки-ориентиры (например, углы изгороди участка), определим их взаимное положение и нанесем в масштабе на бумагу — будущий план участка. Эти точки играют роль опорных, так как положение всех остальных точек (углы построек, грядки, отдельные деревья и кусты) мы будем определять относительно них или относительно линий, их соединяющих.
Инструментальная съемка выполняется с более высокой точностью, чем глазомерная, но принцип съемки остается тот же: на местности создается сеть опорных точек, взаимное положение которых в принятой системе координат определяют в первую очередь. Затем прибор для съемки устанавливают последовательно на каждую опорную точку и снимают ситуацию и рельеф в промежутках между ними, определяя положение точек местности относительно опорных точек и соединяющих их линий.
Точки, на которые устанавливают прибор для съемки, закрепляют на местности; их называют пунктами съемочного обоснования. Их координаты и отметки определяют из геодезических измерений, как правило, до начала съемки. По координатам эти пункты наносят на планшет, подготовленный к съемке (на планшете имеется только координатная сетка линий X=Const и Y=Const). Пункты геодезического съемочного обоснования образуют жесткий геометрический каркас плана, относительно которого определяется положение всех остальных точек плана.
По Инструкции средняя ошибка планового положения пунктов съемочного обоснования допускается 0.1 мм в масштабе плана. Этот допуск определяется точностью графических построений. Действительно, нет нужды определять координаты пунктов с большей точностью, так как они нужны только для того, чтобы нанести по ним на план пункты съемочного обоснования. Предельная ошибка планового положения пунктов съемочного обоснования допускается 0.2 мм в масштабе плана на застроенной территории и в открытой местности и 0.3 мм — в закрытой местности. При выполнении специальных съемок допуск на эту ошибку может быть уменьшен.
Средняя ошибка пунктов съемочного обоснования допускается 0.1*h, где h — высота сечения рельефа создаваемого плана.
7.3. Принцип топографической съемки
Обычный вид топографических карт и планов — листы бумаги, на которых в условных знаках изображен участок местности (графические документы). Если внимательно посмотреть на карту или план, отвлечься от цвета, заполняющих условных значков и конфигурации условных знаков, то можно заметить, что вся ситуация — это набор линий и точек. Но и любая линия — это совокупность точек; таким образом, можно сказать, что вся ситуация на плане или карте — это набор точек.
Съемка любого сооружения или угодья сводится к съемке его границ — прямых или кривых линий. Кривую линию можно с некоторым приближением заменить ломаной. Каждый отрезок ломаной линии является прямым, а прямая линия вполне однозначно определяется положением двух точек.
Таким образом, точка является элементарным объектом съемки; другими словами, съемка местности сводится к определению координат и отметок отдельных точек, характеризующих местоположение объектов местности и ее рельеф. При съемке геодезисты часто используют различные местные системы координат; планы и карты издаются в зональной прямоугольной системе координат Гаусса.
Средняя ошибка положения точечного объекта или четкого контура на плане относительно ближайших пунктов съемочного обоснования допускается 0.5 мм (в горной и лесной местности — 0.7 мм). Эта величина называется точностью плана.
Ошибка изображения рельефа зависит от характера рельефа и обычно равна одной трети высоты сечения рельефа.
Инструкция по топографической съемке разрешает создавать топографические планы в виде цифровой модели местности. В этом случае весь массив характеристик точек местности вводится в память ЭВМ; по мере надобности в соответствии с заданной программой машина выдает план нужного участка или другие документы.
7.4. Классификация съемок
Топографическую съемку местности выполняют для получения топографического плана или карты участка местности; объекты местности, контуры и рельеф изображаются на плане или карте с помощью условных знаков. Различают аэрофотосъемку, наземную и комбинированную съемки.
Аэрофотосъемка обычно выполняется стереотопографическим методом, когда снимки местности получают с помощью фотоаппаратов, установленных на самолете, а обработку снимков и рисовку плана выполняют в камеральных условиях на стереоприборах. Комбинированная съемка является комбинацией аэрофотосъемки и наземной съемки; плановая ситуация рисуется по аэроснимкам, а рельеф снимают на фотоплан в полевых условиях.
Аэрофотосъемка и комбинированная съемка являются основными методами создания карт и планов на большие территории. Наземную съемку применяют при создании крупномасштабных планов небольших участков, когда применение аэрофотосъемки либо невозможно, либо экономически невыгодно.
Наземная съемка выполняется с поверхности земли. В зависимости от методики съемки и применяемых приборов наземная съемка может быть нескольких видов: тахеометрическая; мензульная;
горизонтальная или теодолитная; при горизонтальной съемке получают план участка местности, на котором нет изображения рельефа; вертикальная; при этом получают план с изображением рельефа практически без плановой ситуации;
фототеодолитная; при этом снимки местности получают с помощью фототеодолита, а их обработку и рисовку плана выполняют на стереоприборах, специальные виды съемок.
7.5. Горизонтальная съемка
Горизонтальная съемка местности в простейшем варианте выполняется с помощью теодолита и рулетки. Съемочное обоснование обычно создают проложением теодолитных ходов. Если участок съемки имеет вытянутую форму, то теодолитный ход прокладывают по его оси; при этом отдельные пункты съемочного обоснования можно определять из геодезических засечек. Если участок имеет овальную форму, то прокладывают замкнутый ход по его границе; внутри участка можно проложить диагональные ходы.
При горизонтальной съемке положение отдельных точек определяют относительно пунктов съемочного обоснования и линий, соединяющих их, применяя:
способ засечек ( угловых, линейных, комбинированных ); полярный способ;

способ перпендикуляров; способ створов.
Широко также применяется способ обмеров зданий и сооружений и расстояний между ними с помощью рулетки.
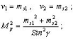
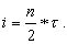
Способ засечек. При угловой засечке положение точки 1 определяют относительно двух пунктов съемочного обоснования А и В с помощью двух измеренных горизонтальных углов α1 и β1. Положение другой точки — точки 2 определяют, измеряя два других угла α2 и β2 (рис.7.3). Результаты измерений записывают в журнал.
При построении плана при точках А и В с помощью транспортира строят углы α1 и β1 и в пересечении линий получают изображение точки 1 на плане. Аналогично находят на плане положение точки 2.
Если расстояние до точки 1 не превышает длины рулетки, положение точки 1 определяют линейной засечкой, при которой измеряют расстояния А — 1 и В — 1 ; при построении плана из точки А проводят дугу радиусом, равным расстоянию А — 1 в масштабе плана, а из точки В — радиусом, равным расстоянию В — 1 в масштабе плана. Точка пересечения этих дуг является изображением точки 1 на плане.
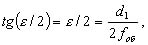
Точность измерения горизонтальных углов при угловой засечке определяется точностью их построения на плане транспортиром,т.е. порядка 10′ — 15′. Допустимую ошибку измерения расстояний при линейной засечке рассчитывают по формуле:
ms = 0,3 мм * М,
где М — знаменатель масштаба съемки.
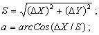
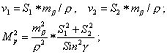
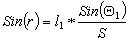
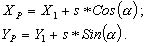
Полярный способ. Полярный способ съемки — это реализация полярной системы координат. Теодолит устанавливают на пункте съемочного обоснования А, принимая его за начало ( полюс ) местной полярной системы координат. Полярная ось совмещается с направлением на другой пункт съемочного обоснования В. Затем измеряют горизонтальный угол β1, образованный направлением АВ и направлением на снимаемую точку 1, и расстояние S1 от точки А до точки 1 (рис.7.4). При построении плана положение точки 1 получают, откладывая на стороне угла β1, построенного транспортиром, расстояние S1 в масштабе плана.
Рассчитаем среднюю квадратическую ошибку измерения углов и расстояний при полярном способе съемки, если ошибка положения точки 1 задана и равна Мp.
В полярной системе координат ошибка положение точки выражается формулой:
(7.1)
где mβ — ошибка измерения угла β; ms — ошибка измерения полярного расстояния. По принципу равных влияний имеем:
|
m2s = ( S * mβ/ )2 = M2 /2, |
(7.2) |
|
откуда |
|
|
и |
(7.3) |

Пусть масштаб съемки 1:М=1:2 000, тогда Мp=0.5 мм * 2 000=1 м. При S=100 м
вычисления по формулам (7.3) дают mβ=24′, ms =0.7м, ms/S = 1/150.
Способ перпендикуляров. Способ перпендикуляров является реализацией обычной прямоугольной системы координат. Пусть линия АВ — одна из сторон теодолитного хода. Примем ее за ось l, начало координат совместим с пунктом А; ось d расположим перпендикулярно линии АВ. Положение точки 1 определяется двумя перпендикулярами l1 и d1 (рис.7.5), длины которых измеряют мерной лентой или рулеткой.
Рис.7.5
Для построения прямого угла β можно применть теодолит или эккер; иногда угол β = 90o можно построить на глаз. Положение точки 1 на плане получают после выполнения трех операций: откладывания вдоль линии АВ длины перпендикуляра l1, построения угла β =90o c помощью транспортира, откладывания на стороне угла β длины второго перпендикуляра d1.
Съемка других точек и определение их положения на плане выполняются в таком же порядке.
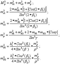
Ошибка положения точки Мp в способе перпендикуляров складывается из ошибки измерения перпендикуляра l, ошибки построения (или измерения) угла β = 90 o и ошибки измерения перпендикуляра d:
|
М2p = m2l + mβ 2/ 2 * d2 + m2d. |
(7.4) |
|
По принципу равных влияний полагаем: |
|
|
m2l = m β2/ 2 * d2 = m2d = M2p/3. |
(7.5) |
При Мp = 0.5 мм на плане получим 
в масштабе плана при относительной ошибке его измерения: md / d = 0.33 мм / 33 м = 1/110.
Для плана масштаба 1 : 2 000 расчетная длина перпендикуляра d получается 66 м, а для масштаба 1 : 500 — d = 16 м. В Инструкции эти величины заданы 60 м и 20 м соответственно.
Разумеется, при другом значении ошибки mβ допустимая длина перпендикуляра d будет другой. Например, строя угол β = 90o «на глаз» (mβ = 1o) , получим d = 16 мм в масштабе плана.
При горизонтальной съемке результаты измерений углов и линий записывают в журнал. Кроме того, прямо в поле составляют схематический чертеж местности — абрис, на
Геодезия
Геодезия — Общие вопросы
Вопрос №1 В горной и лесной местности точность плана составляет:
В горной и лесной местности точность плана составляет:
- Вариант №1: 0.7 мм;
- Вариант №2: 0.5 мм;
- Вариант №3: 0.2 мм;
- Вариант №4: 1 мм;
Формат файла — JPG
Ответ на вопрос №1
Вопрос №2 Способ изображения поверхности сферы или эллипсоида на плоскости, определенный
математически называется
Способ изображения поверхности сферы или эллипсоида на плоскости, определенный
математически называется
- Вариант №1: картографической проекцией;
- Вариант №2: ортогональной проекцией;
- Вариант №3: горизонтальной проекцией;
- Вариант №4: центральной проекцией;
Формат файла — JPG
Ответ на вопрос №2
Вопрос №3 Поперечный масштаб с дробным основанием называется:
Поперечный масштаб с дробным основанием называется:
- Вариант №1: линейным;
- Вариант №2: переходным;
- Вариант №3: численным;
- Вариант №4: графическим;
Формат файла — JPG
Ответ на вопрос №3
Вопрос №4 Что называется визирной осью зрительной трубы?
Что называется визирной осью зрительной трубы?
- Вариант №1: Линия, соединяющая центр сетки нитей и оптический центр объектива;
- Вариант №2: Линия, соединяющая центр сетки нитей и оптический центр окуляра;
Формат файла — JPG
Ответ на вопрос №4
Вопрос №5 Ошибка изображения рельефа равна:
Ошибка изображения рельефа равна:
- Вариант №1: 0.3*h;
- Вариант №2: 0.1*h;
- Вариант №3: 0.2*h;
- Вариант №4: 0.9*h;
Формат файла — JPG
Ответ на вопрос №5
Вопрос №6 Для прямой геодезической задачи характерно
Для прямой геодезической задачи характерно
- Вариант №1: вычисление прямоугольных координат определяемого пункта;
- Вариант №2: вычисление дирекционного угла и длин линий между пунктами с известными прямоугольными координатами;
- Вариант №3: вычисление горизонтального угла и расстояния;
Формат файла — JPG
Ответ на вопрос №6
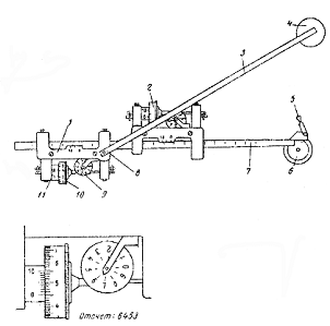
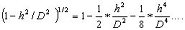
Вопрос №7 Формула вычисления цены деления планиметра способом А.Н. Савича имеет вид:
Формула вычисления цены деления планиметра способом А.Н. Савича имеет вид:
- Вариант №1: c = ( ti + po) / ( ΔNui * ΔNdi);
- Вариант №2: c = ( ti + po) / ( ΔNui + ΔNdi);
- Вариант №3: c = ( ti * po) / ( ΔNui * ΔNdi);
- Вариант №4: c = ( ti * po) / ( ΔNui + ΔNdi);
Формат файла — JPG
Ответ на вопрос №7
Вопрос №8 Точность плана составляет:
Точность плана составляет:
- Вариант №1: 0.5 мм;
- Вариант №2: 0.1 мм;
- Вариант №3: 1 мм;
- Вариант №4: 0.2 мм;
Формат файла — JPG
Ответ на вопрос №8
Вопрос №9 Какой вид нивелирования осуществляется нивелиром?
Какой вид нивелирования осуществляется нивелиром?
- Вариант №1: гидростатическое нивелирование;
- Вариант №2: геометрическое нивелирование;
- Вариант №3: тригонометрическое нивелирование;
- Вариант №4: барометрическое нивелирование;
Формат файла — JPG
Ответ на вопрос №9
Вопрос №10 Наиболее точным методом определения относительной ошибки площади является:
Наиболее точным методом определения относительной ошибки площади является:
- Вариант №1: «способ Савича»;
- Вариант №2: двукратный обвод участка;
- Вариант №3: четырехкратный обвод участка;
Формат файла — JPG
Ответ на вопрос №10
Вопрос №11 Какие пункты определены с наибольшей точностью?
Какие пункты определены с наибольшей точностью?
- Вариант №1: Пункты триангуляции;
- Вариант №2: Пункты трилатерации;
- Вариант №3: Пункты полигонометрии 4 класса;
- Вариант №4: Пункты теодолитного хода;
Формат файла — JPG
Ответ на вопрос №11
Вопрос №12 Относительное искажение площади участка зависит от:
Относительное искажение площади участка зависит от:
- Вариант №1: угла наклона;
- Вариант №2: формы участка;
- Вариант №3: расположение участка в плоскости;
Формат файла — JP
Ответ на вопрос №12
Вопрос №13 Какой способ изображения рельефа применяется на мелкомасштабных картах?
Какой способ изображения рельефа применяется на мелкомасштабных картах?
- Вариант №1: Способ штриховки;
- Вариант №2: Перспективный способ;
- Вариант №3: Способ отметок;
- Вариант №4: Способ отмывки;
- Вариант №5: Способ горизонталей;
Формат файла — JPG
Ответ на вопрос №13
Вопрос №14 Какое из свойств случайных ошибок определено не верно?
Какое из свойств случайных ошибок определено не верно?
- Вариант №1: положительные и отрицательные случайные ошибки равновероятны;
- Вариант №2: малые по абсолютной величине случайные ошибки встречаются реже, чем большие;
- Вариант №3: среднее арифметическое случайных ошибок стремится к нулю при неограниченном возрастании числа измерений;
- Вариант №4: при данных условиях измерений абсолютные значения случайных ошибок не превосходят некоторого предела;
Формат файла — JPG
Ответ на вопрос №14
Вопрос №15 Невыполнение главного условия нивелира влечет за собой ошибку x, которая
вычисляется по формуле:
Невыполнение главного условия нивелира влечет за собой ошибку x, которая
вычисляется по формуле:
- Вариант №1: x = 0.5*(i1 — i2) + 0.5*(b1 — b2);
- Вариант №2: x = 0.5*(i1 + i2) — 0.5*(b1 + b2);
- Вариант №3: x = 0.5*(b1 + b2)- 0.5*(i1 + i2);
- Вариант №4: x = 0.5*(i1 + i2) / 0.5*(b1 + b2);
Формат файла — JPG
Ответ на вопрос №15
Вопрос №16 При тахеометрической съемке измеряют:
При тахеометрической съемке измеряют:
- Вариант №1: горизонтальный угол;
- Вариант №2: угол наклона;
- Вариант №3: превышение;
- Вариант №4: дальномерное расстояние;
- Вариант №5: горизонтальное проложение;
Формат файла — JPG
Ответ на вопрос №16
Вопрос №17 Установкой трубы по глазу добиваются
Установкой трубы по глазу добиваются
- Вариант №1: четкого изображения сетки нитей;
- Вариант №2: четкого изображения предмета;
Формат файла — JPG
Ответ на вопрос №17
Вопрос №18 Какова в теодолитном ходе минимальная величина относительной ошибки измерения
расстояний?
Какова в теодолитном ходе минимальная величина относительной ошибки измерения расстояний?
- Вариант №1: 1/1000;
- Вариант №2: 1/3000;
- Вариант №3: 1/4000;
- Вариант №4: 1/5000;
Формат файла — JPG
Ответ на вопрос №18
Вопрос №19 Точность графических построений оценивается величиной:
Точность графических построений оценивается величиной:
- Вариант №1: 0.5 мм;
- Вариант №2: 0.01 мм;
- Вариант №3: 0.1 см;
- Вариант №4: 0.1 мм;
Формат файла — JPG
Ответ на вопрос №19
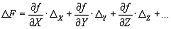
Вопрос №20 Данная формула определяет:
Данная формула определяет:
- Вариант №1: относительную ошибку функции;
- Вариант №2: среднее арифметическое;
- Вариант №3: простую арифметическую середину
Формат файла — JPG
Ответ на вопрос №20
Вопрос №21 В формуле вычисления невязки L это:
В формуле вычисления невязки L это:
- Вариант №1: Длина минимальной стороны;
- Вариант №2: Длина средней стороны;
- Вариант №3: Длина всего хода;
Формат файла — JPG
Ответ на вопрос №21
Вопрос №22 Главное условие применения геометрического способа?
Главное условие применения геометрического способа?
- Вариант №1: Наличие видимости внутри участка;
- Вариант №2: Отсутствие угловых измерений;
- Вариант №3: Четное число сторон;
Формат файла — JPG
Ответ на вопрос №22
Вопрос №23 Разность между практическим и теоретическим значением определяемой величины
называется
Разность между практическим и теоретическим значением определяемой величины
называется
- Вариант №1: Невязкой;
- Вариант №2: Поправкой;
- Вариант №3: Ошибкой в измерениях;
Формат файла — JPG
Ответ на вопрос №23
Вопрос №24 На представленном рисунке двугранный угол между плоскостью начального меридиана
и плоскостью меридиана точки, есть:
На представленном рисунке двугранный угол между плоскостью начального меридиана
и плоскостью меридиана точки, есть:
- Вариант №1: Геодезическая долгота точки.
- Вариант №2: Геодезическая широта точки.
Формат файла — JPG
Ответ на вопрос №24
Вопрос №25 В формуле определения увеличения трубы способом Галилея N это
В формуле определения увеличения трубы способом Галилея N это
- Вариант №1: число делений рейки видимых вооруженным глазом;
- Вариант №2: число делений рейки видимых невооруженным глазом;
Формат файла — JPG
Ответ на вопрос №25
Вопрос №26 Нестандартный масштаб характерен для:
Нестандартный масштаб характерен для:
- Вариант №1: Поперечного масштаба;
- Вариант №2: Линейного масштаба;
- Вариант №3: Численного масштаба;
- Вариант №4: Переходного масштаба;
Формат файла — JPG
Ответ на вопрос №26
Назад к списку тестов по предмету — Геодезия
Ответы на тесты по геодезии
Так же выполняем любые контрольные и курсовые в МИИГАиК
Общие сведения
| # | Текст вопроса | Ответ |
|---|---|---|
| 3 | Какова цена деления буссоли? | получить ответ |
| 4 | Случайные ошибки измерений обусловлены | получить ответ |
| 5 | К ориентирным углам относится | получить ответ |
| 6 | Какую из ошибок можно исключить из единичного результата измерения? |
получить ответ |
Определение прямоугольных координат точек
| # | Текст вопроса | Ответ |
|---|---|---|
| 1 | При каком способе определения координат с помощью СНС определяется приращение координат между пунктами? |
получить ответ |
| 2 | Какие пункты определены с наибольшей точностью? | получить ответ |
| 3 | Какова в теодолитном ходе минимальная величина относительной ошибки измерения расстояний? |
получить ответ |
| 4 | Обратная геодезическая задача не включает в себя вычисление |
получить ответ |
| 5 | Задача Ганзена включает | получить ответ |
| 6 | В полярной засечке измеряемыми элементами являются | получить ответ |
| 7 | Система прямоугольных координат задается методом координатной сетки |
получить ответ |
| 9 | Что такое примычный угол? | получить ответ |
| 10 | При использовании российских навигационных систем координаты определяемых пунктов получаются |
получить ответ |
| 11 | Для обратной многократной засечки необходимо минимум | получить ответ |
| 12 | Исходной стороной называют сторону | получить ответ |
| 13 | Какие линейно-угловые ходы наиболее востребованы на практике? |
получить ответ |
| 14 | Разность между практическим и теоретическим значением определяемой величины называется |
получить ответ |
| 15 | Исходными данными для линейной засечки являются | получить ответ |
| 16 | Для прямой многократной засечки достаточно: | получить ответ |
| 17 | Висячий линейно-угловой ход | получить ответ |
| 18 | При привязке ходов к стенным маркам используется | получить ответ |
| 19 | Понятие «слабое место» относится к | получить ответ |
| 20 | В прямой многократной засечке измерения производятся: | получить ответ |
Отзывы студентов МИИГАиК
Спасибо больше, Илье! Очень быстро и качественно помог в решении тестов??
Всем советую, кому нужна помощь по геодезии)Алина, студентка МИИГАиК
профиль вконтакте
Спасибо большое за помощь, все качественно и быстро!
Екатерина Заворуева, студентка МИИГАиК
профиль вконтакте
Спасибо Илье за качественно оказанную помощь по тестам — сдал на 5!
Виктор Крутиков
профиль вконтакте
Большое спасибо Илье за оказанную помощь! Хороший человек)
Павел, студент МИИГАиК
профиль вконтакте
Конструктивные элементы геодезических измерительных приборов
| # | Текст вопроса | Ответ |
|---|---|---|
| 1 | Может ли рен быть отрицательным? | получить ответ |
| 2 | Что называется визирной осью зрительной трубы? | получить ответ |
| 3 | В формуле определения увеличения трубы способом Галилея N это | получить ответ |
| 4 | Установкой трубы по глазу добиваются | получить ответ |
| 5 | Отсчетным индексом в шкаловом микроскопе является | получить ответ |
| 6 | Отсчетным индексом в штриховом микроскопе является | получить ответ |
| 7 | Установлено, что при отсчитывании на глаз наибольшая точность достигается при толщине штрихов 0.10 мм и видимом расстоянии между штрихами | получить ответ |
| 8 | В для какого компенсатора характерно подвесное маятниковое устройство? | получить ответ |
| 10 | Собирательные линзы бывают: | получить ответ |
| 11 | Линия, соединяющая центры сферических поверхностей линзы, называется | получить ответ |
| 13 | Рассеивающие линзы бывают: | получить ответ |
| 14 | Что характерно для компенсированных уровней? | получить ответ |
| 16 | Для построения изображения предметов в линзе обычно используют следующие лучи: | получить ответ |
Геодезические измерения
| # | Текст вопроса | Ответ |
|---|---|---|
| 1 | Превышение является прямым результатом измерения в | получить ответ |
| 2 | Какой вид нивелирования осуществляется нивелиром? | получить ответ |
| 3 | Средняя квадратическая ошибка расстояния, измеренного светодальномером, вычисляется по формуле: | получить ответ |
| 4 | Центрирование теодолита — это | получить ответ |
| 5 | Как формулируется первое геометрическое условие теодолита? | получить ответ |
| 6 | Расстояние при измерении фазовым светодальномером вычисляется по формуле: | получить ответ |
| 7 | Невыполнение главного условия нивелира влечет за собой ошибку x, которая вычисляется по формуле: | получить ответ |
| 8 | В каких светодальномерах промежуток времени измеряется непосредственно? | получить ответ |
| 9 | Точность нитяного дальномера оценивается относительной ошибкой равной: | получить ответ |
| 10 | Светодальномеры также называются: | получить ответ |
| 11 | Какой вид нивелирных работ является наиболее точным? | получить ответ |
| 12 | Точные теодолиты обеспечивают измерение углов с ошибкой | получить ответ |
| 13 | При тригонометрическом нивелировании превышение вычисляется по формуле: | получить ответ |
| 15 | В барометрическом нивелировании превышение вычисляется по формуле: | получить ответ |
| 16 | Разность отсчетов при выполнении условия: горизонтальная нить сетки нитей должна быть перпендикулярна оси вращения нивелира состовляет | получить ответ |
Оставить заявку на прохождение теста
Работаем без предоплаты!
Топографические карты и планы
| # | Текст вопроса | Ответ |
|---|---|---|
| 1 | Линия бровки — это | получить ответ |
| 2 | Линия тальвега характерна для: | получить ответ |
| 3 | Понятие линия бровки характерно для: | получить ответ |
| 4 | Седловина — это | получить ответ |
| 5 | Линия подошвы — это | получить ответ |
| 6 | Понятие линия подошвы характерно для: | получить ответ |
| 7 | На местности проще всего обнаружить и зафиксировать: | получить ответ |
| 8 | Геодезический пункт и лес обозначаются соответственно: | получить ответ |
| 9 | Семантическая информация это: | получить ответ |
| 10 | Делением листа масштаба 1:100 000 на 4 части, получают: | получить ответ |
| 11 | Делением листа масштаба 1:25 000 на 4 части, получают: | получить ответ |
| 12 | Данная номенклатура N-36-134-А-в соответствует масштабу: | получить ответ |
| 13 | Точность графических построений оценивается величиной: | получить ответ |
| 14 | К классу деления объектов местности относятся: | получить ответ |
| 15 | Поперечный масштаб с дробным основанием называется: | получить ответ |
| 16 | Какой способ изображения рельефа применяется на мелкомасштабных картах? | получить ответ |
| 17 | Точность плана оценивается величиной: | получить ответ |
| 18 | Данная номенклатура соответствует К-32-18-В масштабу: | получить ответ |
| 19 | На одном листе плана масштаба 1:5000 изображается участок местности площадью: | получить ответ |
| 20 | Делением листа миллионного масштаба на 4 части, получают: | получить ответ |
| 21 | Переходный масштаб относится к: | получить ответ |
| 22 | Масштабу 1:10 000 соответствует номенклатура: | получить ответ |
| 23 | В основе разграфки территории площадью менее 20 км2, лежит план масштаба: | получить ответ |
| 24 | Масштабу 1:25 000 соответсвует номенклатура: | получить ответ |
| 25 | В соответствии с численным масштабом карты строится: | получить ответ |
| 26 | Крутизна ската характеризуется: | получить ответ |
Измерение площади участков местности
| # | Текст вопроса | Ответ |
|---|---|---|
| 1 | В каком случае относительная ошибка площади примерно равна относительной ошибке измерения сторон? | получить ответ |
| 2 | Данная формула mp/P = 3.72 mt/L соответсвует варианту: | получить ответ |
| 3 | «способом Савича» можно достичь точности измерений на уровне: | получить ответ |
| 4 | Данная формула mp/P = 4.00* mt/L, соответсвует варианту: | получить ответ |
| 5 | Для плана масштаба 1:2000 ошибка положения точек равна: | получить ответ |
| 6 | Соотношение между площадью физической поверхности участка Pф и площадью проекции участка на горизонтальную плоскость P имеет вид: | получить ответ |
| 7 | В формуле mP=an * mt * L, L это: | получить ответ |
| 10 | Площадь участка с использованием планиметра вычисляют по формуле: | получить ответ |
| 11 | Критерием неправильности формы многоульника служит показатель: | получить ответ |
| 12 | На картах и планах применяют: | получить ответ |
| 13 | Формула приближенной оценки площади в аналитическом способе имеет вид: | получить ответ |
| 14 | При неодинаковых ошибках положения вершин многоугольника в формуле mP=an * mt * L, величина mt может быть заменена: | получить ответ |
| 15 | При неизвестном угле наклона плоскости, абсолютное искажение площади можно получить с помощью: | получить ответ |
| 16 | Относительное искажение площади участка зависит от: | получить ответ |
| 17 | Вычисление площади фигур по длинам сторон и углам между ними, полученных из измерений является: | получить ответ |
| 18 | Абсолютное искажение площади участка вычисляется по формуле: | получить ответ |
| 19 | В формуле вычисления площади участка при полюс вне контура P = c * (n2 — n1), с обозначает: | получить ответ |
| 20 | В каком способе применяется специальный прибор планиметр? | получить ответ |
| 21 | Наиболее точным методом определения относительной ошибки площади является: | получить ответ |
| 22 | Формула площади обводимого участка при полюсе внутри контура имеет вид | получить ответ |
| 23 | Формула вычисления цены деления планиметра cпособом А.Н. Савича имеет вид: | получить ответ |
| 24 | Формула средней квадратической ошибки площади правильного многоугольника имеет вид: | получить ответ |
| 25 | Площадь участка вычисляют по формуле? | получить ответ |
| 26 | Главное условие применения геометрического способа? | получить ответ |
Некоторые результаты пройденных тестов

Топографическая съемка местности
| # | Текст вопроса | Ответ |
|---|---|---|
| 1 | Стереотопографическим методом выполняется: | получить ответ |
| 2 | При создании крупномасштабных планов небольших участков применяют: | получить ответ |
| 3 | Для того, чтобы луч составлял со своим прежним направлением прямой угол необходимо, чтобы: | получить ответ |
| 4 | В горной и лесной местности точность плана состовляет: | получить ответ |
| 5 | Использование стереоприборов предусматривается в: | получить ответ |
| 6 | Точность плана состовляет: | получить ответ |
| 7 | При каком виде съемки изображение рельефа получают в полевых условиях? | получить ответ |
| 8 | Прямоугольная система координат используется в: | получить ответ |
| 9 | Превышение между пунктами тахеометрической съемки получают из: | получить ответ |
| 10 | При тахеометрической съемке измеряют: | получить ответ |
| 11 | Плановая государственная геодезическая сеть может создаваться: | получить ответ |
| 12 | Ошибка изображения рельефа равна: | получить ответ |
| 13 | Высотная съемочная сеть может создаваться: | получить ответ |
| 14 | Предельная ошибка планового положения пунктов съемочного обоснования допускается: | получить ответ |
| 15 | Высотная геодезическая съемочная сеть может создаваться: | получить ответ |
| 16 | Относительная ошибка измерения расстояния номограммным тахеометром состоявляет: | получить ответ |
| 17 | Допуск на исправность эккера состовляет: | получить ответ |
| 18 | Точность измерения горизонтальных углов при угловой засечке состовляет: | получить ответ |
| 19 | геодезия ответы на тест | получить ответ |
Геодезия
| # | Текст вопроса | Ответ |
|---|---|---|
| 2 | Способ определения координат точки по двум углам β1 и β2, измеренным на определяемой точке называется? | получить ответ |
| 3 | Частью полярной засечки является? | получить ответ |
| 4 | Большой полукруг небесной сферы, проходящий через полюсы мира и небесное светило называется: | получить ответ |
| 5 | Что называется линией сечения поверхности земного шара плоскостью, проходящей через ось вращения Земли и выбранную точку земной поверхности? | получить ответ |
| 6 | Азимут изменяется: | получить ответ |
| 7 | Что называется величиной дуги меридиана от экватора до заданной точки в градусах и долях градуса? | получить ответ |
| 8 | К отрицательным формам рельефа относят: | получить ответ |
| 9 | К какому веку относят первые сведения о геодезических измерениях в России? | получить ответ |
| 10 | Холм возвышается над окружающей местностью не более чем: | получить ответ |
| 11 | Информативность карт повышают: | получить ответ |
| 12 | Как называется линия, по которой небо кажется граничащим с земной поверхностью? | получить ответ |
| 13 | К мелкомасштабным картам относят карты масштаба: | получить ответ |
| 14 | В геодезической системе координат координатными линиями являются: | получить ответ |
| 15 | К понятиям о фигуре Земли не относится: | получить ответ |
| 16 | Большой круг небесной сферы, проходящий через зенит наблюдателя, надир и точки северного и южного полюсов мира называется: | получить ответ |
| 17 | Угол между плоскостью начального меридиана и плоскостью меридиана данной точки называется: | получить ответ |
| 18 | Как называются карты отображающие рельеф земной поверхности (суши и дна океанов), его происхождение, возраст, формы и их размеры? | получить ответ |
| 19 | Центр какой системы координат находится на поверхности Земли? | получить ответ |
| 20 | Что не относится к формам рельефа? | получить ответ |
| 21 | Какая дисциплина занимается изучением методов создания карт на всю поверхность Земли и поверхности других планет? | получить ответ |
| 22 | Глубина ямы на карте это | получить ответ |
| 23 | К характерным линиям рельефа относят: | получить ответ |
| 24 | Средний уровень океана принимают за начало отсчета: | получить ответ |
| 25 | Прямой и обратный азимут линии одной точки различаются на | получить ответ |
| 26 | Главная задача уравнивания заключается в | получить ответ |
| 27 | Угол между географическим и магнитным меридианами в точке земной поверхности называется: | получить ответ |
| 28 | Озеро должно изображаться: | получить ответ |
| 29 | Какая дисциплина занимается изображением местности на планах и картах? | получить ответ |
| 30 | Как называется широкая лощина с пологим дном? | получить ответ |
Оставить заявку на прохождение теста
Работаем без предоплаты!
Общий курс геодезии
Общий
курс геодезии
Содержание
. ОБЩИЕ СВЕДЕНИЯ
.1 Предмет и задачи геодезии
.2 Понятие о фигуре Земли
.3 Определение положения точек
земной поверхности
.3.1 Астрономические координаты
.3.2 Геодезические координаты
.3.3 Прямоугольные координаты
.3.4 Полярные координаты
.4 Метод проекций
.4.1 Центральная проекция
.4.2 Ортогональная проекция
.4.3 Горизонтальная проекция
.5 Расчет искажений при замене
участка сферы плоскостью
.5.1 Искажение расстояний
.5.2 Искажение высот точек
.6 Понятие о плане, карте,
аэроснимке
.7 Картографическая проекция Гаусса
.8 Ориентирование линий
.8.1 Ориентирование по
географическому меридиану точки
.8.2 Ориентирование по осевому
меридиану зоны
.8.3 Ориентирование по магнитному
меридиану точки
.8.4 Румбы линий
.9 Обработка геодезических измерений
.9.1 Принципы обработки измерений
.9.2 Начальные сведения из теории
ошибок
.9.3 Элементы техники вычислений
. ОПРЕДЕЛЕНИЕ ПРЯМОУГОЛЬНЫХ
КООРДИНАТ ТОЧЕК
.1 Определение координат одной точки
.1.1 Способы задания прямоугольной
системы координат
.1.2 Три элементарных измерения
.1.3 Полярная засечка
.1.4 Прямая геодезическая задача на
плоскости
.1.5 Обратная геодезическая задача
на плоскости
.1.6 Прямая угловая засечка
.1.7 Линейная засечка
.1.8 Обратная угловая засечка
.1.9 Комбинированные засечки
.1.10 Ошибка положения точки
.2 Определение координат нескольких
точек
.2.1 Линейно-угловой ход
.2.2.1 Классификация линейно-угловых
ходов
.2.2.2 Вычисление координат пунктов
разомкнутого линейно-углового хода
.2.2.3 Вычисление координат пунктов
замкнутого линейно-углового хода
.2.2.4 Привязка линейно-угловых
ходов
.2.2.5 Понятие о системе
линейно-угловых ходов с узловыми точками
.3 Понятие о триангуляции
.4 Понятие о трилатерации
.5 Понятие об автономном определении
координат точек
. КОНСТРУКТИВНЫЕ ЭЛЕМЕНТЫ
ГЕОДЕЗИЧЕСКИХ ИЗМЕРИТЕЛЬНЫХ ПРИБОРОВ
.1 Отсчетные
приспособления
.2 Зрительные трубы
.3 Уровни
.4 Понятие о компенсаторах углов
наклона
. ГЕОДЕЗИЧЕСКИЕ ИЗМЕРЕНИЯ
.1 Измерение
горизонтальных и вертикальных углов
.1.1 Принцип измерения горизонтального
угла
.1.2 Устройство теодолита
.1.3 Поверки и исследования
теодолита
.1.4 Способы измерения
горизонтальных углов
.2 Измерение вертикальных углов
.3 Измерение расстояний
.3.1 Мерные приборы
.3.2 Оптические
дальномеры
.3.3 Понятие о светодальномерах
.4 Измерение превышений
.4.1 Геометрическое нивелирование
.4.1.1 Влияние кривизны Земли и
рефракции на измеряемое превышение
.4.1.2 Нивелиры: устройство,
поверки, исследования
.4.1.3 Нивелирные рейки
.4.1.4 Вычисление отметок реперов
разомкнутого хода технического нивелирования
.4.2 Понятие о тригонометрическом
нивелировании
.4.3 Понятие о гидростатическом
нивелировании
.4.4 Понятие о барометрическом
нивелировании
. ТОПОГРАФИЧЕСКИЕ КАРТЫ И ПЛАНЫ
.1 Масштабы топографических карт
.2 Разграфка и номенклатура
.2.1 Разграфка и номенклатура
топографических карт
.2.2 Разграфка и номенклатура
крупномасштабных планов
.3 Координатная сетка
.4 Условные знаки для
топографических карт и планов
.5 Изображение рельефа на картах и
планах
.6 Решение задач с помощью карт и
планов
.7 Ориентирование карты на местности
.8 Цифровые топографические карты
. ИЗМЕРЕНИЕ ПЛОЩАДИ УЧАСТКОВ
МЕСТНОСТИ
.1 Геометрический способ
.2 Аналитический способ
.3 Механический способ
.4 Понятие о редуцировании площади
участка
. ТОПОГРАФИЧЕСКАЯ СЪЕМКА МЕСТНОСТИ
.1 Геодезические сети
.1.1 Классификация геодезических
сетей
.1.2 Закрепление геодезических
пунктов на местности
.2 Съемочное обоснование
топографических съемок
.3 Принцип топографической съемки
.4 Классификация съемок
.5 Горизонтальная съемка
.6 Тахеометрическая съемка
.7 Составление плана участка
местности
.8 Мензульная съемка
.9 Специальные съемки
СПИСОК ПРИНЯТЫХ ОБОЗНАЧЕНИЙ
СПИСОК РЕКОМЕНДУЕМОЙ ЛИТЕРАТУРЫ
1. Общие сведения
1.1
Предмет
и задачи геодезии
Слово «геодезия» образовано из греческих
слов «ge» — земля и «dazomai» — разделяю, делю на части;
если перевести его дословно, то получится «землеразделение». Это
название соответствовало содержанию геодезии во времена ее зарождения и
начального развития. Так, в Египте задолго до нашей эры измерялись размеры
земельных участков, строились оросительные системы; все это выполнялось с
участием геодезистов.
С развитием человеческого общества, повышением
роли науки и техники расширялось содержание геодезии, усложнялись задачи,
которые ставила перед ней жизнь.
В настоящее время геодезия — это наука о методах
определения фигуры и размеров Земли и изображения ее поверхности на картах и
планах, а также о способах проведения различных измерений на поверхности Земли
(на суше и акваториях), под землей, в околоземном пространстве и на других
планетах.
Известный ученый-геодезист В.В.Витковский так
охарактеризовал геодезию: «Геодезия представляет одну из полезнейших
отраслей знания; все наше земное существование ограничено пределами Земли, и
изучать ее вид и размеры человечеству так же необходимо, как отдельному
человеку — ознакомиться с подробностями своего жилья».
Среди многих задач геодезии можно выделить
долговременные задачи и задачи на ближайшие годы.
К первым относятся:
определение фигуры, размеров и гравитационного
поля Земли,
распространение единой системы координат на
территорию отдельного государства, континента и всей земли в целом,
изображение участков поверхности земли на
топографических картах и планах,
изучение глобальных смещений блоков земной коры.
Ко вторым в настоящее время относятся:
создание и внедрение ГИС — геоинформационных
систем,
создание государственных и локальных кадастров:
земельного, водного, лесного, городского и т.д.,
топографо-геодезическое обеспечение делимитации
(определения) и демаркации (обозначения) государственной границы России,
разработка и внедрение стандартов в области
цифрового картографирования,
создание цифровых и электронных карт и их банков
данных,
разработка концепции и государственной программы
повсеместного перехода на спутниковые методы автономного определения координат,
создание комплексного национального атласа
России и другие.
Эти задачи записаны в Постановлении коллегии
Федеральной службы геодезии и картографии России от 20 февраля 1995 года.
Усложнение и развитие геодезии привело к
разделению ее на несколько научных дисциплин.
Высшая геодезия изучает фигуру Земли, ее раз
меры и гравитацонное поле, обеспечивает распространение принятых систем
координат в пределах государства, континента или всей поверхности Земли,
занимается исследованием древних и современных движений земной коры, а также
изучает фигуру, размеры и гравитационное поле других планет Солнечной системы.
Топография («топос» — место,
«графо» — пишу; дословно — описание местности) изучает методы топографической
съемки местности с целью изображения ее на планах и картах.
Картография изучает методы и процессы создания и
использования карт, планов, атласов и другой картографической продукции.
Фотограмметрия (фототопография и
аэрофототопография) изучает методы создания карт и планов по фото- и
аэрофотоснимкам.
Инженерная геодезия изучает методы и средства
проведения геодезических работ при изысканиях, проектировании, строительстве и
эксплуатации различных инженерных сооружений.
Маркшейдерия (подземная геодезия) изучает методы
проведения геодезических работ в подземных горных выработках.
Понятно, что четко обозначенных границ между
перечисленными дисциплинами нет. Так, топография включает в себя элементы
высшей геодезии и картографии, инженерная геодезия использует разделы
практически всех остальных геодезических дисциплин и т.д.
Уже из этого неполного перечня геодезических
дисциплин видно, какие разнообразные задачи — и теоретического, и практического
характера, — приходится решать геодезистам, чтобы удовлетворить требования
государственных и частных учреждений, компаний и фирм. Для государственного
планирования и развития производительных сил страны необходимо изучать ее
территорию в топографическом отношении. Топографические карта и планы,
создаваемые геодезистами, нужны всем, кто работает или передвигается по Земле:
геологам, морякам, летчикам, проектировщикам, строителям, земледельцам,
лесоводам, туристам, школьникам и т.д. Особенно нужны карты армии:
строительство оборонительных сооружений, стрельба по невидимым целям,
использование ракетной техники, планирование военных операций, — все это без
карт и других геодезических материалов просто невозможно.
Геодезия занимается изучением Земли в
содружестве с другими «геонауками», то-есть, науками о Земле. Физические
свойства Земли в целом изучает наука «физика Земли», строение верхней
оболочки нашей планеты изучают геология и геофизика, строение и характеристики
океанов и морей — гидрология, океанография. Атмосфера — воздушная оболочка
Земли — и процессы, происходящие в ней, являются предметом изучения
метеорологии и климатологии. Растительный мир изучает геоботаника, животный мир
— зоология. Кроме этого, есть еще география, геоморфология и другие. Среди всех
наук о Земле геодезия занимает свое место: она изучает геометрию Земли в целом
и отдельных участков ее поверхности, а также геометрию любых объектов (и
естественного, и искусственного происхождения) на поверхности Земли и вблизи
нее.
Геодезия, как и другие науки, постоянно
впитывает в себя достижения математики, физики, астрономии, радиоэлектроники,
автоматики и других фундаментальных и прикладных наук. Изобретение лазера
привело к появлению лазерных геодезических приборов — лазерных нивелиров и
светодальномеров; кодовые измерительные приборы с автоматической фиксацией
отсчетов могли появиться только на определенном уровне развития
микроэлектроники и автоматики. Что же касается информатики, то ее достижения
вызвали в геодезии подлинную революцию, которая происходит сейчас на наших
глазах.
В последние годы строительство так называемых
уникальных инженерных сооружений потребовало от геодезии резкого повышения
точности измерений. Так, при монтаже оборудования мощных ускорителей приходится
учитывать десятые и даже сотые доли миллиметра. По результатам геодезических
измерений изучают деформации и осадки действующего промышленного оборудования,
обнаруживают движение земной коры в сейсмоактивных зонах, наблюдают за уровнями
воды в реках, морях и океанах и уровнем грунтовых вод.
Возможность использования искусственных
спутников Земли для решения геодезических задач привела к появлению новых
разделов геодезии — космической геодезии и геодезии планет. Подтверждаются
слова К.Э. Циолковского: «Земля — колыбель человечества, но нельзя вечно
жить в колыбели.»
1.2 Понятие о
фигуре Земли
Фигура Земли как планеты издавна интересовала
ученых; для геодезистов же установление ее фигуры и размеров является одной из
основных задач.
На вопрос: «Какую форму имеет Земля?»
большинство людей отвечает: «Земля имеет форму шара!». Действительно,
если не считать гор и океанических впадин, то Землю в первом приближении можно
считать шаром. Она вращается вокруг оси и согласно законам физики должна быть
сплюснута у полюсов. Во втором приближении Землю принимают за эллипсоид
вращения; в некоторых исследованиях ее считают трехосным эллипсоидом.
На поверхности Земли встречаются равнины,
котловины, возвышенности и горы разной высоты; если же принять во внимание
рельеф дна озер, морей и океанов, то можно сказать, что форма физической
поверхности Земли очень сложная. Для ее изучения можно применить широко
известный способ моделирования, с которым школьники знакомятся на уроках
информатики.
При разработке модели какого-либо объекта или
явления учитывают только его главные характеристики, имеющие значение для
успешного решения данной конкретной задачи; все другие характеристики, как
несущественные для данной задачи, во внимание не принимаются.
В модели шарообразной Земли поверхность Земли
имеет сферическую форму; здесь важен лишь радиус сферы, а все остальное —
морские впадины, горы, равнины, — несущественно. В этой модели используется
геометрия сферы, теория которой сравнительно проста и очень хорошо разработана.
Модель эллипсоида вращения имеет две
характеристики: размеры большой и малой полуосей. В этой модели используется
геометрия эллипсоида вращения, которая намного сложнее геометрии сферы, хотя
разработана также достаточно подробно.
Если участок поверхности Земли небольшой, то
иногда оказывается возможным применить для этого участка модель плоской поверхности;
в этой модели применяется геометрия плоскости, которая по сложности (а точнее,
по простоте) несравнима с геометрией сферы, а тем более с геометрией
эллипсоида.
В одном из учебников по высшей геодезии
написано: «Понятие фигуры Земли неоднозначно и имеет различную трактовку в
зависимости от использования получаемых данных». При решении геодезических
задач можно иногда считать поверхность участка Земли либо частью плоскости,
либо частью сферы, либо частью поверхности эллипсоида вращения и т.д.
Какое направление вполне однозначно и очень
просто можно определить в любой точке Земли без специальных приборов? Конечно
же, направление силы тяжести; стоит подвесить на нить груз, и натянутая нить
зафиксирует это направление. Именно это направление является в геодезии
основным, так как оно существует объективно и легко и просто обнаруживается.
Направления силы тяжести в разных точках Земли непараллельны, они радиальны,
то-есть почти совпадают с направлениями радиусов Земли.
Поверхность, всюду перпендикулярная направлениям
силы тяжести, называется уровенной поверхностью. Уровенные поверхности можно
проводить на разных высотах; все они являются замкнутыми и почти параллельны
одна другой.
Уровенная поверхность, совпадающая с
невозмущенной поверхностью мирового океана и мысленно продолженная под
материки, называется основной уровенной поверхностью или поверхностью геоида.
Если бы Земля была идеальным шаром и состояла из
концентрических слоев различной плотности, имеющих постоянную плотность внутри
каждого слоя, то все уровенные поверхности имели бы строго сферическую форму, а
направления силы тяжести совпадали бы с радиусами сфер. В реальной Земле
направления силы тяжести зависят от распределения масс различной плотности
внутри Земли, поэтому поверхность геоида имеет сложную форму, не поддающуюся
точному математическому описанию, и не может быть определена только из наземных
измерений.
В настоящее время при изучении физической
поверхности Земли роль вспомогательной поверхности выполняет поверхность
квазигеоида, которая может быть точно определена относительно поверхности
эллипсоида по результатам астрономических, геодезических и гравиметрических
измерений. На территории морей и океанов поверхность квазигеоида совпадает с
поверхностью геоида, а на суше она отклоняется от него в пределах двух метров
/24/ (рис.1.1).
Рис.1.1
За действительную поверхность Земли принимают на
суше ее физическую поверхность, на территории морей и океанов — их
невозмущенную поверхность.
Что значит изучить действительную поверхность
Земли? Это значит определить положение любой ее точки в принятой системе
координат. В геодезии системы координат задают на поверхности эллипсоида
вращения, потому что из простых математических поверхностей она ближе всего
подходит к поверхности Земли; поверхность этого эллипсоида называется еще
поверхностью относимости. Эллипсоид вращения принятых размеров, определенным
образом ориентированный в теле Земли, на поверхность которого относятся
геодезические сети при их вычислении, называется референц-эллипсоидом.
Для территории нашей страны постановлением
Совета Министров СССР N 760 от 7 апреля 1946 года принят эллипсоид Красовского:
большая полуось a = 6 378 245 м, малая полуось b
= 6 356 863 м, полярное сжатие:
Применяемые в разных странах референц-эллипсоиды
могут иметь неодинаковые размеры; существует и общеземной эллипсоид, размеры
которого утверждают Международные геодезические организации. Так, в системе
WGS-84 (World Geodetic System) эти размеры суть большая полуось a = 6 378 137.0
м, полярное сжатие:
Малая полуось при необходимости вычисляется
через a и α.
Для многих задач геодезии поверхностью
относимости может служить сфера, которая в математическом отношении еще проще,
чем поверхность эллипсоида вращения, а для некоторых задач небольшой участок
сферы или эллипсоида можно считать плоским.
1.3.1 Астрономические
координаты
Положение точки на поверхности сферы
определяется двумя сферическими координатами — широтой и долготой (рис.1.2:
точка O — центр сферы, точка P — северный полюс, точка P’ — южный полюс).
Проведем линию экватора QQ, полученную от пересечения плоскости экватора и
поверхности сферы.
Плоскость меридиана точки A, лежащей на
поверхности сферы, проходит через отвесную линию точки A и ось вращения Земли
PP’. Меридиан точки A — это линия пересечения плоскости меридиана точки A с
поверхностью сферы.
Широта точки A — это угол, образованный отвесной
линией точки A и плоскостью экватора; этот угол лежит в плоскости меридиана
точки.
Широта отсчитывается в обе стороны от экватора
(к северу — северная широта, к югу — южная) и изменяется от 0o до 90o.
Рис.1.2
Долгота точки A — это двугранный угол между
плоскостью начального меридиана и плоскостью меридиана точки A. Начальный меридиан
проходит через центр главного зала Гринвичской обсерватории, расположенной
вблизи Лондона. Долготы изменяются от 0o до 180o, к западу от Гринвича —
западные и к востоку — восточные. Все точки одного меридиана имеют одинаковую
долготу.
Проведем через точку A плоскость, параллельную
плоскости экватора; линия пересечения этой плоскости с поверхностью сферы
называется параллелью точки; все точки параллели имеют одинаковую широту.
Проведем плоскость G, касательную к поверхности
сферы в точке A; эта плоскость называется плоскостью горизонта точки A. Линия
пересечения плоскости горизонта и плоскости меридиана точки называется
полуденной линией; направление полуденной линии — с юга на север. Если провести
полуденные линии двух точек, лежащих на одной параллели, то они пересекутся в
точке на продолжении оси вращения Земли PP’ и образуют угол ,
который называется сближением меридианов этих точек.
Широту и долготу точек местности определяют из
астрономических наблюдений, потому они и называются астрономическими
координатами.
1.3.2 Геодезические
координаты
На поверхности эллипсоида вращения положение
точки определяется геодезическими координатами — геодезической широтой B и
геодезической долготой L (рис.1.3).
Геодезическая широта точки — это угол,
образованный нормалью к поверхности эллипсоида в этой точке и плоскостью
экватора. Геодезическая долгота точки — это двугранный угол между плоскостью
начального меридиана и плоскостью меридиана точки.
Плоскость геодезического меридиана проходит
через точку A и малую полуось эллипсоида; в этой плоскости лежит нормаль к
поверхности эллипсоида в точке A. Геодезическая параллель получается от
пересечения поверхности эллипсоида плоскостью, проходящей через точку A и
параллельной плоскости экватора.
Различие геодезических и астрономических
координат точки A зависит от угла между отвесной линией данной точки и нормалью
к поверхности эллипсоида в этой же точке. Этот угол называется уклонением
отвесной линии; он обычно не превышает 5″. В некоторых районах Земли,
называемых аномальными, уклонение отвесной линии достигает нескольких десятков
дуговых секунд. При геодезических работах невысокой точности астрономические и
геодезические координаты не различают; их общее название — географические
координаты — используется довольно часто.
Две координаты — широта и долгота — определяют
положение точки на поверхности относимости (сферы или эллипсоида). Для
определения положения точки в трехмерном пространстве нужно задать ее третью
координату, которой в геодезии является высота. В нашей стране счет высот
ведется от уровенной поверхности, соответствующей среднему уровню Балтийского
моря; эта система высот называется Балтийской.
1.3.3 Прямоугольные
координаты
Систему плоских прямоугольных координат образуют
две взаимно перпендикулярные прямые линии, называемые осями координат; точка их
пересечения называется началом или нулем системы координат. Ось абсцисс — OX,
ось ординат — OY.
Существуют две системы прямоугольных координат:
левая и правая. В геодезии чаще применяется левая система (рис.1.4-а).
Положение точки в прямоугольной системе однозначно определяется двумя
координатами X и Y; координата X выражает расстояние точки от оси ОY,
координата Y — расстояние от оси OY.
Рис.1.4-а
Значения координат бывают положительные (со
знаком » + «) и отрицательные (со знаком » — «) в
зависимости от того, в какой четверти (квадранте) находится искомая точка
(рис.1.4-a).
1.3.4 Полярные
координаты
Систему полярных координат образует направленный
прямой луч OX. Начало координат — точка O — называется полюсом системы, линия
OX — полярной осью. Положение любой точки в полярной системе определяется двумя
координатами: радиусом-вектором r (синоним полярное расстояние S) — расстоянием
от полюса до точки, — и полярным углом β при
точке O, образованным осью OX и радиусом вектором точки и отсчитываемым от оси
OX по ходу часовой стрелки (рис.1.4-б).
Переход от прямоугольных координат к полярным и
обратно для случая, когда начала обеих систем находятся в одной точке и оси OX
у них совпадают (рис.1.4-в), выполняется по формулам : X = S * Cosβ,
Y = S * Sinβ, tgβ = Y/X, .
Эти формулы получаются из решения ΔOBA
по
известным соотношениям между сторонами и углами прямоугольного треугольника.
Системы прямоугольных и полярных координат
применяются в геодезии для определения положения точек на плоскости.
.4 Метод проекции
.4.1 Центральная проекция
Чтобы изобразить объемный предмет на плоском
чертеже, применяют метод проекций. К простейшим проекциям относятся центральная
и ортогональная проекции. При центральной
проекции (рис.1.5-а) проектирование выполняют линиями, исходящими из одной
точки, которая называется центром проекции. Пусть требуется получить
центральную проекцию четырехугольника ABCD на плоскость проекции P; центр
проекции — точка S. Проведем линии
проектирования до пересечения с плоскостью проекции, получим точки a, b, c, d,
являющиеся проекциями точек A, B, C, D. Плоскость проекции и объект могут
располагаться по разные стороны от центра проекции; так при фотографировании
центром проекции является оптический центр объектива, а плоскостью проекции —
фотопластинка или фотопленка.
Рис.1.5-а
.4.2 Ортогональная проекция
При ортогональной проекции линии проектирования
перпендикулярны плоскости проекции. Проведем через точки A, B, C, D линии,
перпендикулярные плоскости проекции P; в пересечении их с плоскостью P получим
ортогональные проекции a, b, c, d соответствующих точек (рис.1.5-б)
Рис.1.5-б
.4.3 Горизонтальная проекция
Чтобы изобразить на бумаге участок земной
поверхности, нужно выполнить две операции: сначала спроектировать все точки
участка на поверхность относимости (на поверхность эллипсоида вращения, или на
поверхность сферы) и затем изобразить поверхность относимости на плоскости.
Если участок местности небольшой, то соответствующий ему участок сферы или
поверхности эллипсоида можно заменить плоскостью и считать, что проектирование
выполняется сразу на плоскость.
При проектровании отдельных точек и целых
участков земной поверхности на поверхность относимости применяется
горизонтальная проекция, в которой проектирование выполняют отвесными линиями.
Пусть точки A, B, C находятся на поверхности
Земли (рис.1.6). Спроектируем их на поверхность относимости и получим их
горизонтальные проекции — точки a, b, c. Линия ab называется горизонтальной
проекцией или горизонтальным проложением линии местности AB и обозначается
буквой S. Угол между линией AB и ее горизонтальной проекцией AB’ называется
углом наклона линии и обозначается буквой ν.
Расстояния Aa, Bb, Cc от точек местности до их
горизонтальных проекций называются высотами или альтитудами точек и
обозначаются буквой H (HA, HB, HC); отметка точки — это численное значение ее
высоты. Разность отметок двух точек называется превышением одной точки
относительно другой и обозначается буквой h: hAB = HB — HA.
.5 Расчет искажений при замене участка сферы
плоскостью
.5.1 Искажение расстояний
Небольшой участок сферической поверхности при
определенных условиях можно принять за плоскость. Применение
модели плоской поверхности при решении геодезических задач возможно лишь для
небольших участков поверхности Земли, когда искажения, вызванные заменой
поверхности сферы или эллипсоида плоскостью невелики и могут быть вычислены по
простым формулам. Это тем более оправдано, если учесть, что измерения на
местности и чертежные работы всегда выполняются с ошибками, а потому небольшую
часть сферы (эллипсоида), отличающуюся от плоскости на величину, меньшую ошибок
измерений, можно считать плоской.
Рассчитаем, какое искажение получит дуга
окружности, если заменить ее отрезком касательной к этой дуге. На рис.1.7 точка
O — центр окружности, дуга ABC радиусом R стягивает центральный угол ε.
Проведем
касательную через середину дуги в точке B и, продолжив радиусы OA и OC до
пересечения с касательной, получим точки A’ и C’.
Пусть дуга ABC имеет длину D, а отрезок
касательной A’C’ — длину S. Известно, что для окружности D = R* ε,
причем
угол ε
должен
быть выражен в радианах.
Из ΔOBC’ имеем:
S/2=R*tg(ε/2) или S = 2 R
tg(ε/2)
(1.1)
Разность (S — D) обозначим через ΔD
и
напишем
ΔD=R*[2*tg(ε/2)-
ε]
(1.2)
Разложим tg(ε/2) в
ряд, ограничившись ввиду малости угла ε/2 двумя
членами разложения,
или
.
Подставим это выражение в формулу (1.2) и
получим
.
Но ε = D/R, поэтому
.
Отношение ΔD/D называется
относительным искажением длины дуги при замене ее отрезком касательной, оно
будет равно:
(1.3)
Подсчитаем конкретные значения относительного
искажения для разных длин дуги D (R = 6400 км): D = 20 км, Δ
D/D = 1/1 218 000,
D = 30 км, Δ D/D = 1/ 541
000,
и т.д.
Достигнутая точность измерения расстояний пока не
превышает 1/1 000 000, поэтому при геодезических работах любой точности участок
сферы 20 х 20 км2 можно считать плоским. При работах пониженной точности
размеры участка сферы, принимаемого за плоскость, можно увеличить.
1.5.2 Искажение высот точек
Если заменить небольшой участок сферы
касательной плоскостью, то будут искажены не только длины линий, но и отметки
точек. Изменения отметок симметричны относительно точки B и зависят от удаления
от этой точки; обозначим отрезок BC’, равный половине отрезка A’C’, через s.
Отметка точки C’, находящейся на плоскости, отличается от отметки точки C,
лежащей на сфере, на величину отрезка CC’=p. Из
треугольника OBC’ следует:
R2 + s2 = (R + p)2,
откуда получаем:
(1.4)
В знаменателе величина p намного меньше величины
2*R, поэтому, отбросив ее, мы допустим несущественную ошибку. Таким образом,
(1.5) .
Влияние кривизны Земли на отметки точек нужно
учитывать при любых расстояниях между точками; например, при s=10 км p=7.8 м и
при s=100 м p=0.8 мм.
.6 Понятие о плане, карте, аэроснимке
Уменьшенное изображение на бумаге горизонтальной
проекции небольшого участка местности называется планом.На плане местность
изображается без заметных искажений, так как небольшой участок поверхности
относимости можно принять за плоскость.
Если участок поверхности относимости, на который
спроектирована местность, имеет большие размеры, то при изображении его на
плоскости неизбежны заметные искажения длин линий, углов, площадей. Просто
развернуть на плоскость участок сферы или эллипсоида без разрывов и складок
нельзя, поэтому приходится прибегать к помощи математики.
Математически определенный способ изображения
поверхности сферы или эллипсоида на плоскости называется картографической
проекцией; каждой точке Mo (φ, λ или
B, L) изображаемой поверхности соответствует одна точка M (x, y) плоскости.
Аналитически картографическая проекция задается двумя уравнениями x = f1(φ,
λ), y = f2(φ, λ), где f1 и f2 —
функции независимые, непрерывные, однозначные и конечные.
Картографические проекции классифицируются по:
характеру искажений (равноугольные, равновеликие
и произвольные),
виду сетки меридианов и параллелей
(азимутальные, цилиндрические, псевдоцилиндрические, конические, псевдоконические,
поликонические),
положению полюса сферических координат
(нормальные, поперечные, косые).
Картой называется уменьшенное изображение на
бумаге горизонтальной проекции участка земной поверхности в принятой
картографической проекции, то-есть, с учетом кривизны поверхности относимости.
В нашей стране топографические карты составляются в поперечно-цилиндрической
равноугольной проекции Гаусса.
Масштабом карты (плана) называется отношение
длины отрезка на карте (плане) к горизонтальной проекции соответствующего
отрезка на местности.
По своему назначению все географические карты
делятся на общегеографические и тематические. На общегеографических картах
показывают рельеф, гидрографию, растительный покров, населенные пункты, пути
сообщения, различные границы и другие объекты природного, хозяйственного и
культурного назначения.
На тематических картах изображают размещение,
сочетание и связи различных природных и общественных явлений; известны
геологические, климатические, ландшафтные, экологические карты, карты полезных
ископаемых, карты размещения производительных сил, карты населения,
исторические, учебные, туристические и др.
Крупномасштабные (масштаба 1:1 000 000 и
крупнее) общегеографические карты называются топографическими. Они издаются в
виде отдельных листов размером примерно 40 см x 40 см.
Рис.1.8
Аэроснимок — это фотографическое изображение
участка земной поверхности, представляющее его центральную проекцию. При
отвесном положении оси фотоаппарата получается плановый снимок, при наклонном —
перспективный снимок.
Масштабом аэроснимка называется отношение длины
отрезка на аэроснимке к длине соответствующего отрезка на местности (рис.1.8).
Масштаб аэроснимка определяют по формуле:
(1.6)
где: f — фокусное расстояние фотоаппарата, f =
OC’,- высота фотографирования, H = OC.
.7 Картографическая проекция Гаусса
В проекции Гаусса вся поверхность Земли условно
разделена на 60 зон меридианами, проведенными через 6o; форма зоны — сферический
двуугольник (рис.1.9); счет зон ведется от Гринвичского меридиана на восток.
Средний меридиан зоны называется осевым; долгота осевого меридиана L0 любой
зоны в восточном полушарии подсчитывается по формуле:
L0=6o*n — 3o (1.7)
а в западном — по формуле:
L0=360o — (6o*n — 3o),
где n — номер зоны.
Рис.1.9 Рис.1.10
Представим себе, что земной эллипсоид вписан в
эллиптический цилиндр. Ось цилиндра расположена в плоскости экватора и проходит
через центр эллипсоида (рис.1.10). Цилиндр касается эллипсоида по осевому меридиану
данной зоны. Вся поверхность зоны проектируется на поверхность цилиндра
нормалями к эллипсоиду так, что изображение малого участка на цилиндре подобно
соответствующему участку на эллипсоиде. Такая проекция называется конформной
или равноугольной; в ней углы не искажаются, а длины линий искажаются по
закону:
(1.8)
где: ΔS — величина
искажения линии,- длина линии на эллипсоиде,- удаление линии от осевого
меридиана,- средний по линии радиус кривизны эллипсоида.
Для территории нашей страны искажения длин линий
находятся в допустимых пределах для карт масштабов 1/10000 и мельче; для карт
масштаба 1/5000 и крупнее приходится применять трехградусные зоны Гаусса.
Поверхность
цилиндра разрезается и развертывается на плоскости; при этом осевой меридиан и
экватор изображаются в виде двух взаимно перпендикулярных прямых линий. В точку
их пересечения помещают начало прямоугольных координат зоны. За ось OX
принимают изображение осевого меридиана зоны (положительное направление оси OX
— на север), за ось OY принимают изображение экватора (положительное
направление оси OY — на восток). При координате Y впереди пишут номер зоны; для
исключения ее отрицательных значений условились, что в начале координат
значение координаты Y равно 500 км.
.8 Ориентирование линий
.8.1 Ориентирование по географическому меридиану
точки
Ориентировать линию — значит определить ее
направление относительно другого направления, принятого за начальное.
Направление определяется величиной ориентирного угла, то есть, угла между
начальным направлением и направлением линии.
В геодезии за начальное направление принимают:
географический меридиан точки,
осевой меридиан зоны,
магнитный меридиан точки.
Географическим азимутом называется угол,
отсчитанный по ходу часовой стрелки от северного направления географического
меридиана точки до направления линии; он обозначается буквой A (рис.1.11).
Пределы изменения географического азимута от 0o до 360o.
Рис.1.11 Рис.1.12
Азимут прямой линии в разных ее точках имеет
разные значения, так как меридианы на поверхности сферы непараллельны между
собой. Проведем линию BC и меридианы в точках B и C (рис.1.12). Азимут этой
линии в точке C отличается от азимута линии в точке B на величину сближения
меридианов точек B и C:
(1.9)
В геодезии различают прямое и обратное
направление линии. Например, в точке C линии BD прямое направление —
направление CD, обратное направление — направление CB. Прямой и обратный азимут
линии в одной точке различаются ровно на 180o, однако, для разных точек линии
это равенство не выполняется. Пусть BC — прямое направление линии в ее начале
(в точке B), ABC — азимут прямого направления; CB — обратное направление линии
в ее конце (в точке C), ACB — азимут обратного направления, тогда
(1.10)
то есть, обратный азимут линии равен прямому
азимуту плюс-минус 180o, плюс сближение меридианов точек начала и конца линии.
Различают восточное (положительное) и западное
(отрицательное) сближение меридианов. Если конечная точка линии находится к
востоку от начальной, то сближение меридианов будет восточным и положительным;
если конечная точка линии лежит к западу от начальной, то сближение меридианов
будет западным и отрицательным.
Формула сближения меридиана. На сфере наметим
две точки A и B, лежащие на одной параллели, то есть, имеющие одинаковую широту
(рис.1.13).
Рис.1.13
Проведем на поверхности сферы экватор и
параллель точек A и B; в плоскости параллели проведем радиусы параллели FA = r
и FB = r; угол между ними равен разности долгот точек.
Через точки A и B проведем полуденные линии AN и
BN, которые, пересекаясь на продолжении оси вращения Земли, образуют угол γ,
являющийся
сближением меридианов точек A и B. Требуется выразить Рис.1.13 угол γ
через
координаты точек A и B, то есть, через широту φ и
долготы λA
и
λB,
причем
Δλ
= λB — λA.
Выразим длину дуги AB двумя способами: из ΔABN
AB
= BN * γ и из ΔABF AB
= r * Δλ (углы γ и
Δ
λ выражены
в радианах). Далее пишем:
BN*γ=r* Δλ,
(1.11)
Откуда
. (1.12)
Радиус параллели выразим из Δ
OFB r = R*Cos(φ), а отрезок BN — из ΔONB
BN = R * Ctg(φ), где
R — радиус сферы; тогда
γ = Δ λ * Sin(φ)
(1.13)
В этой формуле размерность γ
соответствует
размерности λ.
Гауссово сближение меридианов . Частным случаем
сближения меридианов является гауссово сближение меридианов, когда начальная
точка A лежит на осевом меридиане зоны. Величина гауссова сближения меридианов,
равного сближению меридиана точки и осевого меридиана зоны, является одной из
характеристик положения точки внутри зоны. Формула гауссова сближения
меридианов имеет вид
(1.14)
Буквами L и B здесь обозначены геодезические
долгота и широта точки, буквой L0 — долгота осевого меридиана зоны. В пределах
зоны гауссово сближение меридианов не может превышать величины 3o*Sin(B).
.8.2 Ориентирование по осевому меридиану зоны
Дирекционным углом линии называется угол,
отсчитанный по ходу часовой стрелки от северного направления осевого меридиана
зоны до направления линии; он обозначается буквой α
(рис.1.14).
Пределы изменения дирекционного угла от 0o до 360o.
Поскольку направление осевого меридиана для зоны
одно, то дирекционный угол прямой линии одинаков в разных ее точках, а обратный
дирекционный угол прямой линии отличается от прямого ровно на 180o:
(1.15)
Связь географического азимута и дирекционного
угла одной и той же прямой линии выражается формулой:
(1.16)
где γГ
— гауссово сближение меридианов в точке начала линии.
Передача дирекционного угла на последующую
сторону через угол поворота. Пусть имеются две линии BC и CD; угол поворота
между ними в точке C равен β л
(левый угол поворота) или β пр
(правый угол поворота) — рис.1.15. Проведем через точки B и C направления,
параллельные осевому меридиану зоны и покажем на рисунке дирекционные углы αBC
и
αCD.
В
задаче известны αBC и βл
(или βпр);
требуется найти αCD.
Продолжим линию BC и покажем на ее продолжении
угол αBC.
Из
рис.1.15 видно, что αCD = αBC + x. Но
x = βл-
180o или x = 180o — βпр, тогда:
, (1.17)
. (1.18)
Если при вычислении по двум последним формулам
дирекционный угол получается отрицательным, к нему прибавляют 360o; если он
получается больше 360o, то из него вычитают 360o.
.8.3 Ориентирование по магнитному меридиану
точки
Магнитным азимутом называется угол, отсчитанный
по ходу часовой стрелки от северного направления магнитного меридиана точки до
направления линии; он обозначается буквой AМ (рис.1.16). Пределы изменения
магнитного азимута от 0o до 360o.
Проведем через одну и ту же точку B
географический меридиан N и магнитный меридиан NМ; угол между ними называется
склонением магнитной стрелки и обозначается буквой δ.
Если
северный конец магнитной стрелки отклоняется к востоку от географического
меридиана, то склонение считается восточным и положительным; если к западу, —
то западным и отрицательным.
Направление BC характеризуется двумя
ориентирными углами: географическим азимутом и магнитным азимутом; из рис.1.16
видно, что
(1.19)
Учитывая формулу связи географического азимута и
дирекционного угла линии (1.11), можно написать:
(1.20)
, v(1.21)
где П — поправка за склонение магнитной стрелки
и сближение меридианов.
Назначение и устройство буссоли. Буссоль
предназначена для ориентирования на местности по магнитному меридиану; она
устроена примерно так же, как компас (рис.1.17). На острие, расположенном в
центре градуированного кольца, вращается магнитная стрелка с передвижным
хомутиком для ее уравновешивания. Кольцо буссоли разделено на 360 частей, цена
одного деления 1o. Деления азимутальных буссолей возрастают от 0o до 360o либо
по ходу, либо против хода часовой стрелки; деления румбической буссоли
возрастают от 0o до 90o в обе стороны от нулевого диаметра.
Если деления азимутальной буссоли возрастают по
ходу часовой стрелки, то совмещают северный конец стрелки с нулевым делением и
по направлению линии отсчитывают магнитный азимут. Если деления возрастают
против хода часовой стрелки, то нулевое деление располагают по направлению
линии и против северного конца стрелки отсчитывают магнитный азимут.
.8.4 Румбы линий
Кроме географического и магнитного азимутов и
дирекционного угла к ориентирным углам относятся также румбы. Румб — это острый
угол от ближайшего направления меридиана до направления линии; он обозначается
буквой r. Пределы изменения румба от 0o до 90o. Название румба зависит от
названия меридиана: географический, магнитный и дирекционный (или осевой).
Для однозначного определения направления по
значению румба он сопровождается названием четверти:
четверть — СВ (северо-восток),
четверть — ЮВ (юго-восток),
четверть — ЮЗ (юго-запад),
четверть — СЗ (северо-запад),
например, r = 30o ЮВ.
Связь румба с соответствуюшим азимутом
выявляется из рис.1.18.
1 четверть
r = a; a = r;
четверть
r = 180o — a; a = 180o — r;
четверть
r = a — 180o ; a = 180o + r; (1.22)
четверть
r =360o — a; a = 360o — r.
1.9 Обработка геодезических измерений
.9.1 Принципы обработки измерений
Измерения являются важной составной частью
геодезических работ; именно из измерений получают количественную информацию о
различных объектах, подлежащих изучению. Геодезистам приходится измерять длины
линий, горизонтальные и вертикальные углы, превышения между точками местности,
температуру воздуха, ускорение свободного падения, интервалы времени и многое
другое. Результаты измерений могут использоваться как непосредственно, так и
как промежуточные величины для вычисления таких характеристик объекта, которые
либо вообще нельзя измерить, либо их измерение требует слишком больших затрат
времени и средств.
Методика выполнения измерений разрабатывается
конкретно для каждого вида измерений и имеет целью достичь необходимую точность
результатов при наименьшей трудоемкости процесса.
С точки зрения теории обработки измерений все
измерения нужно разделить на необходимые и избыточные. Если количество
неизвестных величин равно t, а количество измерений равно n, причем n>t, то
t измерений являются необходимыми, а (n-t) — избыточными.
Простой пример: чтобы узнать значение угла,
достаточно измерить его один раз (t=1); на практике угол измеряют несколькими
приемами, получая n его значений; следовательно, (n-1) измерений избыточны.
Все измерения сопровождаются ошибками, и главная
задача обработки измерений — устранение противоречий между результатами
измерений, содержащими ошибки, и математической моделью, включающей численные
значения измеряемых величин. Решение этой задачи из-за наличия избыточных
измерений неоднозначно, поэтому для получения единственного решения на него
накладывают одно или несколько дополнительных условий. В геодезии такое условие
записывают в виде:
, (1.24)
то-есть, из всех возможных решений выбирается
такое, в котором сумма квадратов поправок Vi в результаты измерений имеет
наименьшее значение; буквой pi обозначен вес i-того измерения.
В
теории обработки измерений для знака «сумма» используются два
символа: и
[ ].
Обработку
измерений при наличии избыточных измерений под условием (1.23) или (1.24) называют
уравниванием по методу наименьших квадратов, сокращенно МНК. В зарубежной
литературе вместо термина «уравнивание по МНК» часто используют
термин «оценивание по МНК».
Уравнивание по МНК можно выполнять двумя
способами; первый называется параметрическим, второй — коррелатным. Обозначим
через n общее количество измерений, через t — количество определяемых элементов
и через r — количество избыточных измерений (r = n — t).
В
первом способе сначала получают приближенные значения определяемых элементов, сводя
задачу к нахождению t параметров-поправок к этим приближенным значениям. Затем
составляют n параметрических уравнений (по количеству измерений), преобразуют
их и получают t нормальных уравнений с t неизвестными параметрами. Решают
нормальные уравнения, затем вычисляют значения определяемых элементов и
выполняют оценку точности. Во втором
способе составляют r условных уравнений с n неизвестными поправками к
результатам измерений и после их преобразования получают r нормальных уравнений
с r неизвестными вспомогательными множителями, называемыми коррелатами. Решают
все r уравнений как систему, находят значения коррелат и по ним вычисляют
поправки к измерениям; определяемые элементы вычисляют по значениям
исправленных измерений любым из возможных способов.
Трудоемкость
того или другого варианта при ручном счете зависит от соотношения t и r; если t
> r, то предпочтительнее второй вариант, если t < r, то — первый. При
счете на ЭВМ как правило используют первый вариант.
В
результате уравнивания достигают следующих целей:
вычисляют наиболее надежные, наиболее
достоверные значения неизвестных величин,
вычисляют и оценивают поправки в измеренные
элементы для при ведения их в соответствие с геометрическими условиями
конкретной модели,
выполняют оценку точности уравненных элементов
модели.
1.9.2 Начальные сведения из теории ошибок
Теория ошибок измерений изучает свойства ошибок
и законы их распределения, методы обработки измерений с учетом их ошибок, а
также способы вычисления числовых характеристик точности измерений. При
многократных измерениях одной и той же величины результаты измерений получаются
неодинаковыми. Этот очевидный факт говорит о том, что измерения сопровождаются
разными по величине и по знаку ошибками. Задача теории ошибок — нахождение
наиболее надежного значения измеренной величины, оценка точности результатов
измерений и их функций и установление допусков, ограничивающих использование
результатов обработки измерений.
По своей природе ошибки бывают грубые,
систематические и случайные.
Грубые ошибки являются результатом промахов и
просчетов. Их можно избежать при внимательном и аккуратном отношении к работе и
организации надежного полевого контроля измерений. В теории ошибок грубые
ошибки не изучаются.
Систематические ошибки имеют определенный
источник, направление и величину. Если источник систематической ошибки
обнаружен и изучен, то можно получить формулу влияния этой ошибки на результат
измерения и затем ввести в него поправку; это исключит влияние систематической
ошибки. Пока источник какой-либо систематической ошибки не найден, приходится
считать ее случайной ошибкой, ухудшающей качество измерений.
Случайные ошибки измерений обусловлены точностью
способа измерений (строгостью теории), точностью измерительного прибора,
квалификацией исполнителя и влиянием внешних условий. Закономерности случайных
ошибок проявляются в массе, то-есть, при большом количестве измерений; такие
закономерности называют статистическими. Освободить результат единичного
измерения от случайных ошибок невозможно; невозможно также предсказать
случайную ошибку единичного измерения. Теория ошибок занимается в основном
изучением случайных ошибок.
Случайная истинная ошибка измерения Δ
— это
разность между измеренным значением величины l и ее истинным значением X:
(1.25)
Свойства случайных ошибок. Случайные ошибки
подчиняются некоторым закономерностям:
при данных условиях измерений абсолютные
значения случайных ошибок не превосходят некоторого предела; если какая-либо
ошибка выходит за этот предел, она считается грубой,
положительные и отрицательные случайные ошибки
равновозможны,
среднее арифметическое случайных ошибок
стремится к нулю при неограниченном возрастании числа измерений. Третье
свойство случайных ошибок записывается так:
(1.26)
малые по абсолютной величине случайные ошибки
встречаются чаще, чем большие.
Кроме того, во всей массе случайных ошибок не
должно быть явных закономерностей ни по знаку, ни по величине. Если
закономерность обнаруживается, значит здесь сказывается влияние какой-то
систематической ошибки.
Средняя квадратическая ошибка одного измерения.
Для оценки точности измерений можно применять разные критерии; в геодезии таким
критерием является средняя квадратическая ошибка. Это понятие было введено
Гауссом; он же разработал основные положения теории ошибок. Средняя
квадратическая ошибка одного измерения обозначается буквой m и вычисляется по
формуле Гаусса:
(1.27)
где: ;
n — количество измерений одной величины.
Средняя квадратическая ошибка очень
чувствительна к большим по абсолютной величине ошибкам, так как каждая ошибка
возводится в квадрат. В то же время она является устойчивым критерием для
оценки точности даже при небольшом количество измерений; начиная с некоторого n
дальнейшее увеличение числа измерений почти не изменяет значения m; доказано,
что уже при n = 8 значение m получается достаточно надежным.
Предельная ошибка ряда измерений обозначается Δпред;
она обычно принимается равной 3*m при теоретических исследованиях и 2*m или
2.5*m при практических измерениях. Считается, что из тысячи измерений только
три ошибки могут достигать или немного превосходить значение Δпред
= 3*m.
Отношение mx/X называется средней квадратической
относительной ошибкой; для некоторых видов измерений относительная ошибка более
наглядна, чем m. Относительная ошибка выражается дробью с числителем, равным 1,
например, mx/X = 1/10 000.
Средняя квадратическая ошибка функции измеренных
величин. Выведем формулу средней квадратической ошибки функции нескольких
аргументов произвольного вида:
F = f(X, Y, Z …), (1.28)
здесь: X, Y, Z … — истинные значения
аргументов,- истинное значение функции.
В результате измерений получены измеренные
значения аргументов lX, lY, lZ, при этом:
(1.29)
где ΔX, ΔY,
ΔZ — случайные истинные ошибки измерения аргументов.
Функцию F можно выразить через измеренные
значения аргуметов и их истинные ошибки:
Разложим функцию F в ряд Тейлора, ограничившись
первой степенью малых приращений ΔX, ΔY,
ΔZ:
(1.30)
Разность является
случайной истинной ошибкой функции с противоположным знаком, поэтому:
(1.31)
Если выполнить n измерений аргументов X, Y, Z,
то можно записать n уравнений вида (1.31). Возведем все эти уравнения в квадрат
и сложим их; суммарное уравнение разделим на n и получим
В силу третьего свойства случайных ошибок члены,
содержащие произведения случайных ошибок, будут незначительными по величине, и
их можно не учитывать; таким образом,
(1.32)
Как частные случаи формулы (1.32) можно написать
выражения для средней квадратической ошибки некоторых функций:
Если функция имеет вид произведения нескольких
аргументов,
F = x * y * z,
то для нее можно записать выражение
относительной ошибки функции:
(1.33)
которое в некоторых случаях оказывается более
удобным, чем формула. Принцип равных
влияний. В геодезии часто приходится определять средние квадратические ошибки
аргументов по заданной средней квадратической ошибке функции. Если аргумент
всего один, то решение задачи не представляет трудности. Если число аргументов
t больше одного, то возникает задача нахождения t неизвестных из одного
уравнения, которую можно решить, применяя принцип равных влияний. Согласно
этому принципу все слагаемые правой части формулы (1.32) или (1.33) считаются
равными между собой. Арифметическая
середина. Пусть имеется n измерений одной величины X, то-есть,

Сложим эти равенства, суммарное уравнение
разделим на n и получим:
(1.35)
Величина называется
средним арифметическим или простой арифметической серединой. Запишем (1.35) в
виде
по третьему свойству ошибок (1.26) можно
написать:
что означает, что при неограниченном возрастании
количества измерений простая арифметическая середина стремится к истинному
значению измеряемой величины. При ограниченном количестве измерений
арифметическая середина является наиболее надежным и достоверным значением
измеряемой величины.
Запишем формулу (1.36) в виде
и подсчитаем среднюю квадратическую ошибку
арифметической середины, которая обозначается буквой M. Согласно формуле (1.32)
напишем:
Но ml1 = ml2 = … = mln= m по условию задачи,
так как величина X измеряется при одних и тех же условиях. Тогда в квадратных
скобках будет n * m2, одно n сократится и в итоге получим:
M2 = m2/n
(1.37)
то-есть, средняя квадратическая ошибка
арифметической середины в корень из n раз меньше ошибки одного измерения.
Вычисление средней квадратической ошибки по
уклонениям от арифметической середины. Формулу Гаусса (1.27) применяют лишь в
теоретических выкладках и при исследованиях приборов и методов измерений, когда
известно истинное значение измеряемой величины. На практике оно, как правило,
неизвестно, и оценку точности выполняют по уклонениям от арифметической
середины.
Пусть имеется ряд равноточных измерений величины
X:
l1, l2 , …, ln .
Вычислим арифметическую середину X0 = [1]/n и
образуем разности:

Сложим все разности и получим [l] — n * X0 =
[V]. По определению арифметической середины n * X0 = [l], поэтому:
[V]
= 0.
Величины V называют вероятнейшими ошибками
измерений; именно по их значениям и вычисляют на практике среднюю
квадратическую ошибку одного измерения, используя для этого формулу Бесселя:
(1.40)
Приведем вывод этой формулы. Образуем разности
случайных истинных ошибок измерений Δ и
вероятнейших ошибок V:

Разность (X0 — X) равна истинной ошибке
арифметической середины; обозначим ее Δ0 и
перепишем уравнения (1.41):

Возведем все уравнения (1.42) в квадрат, сложим
их и получим:
.
Второе слагаемое в правой части этого выражения
равно нулю по свойству (1.39), следовательно,
.
Разделим это уравнение на n и учтя, что [Δ2]/n
=m2, получим:
(1.43)
Заменим истинную ошибку арифметической середины Δ0
ее
средней квадратической ошибкой ; такая замена
практически не изменит правой части формулы (1.43). Итак,
,
откуда ;
после перенесения (n-1) в правую часть и
извлечения квадратного корня получается формула Бесселя (1.40).
Для вычисления средней квадратической ошибки
арифметической середины на основании (1.37) получается формула:
(1.44)
Веса измерений. Измерения бывают равноточные и
неравноточные. Например, один и тот же угол можно измерить точным или
техническим теодолитом, и результаты таких измерений будут неравноточными. Или
один и тот же угол можно измерить разным количеством приемов; результаты тоже
будут неравноточными. Понятно, что средние квадратические ошибки неравноточных
измерений будут неодинаковы. Из опыта известно, что измерение, выполненное с
большей точностью (с меньшей ошибкой), заслуживает большего доверия.
Вес измерения — это условное число,
характеризующее надежность измерения, степень его доверия; вес обозначается
буквой p. Значение веса измерения получают по формуле:
p = C/m2 (1.45)
где C — в общем случае произвольное
положительное число.
При неравноточных измерениях одной величины
наиболее надежное ее значение получают по формуле средневесовой арифметической
середины:
(1.46)
или X0 = [l*p] / [p] .
Ошибку измерения, вес которого равен 1, называют
средней квадратической ошибкой единицы веса; она обозначается буквой m. Из
формулы (1.45) получаем
откуда (1.47)
то-есть, за число C принимают квадрат ошибки
единицы веса.
Подсчитаем вес P средневесовой арифметической
середины. По определению веса имеем:
(1.48)
Согласно (1.46) и (1.32) напишем:
Подставим сюда вместо mli2 их выражения через
вес m2 = C/p , тогда:
Подставим это выражение в формулу (1.48) и
получим,
P = [p], (1.49)
то-есть, вес средневесовой арифметической
середины равен сумме весов отдельных измерений.
В случае равноточных измерений, когда веса всех
измерений одинаковы и равны единице, формула (1.49) принимает вид:
P = n. (1.50)
При обработке больших групп измерений (при
уравнивании геодезических построений по МНК) вычисляются значение ошибки
единицы веса, веса измерений и других элементов после уравнивания, а ошибка
любого уравненного элемента подсчитывается по формуле:
(1.51)
где pi — вес i-того элемента.
.9.3 Элементы техники вычислений
Точные и приближенные числа. Точные числа
получаются при счете отдельных предметов и понятий (пример: 27 шариков, 45
шагов); точными числами являются масштабные коэффициенты (пример: 1 м = 100 см
= 1000 мм, масштаб карты равен 1:25000) или целые числа, условно присваиваемые
границам физических интервалов (пример: температура таяния льда 0o C,
температура кипения воды 100o C). Приближенные числа в геодезии получают, как
правило, из измеререний; считается, что записанное приближенное число ошибочно
не более, чем на половину единицы последнего разряда:
.145 — ошибочно на 0.0005 ,
— ошибочно на 0.5 и т.д.
Значащие цифры числа. Все цифры числа кроме
нулей слева являются значащими:
.147 — 4 значащих цифры ,
.004147 — 4 значащих цифры ,
.00 — 4 значащих цифры .
Верными значащими цифрами приближенного числа
считаются те цифры, значение которых больше ошибки этого числа. Количество
верных значащих цифр в результате операций умножения, деления, возведения в
степень и извлечения корня определяется наименьшим количеством верных значащих
цифр в исходных числах:
2.457 * 0.62 = 1.52334 = 1.5 ,
.457 : 0.62 = 3.96290 = 4.0 ,
.452 = 6.0025 = 6.00 ,
= 1.5652 = 1.57 .
При выполнении этого правила применяется
округление приближенных чисел, которое предусматривает, что:
если первая отбрасываемая цифра больше 5 или 5 с
последующими цифрами не равными нулю, то последняя оставляемая цифра увеличивается
на единицу (2.4617 ~ 2.5 , 2.4523 7~ 2.5),
если первая отбрасываемая цифра меньше 5, то
последняя оставляемая цифра не изменяется (2.4417 ~ 2.4),
если первая отбрасываемая цифра есть 5 и за ней
либо нет цифр, либо есть одни нули, то последняя оставляемая цифра округляется
до четной (пример: 2.55 = 2.6 , 2.65000 = 2.6).
При записи очень большого или очень маленького
числа с небольшим количеством верных значащих цифр рекомендуется использовать
степень числа 10 (пример: 2.47*106 , 0.45*10-8).
При сложении и вычитании приближенных чисел
количество верных десятичных знаков в ответе определяется наименьшим
количеством десятичных знаков в исходных числах:
.8 (1 дес. знак)
+ 21.385 (3 дес. знака)
.2751 (4 дес. знака)
.4601 = 228.5 (1 дес. знак).
Если в задаче более одной арифметической
операции, то в результатах промежуточных операций рекомендуется оставлять одну
запасную цифру (для уменьшения ошибок округления).
Системы единиц для измерения углов:
Градусная система.
Градус — это 1/90 часть прямого угла,
минута — это 1/60 часть градуса,
секунда — это 1/60 часть минуты,
o = 60′ = 3600″ .
Полная форма записи угла:124o12’14.63″ ,
124o12’00» .
-я сокращенная форма записи угла 124o12.244′ .
-я сокращенная форма записи угла 124.2047o .
Радианная система. Радиан — это центральный
угол, длина дуги которого равна радиусу окружности. Полный угол в 360o содержит
2π
радианов.
Переход от радианной системы к градусной и
обратно:
Значения переходного коэффициента ρ
:
Градовая система.
Град — это 1/100 часть прямого угла,
сантиград — это 1/100 часть града,
сантисантиград — это 1/100 часть сантиграда,
град = 100 с = 10000 сс .
Существуют еще часовая система измерения углов,
система делений угломера и некоторые другие.
При нахождении тригонометрических функций угла
нужно соблюдать соответствие между значением угла и количеством значащих цифр в
значении функции:
угол задан до целых минут — 4 — 5 значащих цифр,
угол задан до десятых долей минуты — 5 — 6
значащих цифр,
угол задан до целых секунд — 6 значащих цифр,
угол задан до десятых долей секунды — 7 значащих
цифр.
Приведем некоторые правила оформления
геодезических вычислений:
все вычисления следует размещать в таблицах или
ведомостях,
написание цифр должно быть аккуратным и четким,
исключающим неоднозначное прочтение; желательно использование шрифтов,
записи однородных чисел следует располагать
столбиками разряд под разрядом; количество значащих цифр и десятичных знаков
должно соответствовать правилам техники вычислений,
исходные данные рекомендуется выделять цветом
или подчеркиванием,
записи в таблицах и ведомостях не должны иметь
видимых исправлений; неверно написанную цифру нужно аккуратно удалить и на этом
месте написать верную цифру,
в полевых журналах запрещается исправлять
первичные отсчеты, а вычисления можно исправлять, аккуратно зачеркивая неверные
цифры и надписывая сверху верные,
все приращения координат, превышения, невязки и
поправки следует писать со знаком («плюс» или «минус»).
Здесь уместно вспомнить слова известного
геодезиста В.В. Витковского: «Чьи вычисления представляют изящно
расположенные столбцы красивых цифр, тот почти всегда правильно и быстро
вычисляет. Наоборот, чьи вычисления разбросаны в беспорядке, а сами цифры
поражают своей уродливостью, тот почти всегда путается и вычисляет с
ошибками».
2. ОПРЕДЕЛЕНИЕ ПРЯМОУГОЛЬНЫХ КООРДИНАТ ТОЧЕК
.1 Определение координат одной точки
.1.1 Способы задания прямоугольной системы
координат
Как известно, система прямоугольных координат на
плоскости может задаваться тремя способами:
-й способ
фиксируется местоположение центра системы — т.O,
проводится ось OX и указывается ее положительное
направление,
перпендикулярно к оси OX проводится ось OY,
в соответствии с типом системы (правая или
левая) указывается положительное направление оси OY,
устанавливается масштаб координат вдоль осей.
При наличии координатных осей для определения
координат какой-либо точки C нужно сначала опустить перпендикуляры из этой
точки на координатные оси и затем измерить длину этих перпендикуляров; длина
перпендикуляра к оси OX равна координате Y, длина перпендикуляра к оси OY
координате X точки (рис.2.1).
Рис.2.1
Кроме системы XOY можно использовать систему
X’O’Y’, получающуюся из системы XOY путем переноса начала координат в точку O’
(Xo’=δx
, Yo’= δy) и поворота осей координат по часовой стрелке
на угол α.
Переход из XOY в X’O’Y’ выполняется по формулам
[25]:
(2.1)
Для обратного перехода используются формулы
[25]:
(2.2)
2-й способ
проводятся две взаимно перпендикулярные системы
параллельных линий; расстояния между линиями одинаковые,
считается, что эти линии параллельны осям
координат, и у каждой линии подписывается значение соответствущей координаты
(получается координатная сетка).
-й способ
указываются численные значения координат двух
фиксированных точек.
Первый способ является общепринятым; в геодезии
этим способом задается зональная система прямоугольных координат Гаусса.
На
топографических картах и планах система прямоугольных координат Гаусса задается
вторым способом. На местности
система прямоугольных координат задается третьим способом; всегда можно найти
несколько геодезических пунктов с известными координатами и определять
положение новых точек относительно этих пунктов, выполняя какие-либо измерения.
2.1.2 Три элементарных измерения
На плоскости можно измерять углы и расстояния.
Угол фиксируется тремя точками: одна точка — это
вершина угла, а две другие точки фиксируют направления 1-й и 2-й сторон угла. В
простейшем случае хотя бы одна точка из трех не имеет координат, то-есть,
является определяемой; в общем случае определяемыми могут быть одна точка, две
точки или все три.
Расстояние фиксируется двумя точками, и в общем
случае определяемыми могут быть одна точка или обе.
В данном разделе рассматривается простейший
случай, когда измерение угла или расстояния выполняют для определения координат
одной точки. Поскольку при измерении угла определяемая точка может
располагаться либо в вершине угла, либо на одной из его сторон, то с нашей
точки зрения на плоскости имеют место три разных измерения, которые назовем
элементарными.
Измеряется угол β на
пункте A с известными координатами X4,Y4 между направлением с известным
дирекционным углом αAB и
направлением на определяемую точку P (рис.2.2).
Рис.2.2
Дирекционный угол α направления
AP получается по формуле
(2.3)
Для прямой линии AP, называемой линией положения
точки P, можно написать уравнение в системе XOY [25]:
(2.4)
В этом уравнении X и Y — координаты любой точки
прямой, в том числе и точки P, но для нахождения двух координат точки P одного
такого уравнения недостаточно.
Измеряется расстояние S от пункта A с известными
координатами XA, YA до определяемой точки P. Из курса геометрии известно, что
точка P находится на окружности радиуса S, проведенной вокруг точки A, и
называемой линией положения точки P (рис.2.3). Уравнение окружности имеет вид :
(2.5)
В этом уравнении X и Y — координаты любой точки
окружности, в том числе и точки P, но для нахождения двух координат точки
одного такого уравнения недостаточно.
Рис.2.3
Измеряется угол β на
определяемой точке P между направлениями на два пункта с известными
координатами; это измерение рассматривается в разделе 2.1.8.
Координаты X и Y точки P можно найти из
совместного решения двух уравнений, поэтому, взяв любую комбинацию из трех
измерений по два, получим простейшие способы определения координат точки,
назывемые геодезическими засечками:
два уравнения типа (2.4) — прямая угловая
засечка,
два уравнения типа (2.5) — линейная засечка,
одно уравнение типа (2.4) и одно уравнение типа
(2.5) полярная засечка,
два измерения углов на определяемой точке —
обратная угловая засечка.
Остальные комбинации измерений называются
комбинированными засечками.
Каждое из трех элементарных измерений является
инвариантом по отношению к системам координат, что позволяет решать засечки на
различных чертежах, определяя положение точки P относительно фиксированных
точек A и B графическим способом.
Аналитический способ решения засечек — это
вычисление координат определяемой точки. Оно может быть выполнено через решение
системы двух уравнений, соответствующих выполненным измерениям, или через
решение треугольника, вершинами которого являются два исходных пункта и
определяемая точка (этот способ для краткости назовем способом треугольника).
В любом геодезическом построении принято
выделять три типа данных:
исходные данные (координаты исходных пунктов,
дирекционные углы исходных направлений и т.п.); эти данные часто принимаются
условно безошибочными,
измеряемые элементы; каждый измеренный элемент
обычно сопровождается значением средней квадратической ошибки измерения,
неизвестные (или определяемые) элементы; эти
элементы подлежат нахождению по специально разработанному алгоритму, и их
значения получаются с некоторой ошибкой, зависящей от ошибок измерений и
геометрии данного построения.
.1.3 Полярная засечка
В полярной засечке исходными данными являются
координаты пункта A и дирекционный угол направления AB (или координаты пункта
B), измеряемыми элементами являются горизонтальный угол β
(средняя
квадратическая ошибка измерения угла mβ) и
расстояние S (относительная ошибка его измерения mS / S = 1 / T), неизвестные
элементы — координаты X, Y точки P (рис.2.4).
Исходные данные: XA, YA, αAB
Измеряемые элементы: β
, S
Неизвестные элементы: X , Y
Рис.2.4
Графическое решение. От направления AB отложить
транспортиром угол β и провести
прямую линию AQ, затем вокруг пункта A провести дугу окружности радиусом S в
масштабе чертежа (плана или карты); точка пересечения прямой линии и дуги
является искомой точкой P.
Аналитическое решение. Дирекционный угол α
линии
AР равен:
α= αAB + β .
Запишем уравнения прямой линии AP — формула
(2.4) и окружности радиуса S вокруг пункта A — формула (2.5):
(2.6)
Для нахождения координат X и Y точки P нужно
решить эти два уравнения совместно как систему. Подставим значение (Y — YA) из
первого уравнения во второе и вынесем за скобки (X — XA) 2:
(X — XA)2 * (1 + tg2 α)=
S2 .
Выражение (1 + tg2α)
заменим на 1 / Cos2α и получим:
(X — XA)2 =S2 * Cos2α
,
откуда X — XA = S*
Cosα
.
Подставим это значение в первое уравнение (2.6)
и получим:
Y — YA = S * Sinα .
Разности координат (X — XA) и (Y — YA) принято
называть приращениями и обозначать ΔX и
ΔY.
Таким образом, полярная засечка однозначно
решается по формулам:

.1.4 Прямая геодезическая задача на плоскости
В геодезии есть две стандартные задачи: прямая
геодезичеcкая задача на плоскости и обратная геодезическая задача на плоскости.
Прямая геодезическая задача — это вычисление
координат X2, Y2 второго пункта, если известны координаты X1, Y1 первого
пункта, дирекционный угол α и
длина S линии, соединяющей эти пункты. Прямая геодезическая задача является
частью полярной засечки, и формулы для ее решения берутся из набора формул
(2.7):
(2.8)
.1.5 Обратная геодезическая задача на плоскости
Обратная геодезическая задача — это вычисление
дирекционного угла α и длины S
линии, соединяющей два пункта с известными координатами X1, Y1 и X2, Y2
(рис.2.5).
Рис.2.5
Построим на отрезке 1-2 как на гипотенузе
прямоугольный треугольник с катетами, параллельными осям координат. В этом
треугольнике гипотенуза равна S, катеты равны приращениям координат точек 1 и 2
(ΔX
= X2 — X1, ΔY = Y2 — Y1), а один из острых углов равен
румбу r линии 1-2.
Если Δ X 00
и Δ
Y 00,
то решаем треугольник по известным формулам:
(2.9)
(2.10)
Для данного рисунка направление линии 1-2
находится во второй четверти, поэтому на основании (1.22) находим:
(2.11)
Общий порядок нахождения дирекционного угла
линии 1-2 включает две операции:
определение номера четверти по знакам приращений
координат Δ>X и ΔY
(рис.1.4-а),
вычисление α по
формулам связи (1.22) в соответствии с номером четверти.
Контролем правильности вычислений является
выполнение равенства:
(2.12)
Если ΔX = 0.0,
то S = іΔYі;
и α = 90o 00′
00″ при ΔY > 0 ,
α = 270o 00′ 00″ при
ΔY
< 0 .
Если ΔY = 0.0,
то S = іΔXі
и α = 0o
00′ 00″ при ΔX > 0 ,
α = 180o 00′ 00″ при
ΔX
< 0 .
Для решения обратной задачи в автоматическом
режиме (в программах для ЭВМ) используется другой алгоритм, не содержащий
тангенса угла и исключающий возможное деление на ноль:

если ΔY => 0o , то
α
= a ,
если ΔY < 0o , то
α
= 360o — a .
.1.6 Прямая угловая засечка
Сначала рассмотрим так называемый общий случай
прямой угловой засечки, когда углы β1 и
β2
измеряются
на двух пунктах с известными координатами, каждый от своего направления с
известным дирекционным углом (рис.2.6).
Исходные данные: XA, YA, αAC,
XB, YB, αBD
Измеряемые элементы: β
1 , β2
Неизвестные элементы: X , Y
Если αAC и
αBD
не
заданы явно, нужно решить обратную геодезическую задачу сначала между пунктами
A и C и затем между пунктами B и D .
Графическое решение. От направления AC отложить
с помощью транспортира угол β1 и
провести прямую линию AP; от направления BD отложить угол β2
и
провести прямую линию BP ; точка пересечения этих прямых является искомой
точкой P.
Аналитическое решение. Приведем алгоритм
варианта, соответствующий общему случаю засечки:
вычислить дирекционные углы линий AP и BP
(2.14) ,
(2.15)
написать два уравнения прямых линий
для линии AP Y — YA= tgα1 * (X
— XA),
для линии BP Y — YB= tgα2 * (X
— XB) (2.16)
решить систему двух уравнений и вычислить
неизвестные координаты X и Y:
(2.17) ,
(2.18)
Частным случаем прямой угловой засечки считают
тот случай, когда углы β1 и β2
измерены
от направлений AB и BA, причем угол β1 — правый,
а угол β2
— левый
(в общем случае засечки оба угла — левые) — рис.2.7.
Решение прямой угловой засечки методом
треугольника соответствует частному случаю засечки. Порядок решения при этом
будет такой:
решить обратную задачу между пунктами A и B и
получить дирекционный угол αAB и
длину b линии AB,
вычислить угол γ при
вершине P, называемый углом засечки,
(2.19)
используя теорему синусов для треугольника APB:
(2.20)
вычислить длины сторон AP (S1) и BP (S2) ,
вычислить дирекционные углы α1
и
α2:
(2.21)
решить прямую задачу от пункта A к точке P и для
контроля — от пункта B к точке P. Для вычисления координат X и Y в частном
случае прямой угловой засечки можно использовать формулы Юнга:

От общего случая прямой угловой засечки нетрудно
перейти к частному случаю; для этого нужно сначала решить обратную
геодезическую задачу между пунктами A и B и получить дирекционный угол αAB
линии
AB и затем вычислить углы в треугольнике APB при вершинах A и B
BAP = αAB — (αAC
+ β1) и ABP
= (αBD
+ β2) — αBA .
Для машинного счета все рассмотренные способы
решения прямой угловой засечки по разным причинам неудобны. Один из возможных
алгоритмов решения общего случая засечки на ЭВМ предусматривает следующие
действия:
вычисление дирекционных углов α1
и
α2
,
введение местной системы координат X’O’Y’ с
началом в пункте A и с осью O’X’, направленной вдоль линии AP, и пересчет
координат пунктов A и B и дирекционных углов α1 и
α2
из
системы XOY в систему X’O’Y’ (рис.2.8):
‘A = 0 , Y’A = 0 ,
(2.23) ,
(2.24) ,
запись уравнений линий AP и BP в системе X’O’Y’
:
(2.26)
и совместное решение этих уравнений:
(2.27)
перевод координат X’ и Y’ из системы X’O’Y’ в
систему XOY:
(2.28)
Так как Ctgα2′ = — Ctgγ и
угол засечки γ всегда больше 0о,
то решение (2.27) всегда существует.
.1.7 Линейная засечка
От пункта A с известными координатами XA, YA
измерено расстояние S1 до определяемой точки P, а от пункта B с известными
координатами XB, YB измерено расстояние S2 до точки P .
Графическое решение. Проведем вокруг пункта A
окружность радиусом S1 (в масштабе чертежа), а вокруг пункта B — окружность
радиусом S2; точка пересечения окружностей является искомой точкой; задача
имеет два решения, так как две окружности пересекаются в двух точках (рис.2.9).
Исходные данные: XA, YA, XB, YB,
Измеряемые элементы: S1, S2,
Неизвестные элементы: X, Y.
Аналитическое решение. Рассмотрим два алгоритма
аналитического решения, один — для ручного счета (по способу треугольника) и
один — для машинного счета.
Алгоритм ручного счета состоит из следующих
действий:
решение обратной геодезической задачи между
пунктами A и B и получение дирекционного угла αAB и
длины b линии AB,
вычисление в треугольнике ABP углов β1
и
β2
по
теореме косинусов:
(2.29)
вычисление угла засечки γ
(2.30)
вычисление дирекционных углов сторон AP и BP:
пункт P справа от линии AB
(2.31)
пункт P слева от линии АВ
(2.32)
решение прямых геодезических задач из пункта A
на пункт P и из пункта B на пункт P:
(2.33)
-е решение
(2.34)
Результаты обоих решений должны совпадать.
Алгоритм машинного решения линейной засечки
состоит из следующих действий:
решение обратной геодезической задачи между
пунктами A и B и получение дирекционного угла αAB и
длины b линии AB,
введение местной системы координат X’O’Y’ с
началом в точке A и осью O’X’, направленной вдоль линии AB, и пересчет
координат пунктов A и B из системы XOY в систему X’O’Y’:
(2.35)
запись уравнений окружностей в системе X’O’Y’:
(2.36)
и совместное решение этих уравнений, которое
предусматривает раскрытие скобок во втором уравнении и вычитание второго
уравнения из первого:
(2.37)
(2.38)
(2.39)
Если искомая точка находится слева от линии AB,
то в формуле (2.39) берется знак «-«, если справа, то «+».
пересчет координат X’ и Y’ точки P из системы
X’O’Y’ в систему XOY по формулам (2.2):
.1.8 Обратная угловая засечка
К элементарным измерениям относится и измерение
угла β
на
определяемой точке P между направлениями на два пункта A и B с известными
координатами XA, YA и XB, YB (рис.2.10). Однако, это измерение оказывается
теоретически довольно сложным, поэтому рассмотрим его отдельно.
Проведем окружность через три точки A, B и P. Из
школьного курса геометрии известно, что угол с вершиной на окружности
измеряется половиной дуги, на которую он опирается. Центральный угол,
опирающийся на ту же дугу, измеряется всей дугой, следовательно, он будет равен
2β
(рис.2.10).
Расстояние b между пунктами A и B считается
известным, и из прямоугольного треугольника FCB можно найти радиус R
окружности:
(2.41)
Уравнение окружности имеет вид:
(2.42)
где XC и YC — координаты центра окружности. Их
можно вычислить, решив либо прямую угловую, либо линейную засечку с пунктов A и
B на точку C. В уравнении (2.42) X и Y — координаты любой точки окружности, в
том числе и точки P, но для нахождения двух координат точки P одного такого
уравнения недостаточно.
Обратной угловой засечкой называют способ
определения координат точки P по двум углам β1 и
β2,
измеренным
на определяемой точке P между направлениями на три пункта с известными координатами
A, B, C (рис.2.11).
Графическое решение. Приведем способ Болотова
графического решения обратной угловой засечки. На листе прозрачной бумаги
(кальки) нужно построить углы β1 и
β2
с
общей вершиной P; затем наложить кальку на чертеж и, перемещая ее, добиться,
чтобы направления углов на кальке проходили через пункты A, B, C на чертеже;
переколоть точку P с кальки на чертеж.
Исходные данные: XA, YA, XB,, XC, YC;
Измеряемые элементы: β1,
β2.
Неизвестные элементы: X, Y.
Рис.2.11
Аналитическое решение. Аналитическое решение
обратной угловой засечки предусматривает ее разложение на более простые задачи,
например, на 2 прямых угловых засечки и одну линейную, или на 3 линейных
засечки и т.д. Известно более 10-ти способов аналитического решения, но мы
рассмотрим только один — через последовательное решение трех линейных засечек.
Предположим, что положение точки P известно, и
проведем две окружности: одну радиусом R1 через точки A, B и P и другую
радиусом R2 через точки B, C и P (рис.2.11). Радиусы этих окружностей получим
по формуле (2.41):
(2.43)
Если координаты центров окружностей — точек O1 и
O2 будут известны, то координаты точки P можно определить по формулам линейной
засечки: из точки O1 по расстоянию R1 и из точки O2 — по расстоянию R2.
Координаты центра O1 можно найти по формулам
линейной засечки из точек A и B по расстояниям R1, причем из двух решений нужно
взять то, которое соответствует величине угла β1: если
β1<90o,
то
точка O1 находится справа от линии AB, если β1>90o,
то точка O1 находится слева от линии AB.
Координаты центра O2 находятся по формулам
линейной засечки из точек B и C по расстояниям R2, и одно решение из двух
возможных выбирается по тому же правилу: если β2<90o, то
точка O2 находится справа от линии BC, если β2>90o, то
точка O2 находится слева от линии BC.
Задача не имеет решения, если все четыре точки
A, B, C и P находятся на одной окружности, так как обе окружности сливаются в
одну, и точек их пересечения не существует.
.1.9 Комбинированные засечки
В рассмотренных способах решения засечек
количество измерений принималось теоретически минимальным (два измерения),
обеспечивающим получение результата.
На практике для нахождения координат X и Y одной
точки, как правило, выполняют не два, а три и более измерений расстояний и
углов, причем эти измерения выполняются как на исходных пунктах, так и на
определяемых; такие засечки называются комбинированными. Понятно, что в этом
случае появляется возможность контроля измерений, и, кроме того, повышается
точность решения задачи.
Каждое измерение, вводимое в задачу сверх
теоретически минимального количества, называют избыточным; оно порождает одно
дополнительное решение. Геодезические засечки без избыточных измерений принято
называть однократными, а засечки с избыточными измерениями — многократными.
При наличии избыточных измерений вычисление
неизвестных выполняют методом уравнивания. Алгоритмы строгого уравнивания
многократных засечек применяются при автоматизированном счете на ЭВМ; для
ручного счета используют упрощенные способы уравнивания.
Упрощенный способ уравнивания какой-либо
многократной засечки (n измерений) предусматривает сначала формирование и
решение всех возможных вариантов независимых однократных засечек (их число
равно n-1), а затем — вычисление средних значений координат точки из всех
полученных результатов, если они различаются между собой на допустимую
величину.
.1.10 Ошибка положения точки
В одномерном пространстве (на линии) положение
точки фиксируется значением одной координаты X, и ошибка положения точки Mp
равна средней квадратической ошибке mx этой координаты. Истинное положение
точки может находиться в интервале (X — t * mx) — (X + t * mx), то-есть, в обе
стороны от значения X; на практике коэффициент t обычно задают равным 2.0 или
2.50.
В двумерном пространстве (на поверхности)
положение точки фиксируется значениями двух координат, и ошибка положения точки
должна задаваться двумя величинами: направлением и ошибкой положения по этому
направлению. Геометрическая фигура, внутри которой находится истинное положение
точки, может иметь разную форму; в частном случае, когда ошибка положения точки
по всем направлениям одинакова, получается круг радиуса R = Mp.
Положение точки по двум измерениям получается в
пересечении двух линий положения. Для измеренного расстояния S линией положения
является окружность радиуса S с центром в исходной пункте A (рис.2.12а); для
измеренного угла β с вершиной в
исходном пункте A — прямая линия, проведенная под углом β
к
исходной линии AB (рис.2.12б).
Вследствие ошибок измерений необходимо ввести
понятие «полоса положения». Для расстояния S, измеренного со средней
квадратической ошибкой ms — это круговой пояс (кольцо) шириной 2 * ms между
двумя окружностями радиусами (S — ms) и (S + ms); для угла β,
измеренного
с ошибкой mβ — это узкий
треугольник с вершиной в точке A и углом при вершине 2 * mβ.
Линия
положения точки является осью симметрии полосы положения (рис.2.12).
Рис.2.12. Линия положения и «полоса
положения» точки P:
Введем понятие «вектор ошибки
измерения» и обозначим его через V. Для измеренного расстояния вектор Vs
направлен вдоль линии AP (прямо или обратно) и имеет модуль vs = ms; для
измеренного угла вектор Vβ направлен
перпендикулярно линии AP (влево или вправо от нее) и имеет модуль νβ
= S * mβ / ρ, где S = A * P.
Точка P, находясь на пересечении двух линий
положения, является центром 4-угольника положения, образующегося в пересечении
двух полос положения (рис.2.13).
Рис.2.13. 4-угольник положения: а) в линейной
засечке, б) в прямой угловой засечке,
Этот элементарный 4-угольник можно считать
параллелограммом, так как в пределах него дуги окружностей можно заменить
отрезками касательных, а расходящиеся стороны угла — отрезками прямых,
параллельных линии положения. Расстояния от точки P до границ 4-угольника
неодинаковы, что говорит о различии ошибок положения точки P по разным
направлениям. Линии положения делят 4-угольник положения на 4 равные части
(рис.2.14-а), которые назовем параллелограммами ошибок с углами при вершинах γ
и
(180o
— γ),
где γ(180o
— γ)
— угол между векторами ошибок V1 и V2. Поскольку высоты параллелограммов ошибок
численно равны модулям векторов ν1 и
ν2,
то
стороны параллелограммов получаются по известным формулам (рис.2.14-а):
(2.44)
По известным сторонам параллелограмма ошибок и
углу между ними γ(180o
— γ)
можно вычислить длину обоих его диагоналей: короткой — d1 и длинной — d2:
Таким образом, ошибка положения точки по шести
направлениям (рис.2.14) выражается простыми формулами; для всех остальных
направлений формулы будут более сложные.
Для обобщенной характеристики точности
определения точки P нужно иметь некоторое усредненное значение ошибки положения
точки P, которое можно вычислить:
как радиус круга R, площадь которого (π
* R2)
равна площади параллелограмма положения точки P (4 * a * b *
Sinγ),
(2.45)
как ошибку положения по «наиболее слабому
направлению», совпадающему с направлением длинной диагонали:
(2.46)
как среднее квадратическое из длинной и короткой
диагоналей параллелограмма ошибок:
(2.47)
На практике чаще других применяется третий
вариант, в котором легко получаются формулы для оценки точности любой
однократной засечки:
полярная засечка (рис.2.4):
(2.48)
прямая угловая засечка (рис.2.6, 2.7):

линейная засечка (рис.2.9):

обратная угловая засечка (рис.2.11).
В этой засечке правая часть формулы ошибки
положения точки P должна содержать три слагаемых:
ошибку линейной засечки точки О1 с исходных
пунктов A и B (mO1),
ошибку линейной засечки точки О2 с исходных
пунктов B и C (mO2),
ошибку линейной засечки точки P с точек О1 и О2
(mP),

Угол засечки γ зависит
от взаимного расположения линий BC и BA и углов β1 и
β2;
для
рис.2.11 этот угол вычисляется по формуле:
(2.51)
Для многих случаев практики достаточно считать,
что истинное положение точки P находится внутри круга радиуса MP с центром в
точке P. В строгой теории рассмотренный критерий называется радиальной ошибкой.
Кроме того, в этой теории применяются и более сложные критерии, такие как
«эллипс ошибок» (кривая 2-го порядка), «подера эллипса
ошибок» (кривая 4-го порядка) и др. [22].
При количестве измерений n>2 (многократные
засечки) точка P получается в пересечении n линий положения, соответствующих
уравненным значениям измерений; полосы положения, пересекаясь, образуют 2 *
n-угольник (рис.2.14-б). Наибольшая ошибка положения точки P будет определяться
расстоянием от точки P до самой удаленной от нее вершины этого многоугольника.
Из рисунка 2.14-б понятна роль третьего измерения в уменьшении ошибки положения
точки P; кстати, на этом рисунке второе измерение практически не влияет на
значение ошибки положения точки.
2.2 Определение координат нескольких точек
.2.1 Задача Ганзена
В задаче Ганзена находят координаты двух точек P
и Q по известным координатам двух пунктов A и B и четырем углам, измеренным на
определяемых точках (рис.2.15), то-есть, задача Ганзена является сдвоенной
обратной угловой засечкой.
Исходные данные: XA, YA, XB, YB.
Измеренные элементы: β1,
β2, β3, β4.
Неизвестные элементы: XP, YP, XQ, YQ.
Рис.2.15. Схема задачи Ганзена
Графическое решение. Взять два листа прозрачной
бумаги (кальки) и построить на них углы: на одном листе — углы β1
и
β2,
на
другом листе — углы β3 и β4.
Наложить
на чертеж (план или карту) оба листа и, перемещая их произвольным образом,
совместить направления углов на этих листах с точками А и В на чертеже.
Переколоть точки P и Q на чертеж.
Аналитическое решение. Известно несколько
способов решения задачи Ганзена; приведем краткое изложение одного из них.
Решить обратную задачу между пунктами A и B,
то-есть, вычислить длину b отрезка AB и дирекционный угол αAB
направления
AB.
Ввести условную единицу длины, равную длине l
отрезка PQ; l = 1.000.
Вычислить отрезки S’1 = AP, S’3 = AQ, S’2 = BP,
S’4 = BQ в условных единицах с использованием теоремы синусов сначала для
треугольника PAQ, затем для треугольника PBQ:

Вычислить в условных единицах длину b’ отрезка
AB из треугольника QAB по теореме косинусов:
(2.56)
и для контроля — из треугольника PAB:
(2.57)
Оба значения должны совпасть.
Вычислить масштабный коэффициент k:
= b / b’ (2.58)
и перевести все вычисленные расстояния в
реальные единицы длины:
(2.59)
Вычислить угол φ из
треугольника QAB по теореме косинусов:
(2.60)
Вычислить угол ψ из
треугольника PAB по теореме косинусов:
(2.61)
Вычислить дирекционный угол направления AQ:
(2.62)
и решить прямую геодезическую задачу с пункта A
на точку Q :
(2.63)
Вычислить дирекционный угол направления BP αBP=
αBA — φ и решить прямую геодезическую задачу
с пункта B на точку P:
Расположение исходных пунктов и определяемых
точек может быть таким, что отрезки PQ и AB будут пересекаться (рис.2.16); ход
решения задачи остается таким же, только изменятся обозначения углов и сторон.
Кроме того, доказано, что в этом варианте положение точек P и Q определяется в
несколько раз точнее, чем в общем варианте.
Рис.2.16. Вариант задачи Ганзена
В однократной задаче Ганзена отсутствует
контроль измерений, поэтому на практике четырьмя измерениями углов не
ограничиваются, а выполняют какие-либо дополнительные измерения.
.2.2 Линейно-угловой ход
.2.2.1 Классификация линейно-угловых ходов
Для определения координат нескольких точек можно
применить различные способы; наиболее распространенными из них являются
линейно-угловой ход, система линейно-угловых ходов, триангуляция, трилатерация
и некоторые другие. Линейно-угловой ход представляет собой последовательность
полярных засечек, в которой измеряются горизонтальные углы и расстояния между
соседними точками (рис.2.17).
Рис.2.17. Схема линейно-углового хода
Исходными данными в линейно-угловом ходе
являются координаты XA, YA пункта A и дирекционный угол αBA
линии
BA, который называется начальным исходным дирекционным углом; этот угол может
задаваться неявно через координаты пункта B.
Измеряемые величины — это горизонтальные углы β1,
β2,…, βk-1, βk и расстояния S1,
S2, Sk-1, Sk. Известны также ошибка измерения углов mβ
и
относительная ошибка измерения расстояний mS / S = 1 / T .
Дирекционные углы сторон хода вычисляют
последовательно по известным формулам передачи дирекционного угла через угол
поворота
для левых углов : (2.64)
для правых углов : (2.65)
Для хода на рис.2.17 имеем:
Координаты пунктов хода получают из решения
прямой геодезичекой задачи сначала от пункта A к пункту 2, затем от пункта 2 к
пункту 3 и так далее до конца хода.
Линейно-угловой ход, изображенный на рис.2.17,
применяется очень редко, так как в нем отсутствует контроль измерений; на
практике, как правило, применяются ходы, в которых предусмотрен такой контроль.
По форме и полноте исходных данных
линейно-угловые ходы подразделяются на следующие виды:
разомкнутый ход (рис.2.18): исходные пункты с
известными координатами и исходные дирекционные углы есть в начале и в конце
хода;
Рис.2.18. Схема разомкнутого линейно-углового
хода
Если в начале или в конце хода нет исходного
дирекционного угла, то это будет ход с частичной координатной привязкой; если
исходных дирекционных углов в ходе совсем нет, то это будет ход с полной
координатной привязкой.
замкнутый линейно-угловой ход (рис.2.19) — начальный
и конечный пункты хода совмещены; один пункт хода имеет известные координаты и
называется исходным пунктом; на этом пункте должно быть исходное направление с
известным дирекционным углом, и измеряется примычный угол между этим
направлением и направлением на второй пункт хода.
Рис.2.19. Схема замкнутого линейно-углового хода
висячий линейно-угловой ход (рис.2.17) имеет
исходный пункт с известными координатами и исходный дирекционный угол только в
начале хода.
свободный линейно-угловой ход не имеет исходных
пунктов и исходных дирекционных углов ни в начале, ни в конце хода.
По точности измерения горизонтальных углов и
расстояний линейно-угловые ходы делятся на две большие группы: теодолитные ходы
и полигонометрические ходы.
В теодолитных ходах горизонтальные углы измеряют
с ошибкой не более 30″; относительная ошибка измерения расстояний mS/S
колеблется от 1/1000 до 1/3000.
В полигонометрических ходах горизонтальные углы
измеряют с ошибкой от 0.4″ до 10″, а относительная ошибка измерения
расстояний mS/S бывает от 1/5000 до 1/300 000. По точности измерений
полигонометрические ходы делятся на два разряда и четыре класса (см. раздел
7.1).
.2.2.2 Вычисление координат пунктов разомкнутого
линейно-углового хода
Каждый определяемый пункт линейно-углового хода
имеет две координаты X и Y, которые являются неизвестными и которые нужно
найти. Общее количество пунктов в ходе обозначим через n, тогда количество
неизвестных будет 2 * (n — 2), так как у двух пунктов (исходных начального и
конечного) координаты известны. Для нахождения 2 * (n — 2) неизвестных
достаточно выполнить 2 * (n — 2) измерений.
Подсчитаем, сколько измерений выполняется в
разомкнутом линейно-угловом ходе: на n пунктах измерено n углов — по одному на
каждом пункте, измерены также (n — 1) сторон хода, всего получается (2 * n — 1)
измерений.
Разность между количеством выполненных измерений
и количеством необходимых измерений равна:
(2.65)
то-есть, три измерения являются избыточными: это
угол на предпоследнем пункте хода, угол на последнем пункте хода и последняя
сторона хода. Но тем не менее, эти измерения выполнены, и их необходимо
использовать при вычислении координат пунктов хода.
В геодезических построениях каждое избыточное
измерение порождает какое-либо условие, поэтому количество условий равно
количеству избыточных измерений; в разомкнутом линейно-угловом ходе должны
выполняться три условия: условие дирекционных углов и два координатных условия.
Условие дирекционных углов. Вычислим
последовательно дирекционные углы всех сторон хода, используя формулу передачи
дирекционного угла на последующую сторону хода:

Сложим эти равенства и получим:
откуда
и (2.67)
Это — математическая запись первого
геометрического условия в разомкнутом линейно-угловом ходе. Для правых углов
поворота оно запишется так:
(2.68)
Сумма углов, подсчитанная по формулам (2.67) и
(2.68), называется теоретической суммой углов хода. Сумма измеренных углов
вследствие ошибок измерений, как правило, отличается от теоретической суммы на
некоторую величину, называемую угловой невязкой и обозначаемую fβ:
(2.69)
Допустимое значение угловой невязки можно
рассматривать как предельную ошибку суммы измеренных углов:
(2.70)
Используем известную формулу из теории ошибок
для нахождения средней квадратической ошибки функции в виде суммы аргументов
(раздел 1.11.2):
(2.71)
При
получим
или (2.72)
После подстановки (2.72) в (2.70) получаем:
(2.73)
Для теодолитных ходов mβ
= 30″,
поэтому:
(2.74)
Одним из этапов уравнивания является введение
поправок в измеренные величины с целью приведения их в соответствие с
геометрическими условиями. Обозначим поправку в измеренный угол Vβ
и
запишем условие:
откуда следует, что:
(2.75)
то-есть, поправки в углы следует выбрать так,
чтобы их сумма была равна угловой невязке с противоположным знаком. В уравнении
(2.75) n неизвестных, и для его решения необходимо наложить на поправки Vβ
(n-1) дополнительных
условий; наиболее простым вариантом таких условий будет:
(2.76)
то-есть, все поправки в измеренные углы
одинаковы. В этом случае решение уравнения (2.75) получается в виде:
(2.77)
это означает, что угловая невязка fβ
распределяется
с обратным знаком поровну во все измеренные углы. Исправленные значения углов
вычисляются по формуле:
(2.78)
По исправленным углам поворота вычисляют
дирекционные углы всех сторон хода; совпадение вычисленного и заданного
значений конечного исходного дирекционного угла является контролем прави
льности обработки угловых измерений.
Координатные условия. Решая последовательно
прямую геодезическую задачу, вычислим приращения координат по каждой стороне
хода ΔXi
и
ΔYi.
Координаты
пунктов хода получим по формулам :

Сложим эти равенства и получим для приращений ΔXi:
После приведения подобных имеем:
(2.80)
Аналогичная формула для суммы приращений ΔY
имеет
вид:
(2.81)
Получились еще два условия (2.80) и (2.81),
которые называются координатными. Суммы приращений координат, подсчитанные по
этим формулам, называются теоретическими суммами приращений. Вследствие ошибок
измерения сторон и упрощенного способа распределения угловой невязки суммы
вычисленных приращений координат в общем случае не будут равны теоретическим
суммам; возникают так называемые координатные невязки хода:

по которым вычисляют абсолютную невязку хода:
(2.83)
и затем относительную невязку хода:
(2.84)
Уравнивание приращений ΔX
и
ΔY
выполняют
следующим образом.
Сначала записывают суммы исправленных
приращений:
и приравнивают их теоретическим суммам:
откуда следует, что:

В этих уравнениях по (n — 1) неизвестных и для
их решения необходимо наложить на поправки VX и VY дополнительные условия. На
практике поправки в приращения координат вычисляют по формулам:

которые соответствуют условию «поправки в
приращения координат пропорциональны длинам сторон».
Рассмотренный способ обработки измерений в
линейно-угловом ходе можно назвать способом последовательного распределения
невязок; строгое уравнивание линейно-углового хода выполняется по методу
наименьших квадратов.
После уравнивания одиночного линейно-углового
хода ошибки положения его пунктов неодинаковы; они возрастают от начала и конца
хода к его середине, и наибольшую ошибку положения имеет пункт в середине хода.
В случае приближенного уравнивания эта ошибка оценивается половиной абсолютной
невязки хода fs. При строгом уравнивании хода производится сплошная оценка
точности, то-есть вычисляются ошибки положения каждого пункта хода, ошибки
дирекционных углов всех сторон хода, а также ошибки уравненных значений углов и
сторон хода.
2.2.2.3 Вычисление координат пунктов замкнутого
линейно-углового хода
Вычисление координат пунктов в замкнутом
линейно-угловом ходе выполняется в том же порядке, что и в разомкнутом ходе;
отличие состоит в вычислении теоретических сумм углов и приращений координат.
Если в замкнутом ходе измерялись внутренние углы, то ;
если внешние, то
(2.92)

.2.2.4 Привязка линейно-угловых ходов
Под привязкой разомкнутого линейно-углового хода
понимают включение в ход двух пунктов с известными координатами (это начальный
и конечный исходные пункты хода) и измерение на этих пунктах углов между
направлением с известным дирекционным углом (αнач
и αкон)
и первой (последней) стороной хода; эти углы называются примычными. Как уже
отмечалось ранее, если на начальном или (и) конечном пункте хода примычный угол
не измеряется, то имеет место частичная (полная) координатная привязка хода.
Привязка замкнутого линейно-углового хода — это
включение в ход одного пункта с известными координатами и измерение на этом
пункте примычного угла, то-есть, угла между направлением с известным
дирекционным углом и первой стороной хода.
Кроме этих стандартных ситуаций встречаются
случаи, когда линейно-угловой ход начинается или заканчивается на пункте с
неизвестными координатами. В таких случаях возникает дополнительно задача
определения координат этого пункта.
Самый простой способ определения координат
одного пункта — геодезические засечки; если вблизи определяемого пункта есть
несколько известных пунктов, то, выполнив k угловых и (или) линейных измерений
(k>2), можно вычислить искомые координаты по стандартным алгоритмам. Если
такой возможности нет, то возникают особые случаи привязки; рассмотрим
некоторые из них.
Снесение координат с вершины знака на землю. На
рис.2.20: P — определяемый пункт, T1, T2, T3 — пункты с известными
координатами, которые можно использовать лишь в качестве визирных целей. С
пункта P можно измерить только два угла по программе обратной угловой засечки,
что недостаточно; кроме того, при малом расстоянии между пунктами P и T1, угол
засечки очень маленький и точность засечки невысокая. Закладывают два временных
пункта A1 и A2 и измеряют расстояния b1 и b2 и углы β1,
β2, β3, β4, β5, β6.
Таким образом, общее число измерений равно 8, а
количество неизвестных — 6 (координаты трех пунктов). Обработку этого
геодезического построения необходимо выполнять уравниванием по МНК;
приближенное решение можно получить по конечным
формулам, приведенным ниже:
вычисление расстояния s (s = T1P) два раза: из
треугольников PA1T1 и PA2T2 и затем среднего из двух:
решение обратной геодезической задачи между
пунктами T1 и T2 (вычисление α12, L1) и
T1 и T3 (вычисление α13, L2),
вычисление углов μ1
и μ2
из
треугольников PT2T1 и PT3T1:
;
вычисление углов λ1 и
λ2
из
треугольников PT2T1 и PT3T1:
вычисление дирекционного угла линии T1P:
решение прямой геодезической задачи из пункта T
на пункт P:
Привязка линейно-углового хода к стенным маркам.
Стенные марки закладываются в цокольный этаж или в стену капитального здания;
конструкции их бывают различными и одна из них показана на рис.7.1-г (раздел
7.2). Закладка стенных марок и определение их координат выполняется при
создании геодезических сетей на территории населенных пунктов и промышленных
предприятий; в дальнейшем эти марки играют роль опорных пунктов в последующих
геодезических построениях.
Привязка линейно-углового хода может быть
выполнена к двум, трем или более стенным маркам.
Схема привязки хода к двум маркам A и B показана
на рис.2.21.
На линии AB с помощью рулетки измеряется отрезок
S, и координаты точки P находятся из решения прямой геодезической задачи по
формулам:
где α — дирекционный
угол направления AB.
Схема привязки к трем маркам A, B, C показана на
рис.2.22. С помощью рулетки измеряются расстояния S1, S2, S3 и решается многократная
линейная засечка; для большей надежности можно измерить углы β1
и
β2
и
решить комбинированную засечку.
В качестве примычного направления с известным
дирекционным углом можно использовать либо направление на одну из стенных
марок, либо направление на какой-нибудь другой пункт с известными координатами.
Кроме метода засечек при привязке ходов к
стенным маркам применяют также полярный метод и метод редуцирования. В [28] на
стр. 195 — 201 приведено подробное описание этих методов, а так же даны числовые
примеры.
.2.2.5 Понятие о системе линейно-угловых ходов
Совокупность линейно-угловых ходов, имеющих
общие точки, называют системой ходов; узловой точкой называется точка, в
которой сходятся не менее трех ходов. Как и для отдельного линейно — углового хода,
для системы ходов применяют строгую и упрощенную обработку измерений;
упрощенную обработку рассмотрим на примере системы из трех линейно-угловых
ходов с одной узловой точкой (рис.2.23). Каждый ход опирается на исходный пункт
с известными координатами; на каждом исходном пункте имеется направление с
известным дирекционным углом.
Рис.2.23. Система линейно-угловых ходов с одной
узловой точкой.
Одну сторону какого-либо хода, проходящую через
узловую точку, принимают за узловое направление (например, сторону 4 — 7) и
вычисляют ее дирекционный угол по каждому ходу в отдельности, начиная от
начального дирекционного угла в ходе. Получают три значения дирекционного угла
узлового направления:
α1 — из первого хода,
α2 — из второго хода,
α3 — из третьего хода,
и вычисляют средневесовое значение из трех,
причем за вес отдельного значения принимают число 1 / ni, где ni — количество
углов в ходе от исходного направления до узлового направления (на рис.2.20 n1 =
4, n2 = 3, n3 = 5):
(2.94)
Считая узловое направление исходным, то-есть,
имеющим известный дирекционный угол, вычисляют угловые невязки в каждом ходе по
отдельности и вводят поправки в измеренные углы. По исправленным углам
вычисляют дирекционные углы всех сторон каждого хода и затем — приращения
координат по всем сторонам ходов.
По приращениям координат вычисляют координаты
узловой точки по каждому ходу в отдельности и получают три значения координаты
X и три значения координаты Y узловой точки.
Средне-весовые значения координат подсчитывают
по формулам:


Считая узловую точку исходным пунктом с
известными координатами, вычисляют координатные невязки для каждого хода в
отдельности и вводят поправки в приращения координат по сторонам ходов. По
исправленным приращениям координат вычисляют координаты пунктов всех ходов.
Если сказать кратко, то упрощенная обработка
системы линейно — угловых ходов с одной узловой точкой состоит из двух этапов:
получение дирекционного угла узлового направления и координат узловой точки и обработка
каждого хода в отдельности.
.3 Понятие о триангуляции
Триангуляция представляет собой группу
примыкающих один к другому треугольников, в которых измеряют все три угла; два
или более пунктов имеют известные координаты, координаты остальных пунктов
подлежат определению. Группа треугольников образует либо сплошную сеть, либо
цепочку треугольников.
Координаты пунктов триангуляции как правило
вычисляют на ЭВМ по программам, реализующим алгоритмы строгого уравнивания по
МНК. На стадии предварительной обработки триангуляции последовательно решают
треугольники один за другим. В нашем курсе геодезии мы рассмотрим решение лишь
одного треугольника.
В первом треугольнике ABP (рис.2.24) известны
координаты двух вершин (A и B) и его решение выполняют в следующем порядке:
Рис.2.24. Единичный треугольник триангуляции
Вычисляют сумму измеренных углов ,
Принимая во внимание, что в треугольнике Σβ
= 180о,
вычисляют угловую невязку:
Это уравнение содержит три неизвестных поправки β
и
решить его можно лишь при наличии двух дополнительных условий.
Эти условия имеют вид:
откуда следует, что
Вычисляют исправленные значения углов:
Решают обратную задачу между пунктами A и B
вычисляют дирекционный угол αAB и
длину S3 стороны AB.
По теореме синусов находят длины сторон AP и BP:
Вычисляют дирекционные углы сторон AP и BP:
Решают прямую геодезическую задачу из пункта A
на пункт P и для контроля — из пункта B на пункт P; при этом оба решения должны
совпасть.
В сплошных сетях триангуляции кроме углов в
треугольниках измеряют длины отдельных сторон треугольников и дирекционные углы
некоторых направлений; эти измерения выполняются с большей точностью и играют
роль дополнительных исходных данных. При уравнивании сплошных сетей
триангуляции в них могут возникнуть следующие условия:
условия фигуры,
условия суммы углов,
условия горизонта,
полюсные условия,
базисные условия,
условия дирекционных углов,
координатные условия.
Формула для подсчета количества условий в
произвольной сети триангуляции имеет вид:
где n — общее количество измеренных углов в
треугольниках,- число пунктов в сети,- количество избыточных исходных данных.
.4 Понятие о трилатерации
Трилатерация представляет собой сплошную сеть
примыкающих один к другому треугольников, в которых измеряют длины всех сторон;
два пункта, как минимум, должны иметь известные координаты (рис.2.25).
Решение первого треугольника трилатерации, в
котором известны координаты двух пунктов и измерены две стороны, можно
выполнить по формулам линейной засечки, причем нужно указывать справа или слева
от опорной линии AB располагается пункт 1. Во втором треугольнике также
оказываются известными координаты двух пунктов и длины двух сторон; его решение
тоже выполняется по формулам линейной засечки и так далее.
Рис.2.25. Схема сплошной сети трилатерации
Можно поступить и по-другому: сначала вычислить
углы первого треугольника по теореме косинусов, затем, используя эти углы и
дирекционный угол стороны AB, вычислить дирекционные углы сторон A1 и B1 и
решить прямую геодезическую задачу от пункта A на пункт 1 и от пункта B на
пункт 1.
Таким образом, в каждом отдельном треугольнике
«чистой» трилатерации нет избыточных измерений и нет возможности
выполнить контроль измерений, уравнивание и оценку точности; на практике кроме
сторон треугольников приходится измерять некоторые дополнительные элементы и
строить сеть так, чтобы в ней возникали геометрические условия.
Уравнивание сплошных сетей трилатерации
выполняется на ЭВМ по программам, в которых реализованы алгоритмы МНК.
.5 Понятие об автономном определении координат
точек
Последним крупным достижением в области геодезии
является так называемое автономное определение координат точек, расположенных
на и вблизи земной поверхности. Слово «автономный» означает, что при
производстве наблюдений на определяемом пункте не требуется прямой видимости на
соседние пункты.
Автономное определение координат точек
выполняется с помощью спутниковых навигационных систем (СНС). В настоящее время
функционируют навигационные системы 1-го поколения ЦИКАДА (Россия) и TRANSIT
(США) и системы 2-го поколения ГЛОНАСС (Россия) и NAVSTAR (США). Система
NAVSTAR имеет и другое название — GPS (Global Positioning System); спутники СНС
NAVSTAR (числом около 20) вращаются вокруг Земли по круговым орбитам на высоте
около 20000 км. Наземный командно-измерительный комплекс этой системы включает
координационно-вычислительный центр, командно-измерительную станцию, несколько
станций слежения (Аляска, Калифорния, Гавайские острова и остров Гуам) и
станции закладки служебной информации (в штатах Северная Дакота и Калифорния).
При использовании российских навигационных
систем координаты определяемых пунктов получаются в системе координат 1942 года
(СНС ЦИКАДА) или в системе СГС-90 (СНС ГЛОНАСС), при использовании американских
систем — в системе координат WGS-84.
В спутниковых навигационных системах 1-го
поколения для определения местоположения используется эффект сдвига частот
радиоизлучения движущегося источника (эффект Доплера). Одно наблюдение спутника
позволяет написать уравнение одной линии положения, имеющей форму либо
гиперболы (доплеровский дифференциальный метод) либо более сложной кривой
изодопы (доплеровский интегральный метод) [21]. При n наблюдениях положение
наблюдателя получается в одной из точек пересечения n соответствующих гипербол
или изодоп.
В период с 1987 по 1993 год для общего повышения
точности и однородности государственной геодезической сети СССР создана
доплеровская геодезическая сеть из 136 пунктов, равномерно расположенных по
всей территории.
В спутниковых навигационных системах 2-го
поколения измеряются «дальности», то-есть, расстояния от определяемой
точки до спутников, координаты которых известны на любой момент времени.
Геометрическая идея такого определения заключается в нахождении положения точки
из линейной пространственной засечки; положение точки фиксируется либо тремя
прямоугольными координатами X, Y, Z либо геодезическими координатами на
эллипсоиде (широтой B и долготой L) и высотой H над поверхностью эллипсоида.
Поскольку при обработке наблюдений спутников
приходится учитывать параметр «время», то для однозначного решения
засечки требуется наблюдать 4 спутника, расположенных равномерно по азимуту
(через 90o) и под углом наклона = 40o — 60o к
горизонту (рис.2.26).
В отличие от относительно простой геометрической
идеи техническое решение задачи оказалось очень сложным; оно использует
новейшие достижения как теории спутниковой геодезии и радиоэлектроники, так и
геодезического и электронного приборостроения.
Существуют абсолютный и относительный способы
определения координат с помощью СНС; при абсолютном способе получают координаты
пункта установки антенны в принятой системе координат; при относительном
способе комплект аппаратуры распределяется на два пункта, один из которых имеет
известные координаты, и из наблюдений определяют приращения координат между
этими пунктами.
Точность получаемых величин зависит от способа
определения координат, от типа аппаратуры и от характера кода сигналов спутника
(таблица 2.1).
Таблица 2.1
|
Тип |
Абсолютный |
Относительный |
|
|
С/A |
Р |
||
|
Навигационный |
30..100 |
1..30 |
— |
|
Топографический |
» |
» |
0.1..5.0 |
|
Геодезический |
» |
» |
(5..10) |
координаты картографический
геодезический топографический
Области применения СНС для целей геодезии:
построение общеземной фундаментальной
геоцентрической системы координат и поддержание ее на уровне севременных и
перспективных требований науки и практики,
установление единой геодезической системы координат
на территории страны,
изучение деформаций земной поверхности,
предваряющих и сопровождающих землетрясения и другие опасные природные явления,
изучение фигуры и гравитационного поля Земли и
их изменений во времени,
геодезическое обеспечение проведения земельной
реформы, кадастров, строительства, добычи и разведки природных ресурсов,
метрологическое обеспечение средств и методов
определения координат и ориентирования в пространстве.
определение местоположения транспортных средств
на суше, на воде и в воздухе.
Согласно [20] за период с 1998 по 2005 год
предусматривается создать «новую эффективную государственную систему
геодезического обеспечения России, основанную на применении спутниковых и
космических средств и технологий, позволяющих повысить точность, оперативность
и экономическую эффективность решения геодезических задач».
3. КОНСТРУКТИВНЫЕ ЭЛЕМЕНТЫ ГЕОДЕЗИЧЕСКИХ
ИЗМЕРИТЕЛЬНЫХ ПРИБОРОВ
.1 Отсчетные приспособления
Измерить какую-либо величину — значит сравнить
ее с другой однородной величиной, принятой за единицу измерения.
Приспособление, несущее единицу измерения, называется рабочей мерой.
Обыкновенная линейка с делениями сантиметров и миллиметров, транспортир с
делениями градусов — это примеры рабочих мер.
Шкала рабочей меры как правило равномерна; она
может располагаться по прямой линии, по дуге окружности или по какой-либо
другой кривой.
Отсчитывание по шкале рабочей меры производят по
отсчетному индексу (начало и конец отрезка линии, сторона угла, штрих
логарифмической линейки, стрелка весов и т.п.). В общем случае отсчетный индекс
(на рис.3.1. — О.И.) устанавливается между двумя штрихами шкалы; один из них
называют младшим штрихом (мл.), другой — старшим (ст.).
Отсчет N по шкале равен сумме двух величин:
= Nмл + x, (3.1)
где Nмл — значение младшего штриха шкалы, Nмл =
55,- доля цены деления шкалы от младшего штриха до отсчетного индекса, x = 0,6.
Величину x можно получать разными способами,
простейший из них — оценивание на глаз. Другой способ предполагает наличие
специального отсчетного приспособления, назначение которого — измерять величину
x с той или иной точностью. Известны следующие отсчетные приспособления: в
машиностроении — нониус (верньер), микрометр, микроскоп-микрометр, в оптическом
приборостроении, штриховой и шкаловой микроскопы, оптический микрометр и т.д.
Верньер — одно из простейших отсчетных
приспособлений. Его строят следующим образом: отрезок в n делений шкалы рабочей
меры (основной шкалы) переносят на прилегающую поверхность и делят его там на
(n + 1) равных частей, получая шкалу верньера (рис.3.2). Обозначим через λ
цену
деления основной шкалы и через μ — цену
деления верньера; точностью верньера t называют разность
t = λ — μ. (3.2)
По построению λ * n =
μ * (n + 1), поэтому
Подставив это выражение в формулу (3.2), получим
(3.3)
то-есть, точность верньера равна цене деления
основной шкалы, деленной на число делений верньера.
В практике очень часто встречается верньер на
одну десятую, когда n = 9; точность такого верньера равна одной десятой деления
основной шкалы.
Роль отсчетного индекса в верньере выполняет его
нулевой штрих. Если он совмещен с каким-либо штрихом основной шкалы, то отсчет
по основной шкале равен значению этого штриха. Все остальные штрихи верньера не
совпадают со штрихами основной шкалы; первый штрих верньера отстоит от
ближайшего штриха основной шкалы на величину λ — μ
= t, второй
штрих верньера отстоит от ближайшего штриха основной шкалы на 2*t, третий — на
3*t и т.д. Если сейчас сместить верньер относительно основной шкалы на величину
t, то со штрихом основной шкалы совпадет 1-й штрих верньера; если сместить
верньер на 2*t, то со штрихом основной шкалы совпадет 2-й штрих верньера и т.д.
Если сместить верньер на величину k*t, то со штрихом основной шкалы совпадет
k-й штрих верньера, поэтому формула отсчета N по верньеру имеет вид (рис.3.3)
= Nмл + k*t, (3.4)
где: Nмл — отсчет по младшему штриху основной
шкалы,- номер штриха верньера, совпавшего со штрихом основной шкалы,- точность
верньера.
Чтобы не умножать на t, верньер подписывают в
единицах основной шкалы. Например, для угловой шкалы при t = 30″ подпись
первого штриха 30″, подпись второго штриха 1′ и т.д. Наблюдатель считывает
с основной шкалы значение младшего штриха Nмл, находит на шкале верньера штрих,
совпавший со штрихом лимба, и считывает его значение k*t; складываются эти два
отсчета в уме.
Оптические отсчетные приспобления рассмотрим на
примере угловой шкалы, расположенной на окружности; такая шкала называется
угломерным кругом или лимбом. Ценой деления лимба λ
называют
центральный угол, стягиваемый дугой в одно деление; в практике встречаются
лимбы с ценой деления 1o, 20′, 10′, 5′. Диаметр лимбов бывает от 72 мм до 270
мм. Роль отсчетного индекса при отсчете по лимбу могут выполнять одиночный
штрих, двойной штрих (биссектор), нулевой штрих шкалы отсчетного
приспособления, штрих основной шкалы (шкалы лимба).
Штриховой микроскоп. Отсчетным индексом в
штриховом микроскопе является неподвижный штрих, выгравированный на стеклянной
пластинке, помещенной на пути хода лучей, идущих от осветительного окошка через
штрихи лимба в отсчетный микроскоп. Оценка доли деления лимба выполняется на
глаз. Из опыта установлено, что при отсчитывании на глаз наибольшая точность
достигается при видимом расстоянии между штрихами 2.00 мм и толщине штрихов
0.10 мм; при таких условиях ошибка отсчета составляет 0.1 деления.
Рассчитаем, с какой точностью можно взять на
глаз отсчет по лимбу диаметром d=100 мм и разделенному на 360 частей: цена
одного деления равна 1o. Периметр кольца делений равен π*d=314
мм;
длина дуги в 1o l = 314 мм/360 = 0.9 мм. Если бы длина деления была равна 2 мм,
то ошибка 0.1 деления соответствовала бы ошибке отсчитывания по шкале лимба 6′;
при длине деления 0.9 мм ошибка отсчитывания будет примерно в 2 раза больше.
Такой точности для измерения углов недостаточно, поэтому поступают следующим
образом: делят градус на более мелкие деления и рассматривают их через
микроскоп. Например, при диаметре лимба 72 мм и количестве делений на нем 2160
одно деление лимба равно 10′; увеличение микроскопа равно 18x, следовательно,
видимая длина одного деления равна l = π*72*18 мм/2160
= 1.93 мм, и ошибка отсчитывания по лимбу будет 1′.
В поле зрения окуляра штрихового микроскопа
видны деления лимба и отсчетный индекс — штрих; отсчет по горизонтальному кругу
(Г) равен 69o47′, по вертикальному (В) — 358o150′ (рис.3.4).
Шкаловой микроскоп. На пути хода лучей от
осветительного окошка через штрихи лимба в поле зрения микроскопа помещена
стеклянная пластинка с гравированной шкалой. Длина шкалы равна длине одного
деления лимба λ; шкала разделена на
n равных частей, цена одного деления шкалы шкалового микроскопа обозначается
буквой μ
и
равна
μ = λ / n .
Отсчетным индексом является нулевой штрих шкалы
шкалового микроскопа. Доля деления лимба от младшего штриха шкалы лимба до
отсчетного индекса измеряется непосредственно по шкале микроскопа, так как
направления возрастания делений на лимбе и на шкале микроскопа противоположные
(рис.3.5). Доля деления шкалы микроскопа оценивается на глаз. Полный отсчет по
лимбу равен сумме отсчетов по младшему штриху лимба Nмл и по шкале микроскопа
Nш:
= Nмл + Nш. (3.5)
На рис.3.5 отсчет по лимбу (λ=1o,
n=60, μ=1′) равен N = 20o + 54.3′ = 20o 54.3′.
При отсчете по шкале оптического отсчетного приспособления может появиться
ошибка, причиной которой является рен. Рен — это разность между номинальным n и
фактическим n’ количеством делений шкалы отсчетного устройства, укладывающихся
в одном делении (или полуделении) лимба; рен отсчетного устройства обозначается
буквой r.
Если совместить нулевой штрих шкалы шкалового
микроскопа с каким-либо штрихом шкалы лимба, то n-й штрих шкалы должен точно
совпасть с соседним штрихом лимба (рис.3.6-а). Но из-за мелких погрешностей при
сборке и юстировке оптической системы прибора этого может и не быть
(рис.3.6-б). Значение рена просто считывается по положению штриха лимба; на
рис.3.6-б r = 1.5′; для удобства определения рена за пределами шкалы обычно
имеются по два дополнительных деления. При заметном несовпадении n-ного штриха
со штрихом лимба (r > 0.1 деления шкалы микроскопа) прибор полагается сдать
в мастерскую.
С конструкцией и принципом действия остальных
отсчетных приспособлений можно ознакомиться в специальной литературе.
.2 Зрительные трубы
При многих геодезических измерениях приходится
наблюдать далекие предметы или рассматривать очень мелкие деления. Разрешающая
способность человеческого глаза ограничена; критический угол зрения у человека
в среднем равен 60″ (у разных людей он колеблется от 40″ до
120″). Критическим углом называют предельный угол зрения, при котором две
точки начинают сливаться в одну. Для увеличения угла зрения, когда он меньше
критического значения, применяют различные оптические приспособления, одним из
которых является зрительная труба.
Зрительные трубы бывают астрономическими и
земными. Астрономические трубы дают обратное, то-есть, перевернутое изображение
предметов; земные трубы дают прямое изображение. В геодезических приборах чаще
применяют астрономические трубы, так как они имеют более простое устройство и в
них меньше потери света. По конструкции зрительные трубы бывают прямые и
ломаные.
Основными деталями зрительных труб являются
линзы — стеклянные пластинки различной формы; линзы бывают собирательные и
рассеивающие. Все собирательные линзы выпуклые: двояковыпуклые, плосковыпуклые,
вогнутовыпуклые; все рассеивающие линзы вогнутые: двояковогнутые,
плосковогнутые, выпукловогнутые. Линза имеет оптический центр; лучи, проходящие
через него, не изменяют своего направления; все остальные лучи, проходя через
линзу, испытывают преломление и изменяют свое первоначальное направление.
Линия, соединяющая центры сферических
поверхностей линзы, называется главной оптической осью линзы. По обе стороны от
оптического центра на главной оптической оси есть точки, называемые главными
фокусами линзы: передний фокус F и задний фокус F1. Расстояние от оптического
центра до фокуса называется фокусным расстоянием. Если поместить в главный
фокус точечный источник света, то лучи, пройдя через линзу, выйдут из нее
пучком, параллельным главной оптической оси. И наоборот, пучок света,
параллельный главной оптической оси, пройдя через линзу, собирается в точке
главного фокуса. Плоскость, перпендикулярная главной оптической оси и
проходящая через точку фокуса, называется фокальной плоскостью линзы.
Для построения изображения предметов в линзе
обычно используют три луча:
луч, проходящий через оптический центр линзы,
луч, идущий параллельно главной оптической оси,
луч, проходящий через передний фокус линзы.
Изображение считается действительным, если оно
получается на пересечении лучей в прямом направлении; изображение считается
мнимым, если оно получается на пересечении лучей в обратном направлении.
Для всякой линзы справедлива формула:
(3.6)
где: a — расстояние от оптического центра до
предмета,- расстояние от оптического центра до изображения предмета в линзе,-
фокусное расстояние линзы.
При действительном изображении предмета в
формуле нужно ставить знак «плюс», при мнимом — «минус».
Ход лучей в трубе Кеплера. Астрономическая труба
Кеплера является простейшей зрительной трубой; она состоит из двух
собирательных линз — объектива и окуляра, имеющих общую главную оптическую ось,
и корпуса; объектив трубы Кеплера — длиннофокусный, а окуляр — короткофокусный.
При этом изображение, даваемое объективом, должно располагаться между передним
фокусом окуляра и его оптическим центром;
Построим в трубе Кеплера изображение отрезка BC,
то-есть, нарисуем ход лучей от точек B и C, используя два из трех перечисленных
выше лучей (рис.3.7).
Объектив дает действительное обратное
уменьшенное изображение предмета — отрезок bc. Изображение, даваемое окуляром,
— мнимое, обратное, увеличенное — отрезок b’c’. Сам окуляр дает прямое
изображение, но поскольку оно уже было обратным, то обратным и остается.
Под увеличением трубы понимают отношение угла
зрения, под которым изображение предмета видно в трубе, к углу зрения, под
которым предмет виден невооруженным глазом, то-есть, без трубы. Обозначим
первый угол через α, а второй —
через β
и
напишем формулу увеличения трубы
V =α / β . (3.7)
Из треугольника DF’1O2 имеем:
(3.8)
а из треугольника MO1F:
(3.9)
Углы α и
β
обычно
малые, так как расстояние до предмета несравнимо больше размеров трубы, поэтому
вместо тангенсов этих углов можно взять их значения в радианной мере:
tg(α/2) = α/2 и
tg(β/2)
= β/2 ,
откуда следует, что отношение углов α
и
β
равно
отношению тангенсов их половинных значений:
Подставим в эту формулу выражения тангенсов
углов из (3.8) и (3.9) и получим:
(3.10)
Увеличение трубы Кеплера равно отношению
фокусного расстояния объектива к фокусному расстоянию окуляра.
Высокоточные геодезические приборы имеют сменные
окуляры с разными фокусными расстояниями, и смена окуляра позволяет изменять
увеличение трубы в зависимости от условий наблюдений.
Определение увеличения зрительной трубы с
помощью рейки. Если навести трубу на близкостоящую рейку, то можно сосчитать,
сколько делений рейки N, видимой невооруженным глазом, соответствуют n делениям
рейки, видимой в трубу. Для этого нужно смотреть поочередно в трубу и на рейку,
проектируя деления рейки из поля зрения трубы на рейку, видимую невооруженным
глазом.
Обозначим через γ угол,
под которым видны n делений в трубу и N делений без трубы (рис.3.8). Тогда одно
деление рейки видно в трубу под углом:
α = γ / n,
а без трубы — под углом:
β = γ / N.
Отсюда: V = N / n .
Этот способ определения увеличения трубы
называется способом Галилея.
Увеличение трубы можно приближенно вычислить по
формуле:
= D / d, (3.11)
где
D — входной диаметр объектива;- диаметр выходного отверcтия трубы (но не
диаметр окуляра).
Поле
зрения трубы. Полем зрения трубы называют участок пространства, видимый в трубу
при неподвижном ее положении. Поле зрения измеряют углом ε, вершина
которого лежит в оптическом центре объектива, а стороны касаются краев
отверстия диафрагмы (рис.3.9). Диафрагма диаметром d1 устанавливается внутри
трубы в фокальной плоскости объектива.Из рисунка 3.11 видно, что:
откуда
Обычно
в геодезических приборах принимают d1 = 0.7 * fок, тогда в радианной мере:
ε
= 0.7 / V.
Если
ε
выразить
в градусах, то:
ε
= 40o / V .
(3.12)
Чем
больше увеличение трубы, тем меньше ее угол зрения. Так, например, при V = 20x ε = 2o, а при V =
80x ε
= 0.5o.
Разрешающая
способность трубы оценивается по формуле:
(3.13)
Например,
при V = 20x ψ
= 3″; под
таким углом виден предмет размером 5 см на расстоянии 3.3 км; человеческий глаз
может видеть этот предмет на расстоянии всего 170 м.
Сетка
нитей. Правильным наведением зрительной трубы на предмет считается такое, когда
изображение предмета находится точно в центре поля зрения трубы. Чтобы
исключить субъективный фактор при нахождении центра поля зрения, его обозначают
сеткой нитей. Сетка нитей — это в простейшем случае два взаимно
перпендикулярных штриха, нанесенных на стеклянную пластинку, которая крепится к
диафрагме трубы. Сетка нитей бывает разных видов; на рис.3.10 показаны
некоторые из них.
Сетка
нитей имеет исправительные винты: два боковых (горизонтальных) и два
вертикальных. Линия, соединяющая центр сетки нитей и оптический центр объектива,
называется визирной линией или визирной осью трубы.
Установка
трубы по глазу и по предмету. При наведении трубы на предмет нужно одновременно
четко видеть в окуляре сетку нитей и изображение предмета. Установкой трубы по
глазу добиваются четкого изображения сетки нитей; для этого передвигают окуляр
относительно сетки нитей, вращая рифленое кольцо на окуляре. Установка трубы по
предмету называется фокусированием трубы. Расстояние до рассматриваемых
предметов бывает разным, и согласно формуле (3.6) при изменении a расстояние b
до его изображения также меняется. Чтобы изображение предмета при
рассматривании его в окуляр было четким, оно должно располагаться в плоскости
сетки нитей. Передвигая окулярную часть трубы вдоль главной оптической оси,
изменяют расстояние от сетки нитей до объектива до тех пор, пока оно станет
равным b.
Трубы,
у которых фокусирование выполняется путем изменения расстояния между объективом
и сеткой нитей, называются трубами с внешней фокусировкой. Такие трубы имеют
большую и притом переменную длину; они негерметичны, поэтому внутрь них
попадают пыль и влага; на близкие предметы они вообще не фокусируются.
Зрительные трубы с внешней фокусировкой в современных измерительных приборах не
применяются
Более
совершенными являются трубы с внутренней фокусировкой (рис.3.11); в них
применяется дополнительная подвижная рассеивающая линза L2, образующая вместе с
объективом L1 эквивалентную линзу L. При перемещении линзы L2 изменяется
расстояние между линзами l и, следовательно, изменяется фокусное расстояние f
эквивалентной линзы. Изображение предмета, находящееся в фокальной плоскости
линзы L, также перемещается вдоль оптической оси, и когда оно попадает на
плоскость сетки нитей становится четко видным в окуляре трубы. Трубы с
внутренней фокусировкой короче; они герметичны и позволяют наблюдать близкие
предметы;в современных измерительных приборах применяются в основном такие
зрительные трубы.
.3
Уровни
Уровни
служат для приведения осей прибора в вертикальное или горизонтальное положение
и для измерения малых углов наклона. Применение уровней основано на свойстве
пузырька газа занимать в жидкости наивысшее положение. Уровни бывают
цилиндрические и круглые.
Цилиндрический
уровень состоит из чувствительного элемента — ампулы и металлической оправы для
ее крепления и защиты от внешних воздействий. Ампула цилиндрического уровня —
это стеклянная трубка, запаянная с обоих концов и заполненная спиртом или
серным эфиром; небольшое пространство занимают пары этой жидкости, оно
называется пузырьком уровня.
Ампула
имеет форму дуги большого радиуса; касательная к дуге в середине пузырька
всегда горизонтальна, так как выталкивающая сила, действующая на пузырек,
направлена по вертикальной линии (пузырек принимает форму дуги окружности,
выталкивающая сила на правлена по радиусу дуги, касательная перпендикулярна
радиусу). На ампуле нанесены деления, на точных уровнях деления подписаны.
Ценой
деления уровня t называется центральный угол, соответствующий дуге в одно
деление шкалы на ампуле. Точка O в середине шкалы называется нульпунктом
уровня, а касательная, проведенная в нульпункте, называется осью
цилиндрического уровня U-U (рис.3. 12). Если пузырек находится в нульпункте, то
ось уровня занимает горизонтальное положение. Если пузырек уровня находится не
в нульпункте, то ось уровня занимает наклонное положение. Чтобы приводить
какую-либо линию или плоскость в горизонтальное положение, нужно закрепить
уровень так, чтобы ось уровня была строго параллельной искомой линии или
плоскости. Чтобы приводить линию или плоскость в вертикальное положение, нужно
закрепить уровень так, чтобы ось уровня была строго перпендикулярна искомой линии
или плоскости. Без выполнения этих условий применение уровня не имеет смысла.
Если
же условия выполняются, то при положении пузырька уровня в нульпункте ось
уровня займет горизонтальное положение, а искомая линия или плоскость —
горизонтальное положение в первом случае и вертикальное положение во втором
случае.
Внутренняя
поверхность ампулы имеет форму, получающуюся при вращении дуги AB радиуса R
вокруг хорды AB (рис.3.12). Радиус дуги R вычисляют по расчетной цене деления τ. Обозначив
через l длину одного деления шкалы на ампуле, напишем формулу для длины дуги в
функции центрального угла:
(3.14)
При
τ
= 10″, l = 2 мм
и ρ
= 206265″ получим
R = 41 м.
При
наклоне уровня на угол ε
пузырек
отклонится от нульпункта на n деления, то-есть,
ε
= n * τ .
(3.15)
Отсюда
следует второе определение цены деления уровня: цена деления уровня — это угол,
на который наклонится ось уровня при смещении пузырька на одно деление шкалы.
Определение
цены деления уровня по рейке. Из формулы (3.15) следует, что:
τ
= ε / n,
т.е.
для определения цены деления нужно знать угол ε и сосчитать
число делений, на которое сместится пузырек (рис.3.13).
Угол
наклона ε
можно
определить разными методами, например, с помощью рейки. Наведем трубу на рейку
и возьмем отсчеты: по рейке — b1 и по уровню.
Затем
немного наклоним трубу и снова возьмем отсчеты: по рейке — b2 и по уровню. Угол
наклона ε
вычисляется
по формуле:
где
S — расстояние от нивелира до рейке.
Число
делений уровня n, на которое переместился пузырек, подсчитывают по разности
отсчетов по уровню при первом и втором наведениях на рейку.
Более
точное определение цены деления уровня производят на специальном устройстве —
экзаменаторе; при этом одновременно выполняют исследование качества шлифовки
внутренней поверхности ампулы уровня.
По
конструкции цилиндрические уровни бывают простыми, компенсированными и
камерными.
У
простых уровней ампула заполнена жидкостью и имеет один пузырек.
У
компенсированных уровней внутри ампулы помещена стеклянная трубка с запаянными
концами. При изменении температуры объемы жидкости и пузырька газа изменяются
неодинаково вследствие разных коэффициентов расширения. Это приводит к тому,
что при понижении температуры пузырек удлиняется, при повышении —
укорачивается. Наличие стеклянной трубки в ампуле уменьшает объем жидкости, и
поэтому влияние изменения температуры на длину пузырька ослабляется.
У
камерных уровней внутри ампулы есть перегородка с отверстием внизу, которая
делит ампулу на две камеры — основную и запасную. Запасная камера намного
меньше по объему, и в ней помещается запасной пузырек. При изменении длины
основного пузырька наклоняют уровень и либо убирают часть пузырька в запасную
камеру, либо добавляют некоторое количество газа из запасной камеры. Согласно
Инструкции [18] длина пузырька должна составлять 0.4 — 0.5 длины шкалы на
ампуле.
По
точности уровни бывают малой точности (τ > 1′), средней
точности (5″ < τ
< 1′) и
высокой точности
(τ < 5″). Цилиндрические
уровни имеют цену деления меньше 1′.
Круглый
уровень — это часть стеклянной сферы, на которую нанесены концентрические
окружности. Центр окружностей является нульпунктом круглого уровня. Осью
круглого уровня называется нормаль к сферической поверхности ампулы,
проведенная в нульпункте. Если пузырек уровня находится в нульпункте, то его
ось занимает вертикальное (отвесное) положение. Круглые уровни относятся к
уровням малой точности.
Поверка
установки цилиндрического уровня. Пусть цилиндрический уровень предназначен для
приведения в вертикальной положение оси вращения геодезического прибора; тогда
условие их взаимного положения читается так: ось уровня должна быть
перпендикулярна оси вращения прибора. Теоретическое положение оси уровня и оси
вращения прибора изображено на рис.3.14; на нем UU1 — ось уровня, ZZ1 — ось
вращения прибора, она вертикальна и составляет с осью уровня угол 90o; пузырек
уровня находится в нульпункте. При повороте прибора вокруг своей оси ось уровня
описывает в пространстве горизонтальную плоскость, и после поворота прибора на
180o пузырек остается в нульпункте.
Пусть
угол между осью уровня и осью вращения прибора равен не точно 90o, а (90o — i)
(рис.3.15). Если установить прибор так, чтобы пузырек уровня был в нульпункте,
то ось уровня займет горизонтальное положение, а ось вращения прибора будет
наклонена на угол i относительно своего правильного положения. Задача поверки —
найти угол i и устранить его.
Повернем
прибор на 180o (рис.3.16). Ось уровня опишет коническую поверхность с углом при
вершине конуса 180o-2i и займет не горизонтальное положение, а наклонится
относительно горизонта на угол 2i; пузырек отклонится от нульпункта на n
делений, следовательно,
2
* i = n * τ ,
откуда
Чтобы
условие выполнялось, нужно, во-первых, изменить угол между осью уровня и осью
вращения прибора на величину i и, во-вторых, наклонить прибор также на угол i.
Практически поступают так: сначала подъемными винтами наклоняют прибор на угол
i; при этом пузырек должен приблизиться к нульпункту на половину отклонения.
Затем, пользуясь исправительными винтами уровня, изменяют положение ампулы в
корпусе прибора; при этом пузырек должен установиться точно в нульпункте. Таким
образом, последовательность действий при поверке установки уровня следующая:
Вращая
прибор, установить уровень параллельно двум подъемным винтам.
Этими
подъемными винтами привести пузырек уровня в нульпункт.
Повернуть
прибор точно на 180o.
Сосчитать
количество делений n отклонения пузырька уровня от нульпункта.
Подъемными
винтами сместить пузырек обратно на n/2 делений.
Исправительными
винтами уровня привести пузырек в нульпункт.
Если
угол i большой, то после поворота прибора на 180o пузырек уходит за пределы
шкалы, и количество делений n сосчитать нельзя. В этом случае отклонение
пузырька от нульпункта можно измерить в более крупных единицах, например, в
оборотах подъемных винтов, и исправлять уровень способом последовательных
приближений.
Существуют
и другие способы исправления уровня; один из них — способ Г.Лысова — позволяет
исправить сильно разъюстированный уровень за одно приближение.
Последовательность
операций в способе Г.Лысова.
Умеренно
вывернуть (или завернуть) любой из подъемных винтов, чтобы наклон прибора был
заметен глазом (i> 1o).
Плавно
вращая прибор, зафиксировать такое его положение, при котором пузырек уровня
находится точно в нульпункте; взять отсчет по горизонтальному лимбу N1.
Плавно
вращая прибор, зафиксировать второе его положение, при котором пузырек уровня
также находится точно в нульпункте; взять отсчет по горизонтальному лимбу N2.
Вычислить
отсчет N = 0.5 (N1 + N2) + 90o и, плавно вращая прибор, установить его на
горизонтальном лимбе.
Исправительными
винтами уровня привести пузырек в нульпункт.
.4
Понятие о компенсаторах угла наклона
Вместо
уровня в некоторых геодезических измерительных приборах применяется компенсатор
небольших углов наклона осей прибора.
Существуют
жидкостные, механические и оптико-механические компенсаторы; наиболее часто
применяются оптико-механические компенсаторы, в которых главным узлом является
подвесное маятниковое устройство. На этом устройстве укреплены оптические
детали или системы, предназначенные либо для изменения направления оси прибора
либо для параллельного смещения этой оси. Непременной составной частью
оптико-механического компенсатора является демпфер, предназначенный для гашения
и ограничения собственных колебаний маятниковой подвесной системы. Приведем
схему оптико- механического компенсатора, предназначенного для удержания в
горизонтальном положении визирной оси трубы нивелира Ni007 (рис.3.17).
пентапризма
для изменения направления горизонтального луча,
линза
телеобъектива,
линза
телеобъектива,
окуляр,
призма,
подвешенная на простом физическом маятнике,
призма
для направления лучей в окуляр 4.
В
нивелире русского производства Н3К компенсатор состоит из двух прямоугольных
стеклянных призм, одна из которых подвешена к верхней части корпуса трубы на
двух парах стальных нитей (рис.3.18).
корпус
трубы,
призма,
жестко соединенная с корпусом трубы,
призма,
подвешенная на нитях,
нити
подвеса призмы,
центр
тяжести системы,
демпфер.
С
помощью этих призм изображение рейки передается в плоскость сетки нитей по
горизонтальному направлению (S — S) при небольшом наклоне трубы; диапазон
компенсируемых углов наклона 7+15′, ошибка горизонтальности визирной линии
трубы — не больше 0.5″; систематическая ошибка недокомпенсации — не более
0.3″ на 1′ наклона трубы; время затухания колебаний — не более 2 секунд.
4.
ГЕОДЕЗИЧЕСКИЕ ИЗМЕРЕНИЯ
.1
Измерение горизонтальных и вертикальных углов
.1.1
Принцип измерения горизонтального угла
Плоский
угол образуется двумя лучами, исходящими из одной точки, называемой вершиной
угла. Угол обычно измеряют в градусной мере (градусы, минуты, секунды), реже —
в радианной; за рубежом широко применяется градовая мера измерения углов.
В
геодезии имеют дело с углами, лежащими в горизонтальной или вертикальной
плоскостях, причем горизонтальный угол обычно обозначают буквой β.
Угол
на чертеже или карте измеряют транспортиром (рис.4.1);
и
N2 — отсчеты по шкале транспортира в точках пересечения ее сторонами угла
β
= N2 — N1.
(4.1)
Если
N1=0, то β
= N2 (рис.4.2).
На
местности угол фиксируется тремя точками: одна из них — точка A — является
вершиной угла, две другие — B и C — фиксируют направления первой и второй
сторон угла соответственно (рис.4.3).
В
геодезии обработка измерений выполняется на горизонтальной плоскости, поэтому
угол BAC нужно спроектировать на горизонтальную плоскость H. Горизонтальная проекция
точки находится в точке пересечения отвесной линии, проходящей через эту точку,
с плоскостью H. Для проектирования линии нужна отвесная проектирующая
плоскость, проходящая через данную линию.
Проведем
через линии местности AB и AC отвесные проектирующие плоскости Q и T. Линии
пересечения этих плоскостей с горизонтальной плоскостью H будут горизонтальными
проекциями линий AB и AC.
Искомый
угол β
— это
мера двугранного угла, образованного проектирующими плоскостями Q и T, то-есть,
плоский угол, лежащий в плоскости H, перпендикулярной граням угла. Ребром этого
двугранного угла является отвесная линия, проходящая через вершину угла
местности. Вспомним одно из свойств двугранного угла: при пересечении его
граней параллельными плоскостями углы, образованные линиями пересечения граней
с этими плоскостями, равны между собой. Как измерить угол β, используя
это свойство? Для этого достаточно установить угломерный круг так, чтобы его
центр находился на ребре двугранного угла, а его плоскость была горизонтальна
(параллельна плоскости H).
Угол
β
равен
углу b’a’c’; он вычисляется по разности отсчетов c’ и b’ на угломерном круге:
β
= c’ — b’ .
Отсчет
b’ получается в точке пересечения шкалы угломерного круга плоскостью Q, отсчет
c’ — в точке пересечения шкалы плоскостью T.
Таким
образом, прибор для измерения горизонтальных углов на местности должен иметь
угломерный круг, приспособление для наведения на точки местности и устройство
для отсчитывании по шкале угломерного круга; такой прибор называется
теодолитом.
.1.2
Устройство теодолита
Прибор
для измерения на местности горизонтальных и вертикальных углов называется
теодолитом.
У
первых теодолитов в центре угломерного круга на острие иголки помещалась
линейка, которая могла свободно вращаться на этом острие (как стрелка у
компаса); в линейке были сделаны вырезы и в них натянуты нити, играющие роль
отсчетных индексов. Центр угломерного круга помещали в вершину измеряемого угла
и надежно его закрепляли. Поворачивая линейку, совмещали ее с первой стороной
угла и брали отсчет N1 по шкале угломерного круга. Затем совмещали линейку со
второй стороной угла и брали отсчет N2. Разность отсчетов N2 и N1 равна
значению угла. Подвижная линейка называлась алидадой, а сам угломерный круг
назывался лимбом. Для совмещения линейки-алидады со сторонами угла применялись
примитивные визиры.
Современные
теодолиты, сохранив идею измерения угла, конструктивно значительно отличаются
от старинных теодолитов. Во-первых, для совмещения алидады со сторонами угла используется
зрительная труба, которую можно вращать по высоте и по азимуту; во-вторых, для
отсчета по шкале лимба имеется отсчетное приспособление, в третьих, вся
конструкция теодолита закрыта прочным металлическим кожухом и т.д. Для плавного
вращения алидады и лимба имеется система осей, а сами вращения регулируются
зажимными и наводящими винтами. Для установки теодолита на земле применяется
специальный штатив, а совмещение центра лимба с отвесной линией, проходящей
через вершину измеряемого угла, осуществляется с помощью оптического центрира
или нитяного отвеса.
Стороны
измеряемого угла проектируются на плоскость лимба подвижной вертикальной
плоскостью, которая называется коллимационной плоскостью. Коллимационная
плоскость образуется визирной осью зрительной трубы при вращении трубы вокруг
своей оси.
Визирная
ось трубы (или визирная линия) — это воображаемая линия, проходящая через центр
сетки нитей и оптический центр объектива трубы.
Перечислим
основные части теодолита (рис.4.4):
Лимб
— угломерный круг с делениями от 0o до 360o; при измерении углов лимб является
рабочей мерой (на рис.4.4 не показан).
Алидада
— подвижная часть теодолита, несущая систему отсчитывания по лимбу и визирное
устройство — зрительную трубу. Обычно всю вращающуюся часть теодолита называют
алидадной частью или просто алидадой (2 на рис.4.4).
Зрительная
труба крепится на подставках на алидадной части (3).
Система
осей — обеспечивает вращение алидадной части и лимба вокруг вертикальной оси.
Вертикальный
круг служит для измерения вертикальных углов (4).
Подставка
с тремя подъемными винтами (5).
Зажимные
и наводящие винты вращающихся частей теодолита: лимба (8,9), алидады (6,7),
трубы (10,11); зажимные винты называют также закрепительными и стопорными, а
наводящие — микрометренными.
Штатив
с крючком для отвеса, площадкой для установки подставки теодолита и становым
винтом.
—
винт перестановки лимба;
—
уровень при алидаде горизонтального круга;
—
уровень вертикального круга;
—
винт фокусировки трубы;
—
окуляр микроскопа отсчетного устройства.
В
теодолитах различают три разных вращения: вращение зрительной трубы, вращение
алидады и вращение лимба; при этом вращение трубы и вращение алидады снабжаются
двумя винтами каждое — зажимным и наводящим. Что касается вращения лимба, то
оно оформляется по-разному. В повторительных теодолитах лимб может вращаться
только вместе с алидадой; в теодолите Т30 (2Т30 и т.п.) для вращения лимба
имеются два винта: зажимной и наводящий, причем они работают только при зажатом
винте алидады. В теодолите Т15 первых выпусков лимб скреплялся с алидадой с
помощью специальной защелки и в таком положении совместное вращение алидады и
лимба регулировалось винтами алидады. В точных и высокоточных теодолитах
вращение (перестановка) лимба выполняется специальным бесконечным винтом
(позиция 12 на рис.4.4-б).
.1.3
Поверки и исследования теодолита
Теодолит
как прибор для измерения углов должен удовлетворять некоторым геометрическим
условиям, вытекающим из общего принципа измерения горизонтального угла.
Рассмотрим
эти условия:
Ось
цилиндрического уровня при алидаде горизонтального круга должна быть
перпендикулярна к оси вращения алидады.
Ось
вращения алидады должна быть установлена отвесно (вертикально).
Визирная
ось трубы должна быть перпендикулярна к оси вращения трубы.
Ось
вращения трубы должна быть перпендикулярна к оси вращения алидады.
Вертикальная
нить сетки нитей должна лежать в коллимационной плоскости.
Для
всех этих условий, кроме второго, обязательно выполняются поверки для того,
чтобы выяснить удовлетворяет ли конкретный теодолит перечисленным условиям.
Если при выполнении поверок обнаруживается, что какое-либо условие не
выполняется, производят исправление теодолита.
Поверка
первого условия была рассмотрена в разделе 3.3; следует лишь подчеркнуть, что
исправление угла между осью уровня и осью вращения алидады производится
исправительными винтами уровня.
Установка
оси вращения алидады в вертикальное положение выполняется в следующем порядке:
вращая
алидаду, устанавливают уровень параллельно линии, соединяющей два подъемных
винта и приводят пузырек уровня в нульпункт, действуя этими двумя винтами,
вращают
алидаду на 90o, то-есть, устанавливают уровень по направлению третьего
подъемного винта, и, действуя этим винтом, приводят пузырек уровня в нульпункт.
После
этого вращают алидаду и устанавливают ее в произвольное положение; пузырек
уровня должен оставаться в нульпункте. Если пузырек уровня отклоняется от
нульпункта больше, чем на одно деление, следует заново выполнить первую поверку
и снова установить ось вращения алидады в вертикальное положение.
Процедура
установки оси вращения алидады в вертикальное положение называется
горизонтированием теодолита.
Поверка
перпендикулярности визирной оси трубы к оси вращения трубы. Эта поверка
выполняется с помощью отсчетов по горизонтальному кругу при наблюдении
какой-либо визирной цели.
Если
условие выполняется, то при вращении трубы вокруг своей оси визирная линия
трубы описывает плоскость, совпадающую с коллимационной плоскостью. Если угол
между визирной линией трубы и осью вращения трубы не равен точно 90o, то при
вращении трубы визирная линия будет описывать коническую поверхность с углом
при вершине конуса 180o — 2С, где С — угол между фактическим положением
визирной линии трубы и ее теоретическим положением; угол С называется
коллимационной ошибкой (рис.4.6).
Навести
трубу на точку можно при двух положениях вертикального круга: круг слева и круг
справа; эти положения называются «круг лево» — КЛ или L и «круг
право» — КП или R. Пусть при положении КЛ отсчет по лимбу будет NL. Для
наведения трубы на точку при КП нужно перевести трубу через зенит и повернуть
алидаду на 180o. Если С = 0, то алидаду нужно повернуть точно на 180o, то-есть,
разность отсчетов при КЛ и КП равна точно 180o (рис.4.7). Если С= 0,
то при том же положении алидады изображение точки будет находиться не в центре
сетки нитей и для наведения на точку нужно повернуть алидаду на угол С
(рис.4.8). Отсчет по лимбу изменится и, если правильный отсчет был NL, то
отсчет, искаженный коллимационной ошибкой, будет N’L = NL + C, а
NL
= N’L — C. (4.2)
Чтобы
навести трубу на точку при КП, нужно перевести ее через зенит и повернуть
алидаду на угол 180o — 2C (рис.4.9), отсчет по лимбу будет равен:
‘ = NL + C + 180o — 2C = NR — C. (4.3)
Таким
образом, можно написать:
NL’
= NL + C, NR’ = NR — C.
Средний
отсчет из отсчетов при КЛ и КП свободен от влияния коллимационной ошибки,
0.5
* (NL’ + NR’) = 0.5 * (NL + NR),
а
значение двойной коллимационной ошибки равно:
2C
= NL’ — NR’ + 180o. (4.4)
В
теодолитах с односторонним отсчитыванием по лимбу в каждом отдельном отсчете (и
при КЛ и при КП) присутствует еще ошибка эксцентриситета алидады, поэтому
значение коллимационной ошибки, подсчитанное по формуле (4.4), будет включать
ошибку эксцентриситета. Для таких теодолитов (Т30, Т15, Т5) коллимационную
ошибку определяют по более сложной методике, состоящей из следующих действий:
навести
трубу при КЛ на четко видимую точку, расположенную вблизи горизонта, взять
отсчет по лимбу NL’,
перевести
трубу через зенит, навести ее на ту же точку при КП и взять отсчет по лимбу
NR’,
ослабить
зажимной винт подставки и повернуть теодолит относительно подставки примерно на
180o,
навести
трубу на точку при КЛ, взять отсчет NL»,
навести
трубу на точку при КП, взять отсчет NR»,
вычислить
коллимационную ошибку по формуле:
C = 0.5 * [(NL’ + NL») — (NR’ +
NR») + 360o. (4.5)
Исправление
коллимационной ошибки, если она больше допустимого значения, производится
одинаковым для большинства теодолитов способом:
вычисляют
правильный отсчет:
NL
= NL’ — C, или= NR’ + C
и
устанавливают его на лимбе. При этом изображение точки не будет совпадать с
центром сетки нитей на величину С. Боковыми исправительными винтами сетки нитей
совмещают центр сетки нитей с изображением точки. После этого повторяют
определение 2С.
Влияние
коллимационной ошибки на отсчет по лимбу. При наблюдении точек, расположенных
вблизи плоскости горизонта, отсчет по лимбу искажается на величину
коллимационной ошибки С с одним знаком при КЛ и с другим знаком при КП. Но
иногда приходится наблюдать точки, которые располагаются выше или ниже
плоскости горизонта, а при астрономических наблюдениях трубу теодолита наводят
на звезды, устанавливая ее на любой угол наклона. Рассмотрим, как искажается
отсчет по лимбу из-за влияния коллимационной ошибки в общем случае.
На
рис.4.10 точка O — точка пересечения оси вращения трубы HH1и визирной линии
трубы. Труба направлена на высокорасположенную точку W; угол наклона визирной
линии трубы — ν.
Проведем
через точку W вспомогательную вертикальную плоскость; LL1 — это линия
пересечения этой плоскости с плоскостью горизонта точки О.
При
С=0 визирная линия трубы занимает положение OW и коллимационная плоскость
пересекает плоскость горизонта по линии OM.
При
наличии коллимационной ошибки визирная линия трубы займет положение OW’.
Коллимационная плоскость в этом случае пересекает плоскость горизонта по линии
OM’. Чтобы навести трубу на точку W, нужно повернуть алидаду на угол ε1, и отсчет по
лимбу изменится на величину этого угла. Из треугольника MOM’ выразим тангенс
угла ε1:
и
по малости его запишем:
Но
MM’ = WW’, поэтому
(4.6)
Из
треугольника WOW’ найдем тангенс угла С и вследствие малости угла С напишем:
отсюда
выразим длину отрезка WW’:
WW’
= C * OW (4.7)
и,
подставив это выражение в формулу (4.6), получим:
(4.8)
Из
треугольника WOM видно, что:
подставив
это выражение в формулу (4.8), получим окончательно:
(4.9)
Если
угол наклона трубы ν
небольшой,
то косинус этого угла мало отличается от единицы и ε1 = C.
Обычно
каждую точку наблюдают при двух положениях круга, и средний отсчет свободен от
влияния коллимационной ошибки.
Поверка
перпендикулярности оси вращения трубы к оси вращения алидады. Четвертое условие
обеспечивает вертикальное положение коллимационной плоскости. Для проверки
этого условия используют хорошо видимую высоко расположенную точку М. Сначала
наводят трубу на точку при КЛ и проектируют точку на уровень горизонта теодолита
зрительной трубой; отмечают точку m1 (рис.4.11). Затем
переводят трубу через зенит, наводят ее на точку при КП и снова проектируют
точку на уровень горизонта теодолита; отмечают точку m2. Если ось
вращения трубы перпендикулярна оси вращения алидады, то проекция точки М оба
раза попадет в точку m; в противном случае точек будет две — m1 и m2. Положение,
при котором один конец оси трубы выше другого, возникает, когда высота
подставок трубы неодинакова; вследствие этого рассматриваемую поверку иногда
называют поверкой неравенства подставок.
Для
исправления угла между осями HH1 и ZZ1 нужно изменить высоту той подставки,
которая имеет исправительный винт. Исправление неравенства подставок
выполняется методом последовательных приближений. Если теодолит не имеет
исправительного винта подставки, то при обнаружении неравенства подставок его
нужно сдать в мастерскую.
Влияние
неравенства подставок на отсчет по лимбу. Пусть ось вращения трубы HH1
наклонена к горизонту на угол i и занимает положение H’H’1 (рис.4.12). Если бы
наклона не было, то точка М проектировалась бы в точку m. При наклоне оси точка
М проектируется в точку m1, и ошибка отсчета по лимбу будет равна углу ε2. Определим
величину этого угла.
Из
треугольника mOm1 следует:
или
по малости угла ε2:
(4.10)
Из
треугольника mMm1, в котором угол при точке M равен i, находим:
по
малости угла i принимаем tg(i) = i, поэтому
откуда
mm1
= i * Mm . (4.11)
Подставим
(4.11) в (4.10) и получим:
(4.12)
Из
треугольника MOm выразим тангенс угла ν:
и, подставив
это выражение в (4.12), получим окончательно:
ε2
= i * tg(ν) .
(4.13)
При
ν
= 0 влияние
неравенства подставок равно нулю при любых значениях угла i.
Если
ось вращения трубы наклонена к горизонту из-за неравенства подставок, то наклон
коллимационной плоскости имеет противоположные знаки при КЛ и КП, и ошибка
отсчета тоже имеет противоположные знаки; в среднем отсчете ошибка ε2
исключается.
Влияние
наклона оси вращения алидады на отсчет по лимбу. Наклон оси ZZ1 на угол i
приводит к тому, что ось вращения трубы будет наклонена к горизонту на тот же
угол (рис.4.13); коллимационная плоскость отклонится от вертикального положения
на тот же угол. Следовательно, и влияние наклона оси вращения алидады
аналогично влиянию неравенства подставок. Различие состоит в том, что ошибка в
отсчете по лимбу из-за наклона оси вращения алидады имеет один и тот же знак
при КЛ и КП. Таким образом, и средний отсчет также содержит эту ошибку.
Для
ослабления влияния наклона оси вращения алидады следует как можно тщательнее
выполнять горизонтирование теодолита и следить за пузырьком уровня во время
работы. При точных измерениях углов для исключения этой ошибки определяют угол
i из дополнительных отсчетов по шкале уровня и вводят в отсчеты по лимбу
поправки, вычисляемые по формуле (4.13).
Поверка
сетки нитей. Поверка пятого условия выполняется последней. Наводят трубу на
хорошо видимую точку и наводящим винтом смещают ее по высоте. Если при этом
изображение точки остается на вертикальной нити сетки нитей, то условие
выполняется. Если изображение точки сходит с вертикальной нити, нужно ослабить
исправительные винты сетки нитей и развернуть сетку в нужном направлении. После
этого следует повторить поверку и снова определить коллимационную ошибку, так
как при ослаблении и затягивании исправительных винтов сетки нитей ее центр мог
сдвинуться в сторону.
Кроме
геометрических условий у теодолита проверяют так называемые механические
условия:
отсутствие
механических повреждений — изломов, изгибов, трещин и т.п.; это проверяется
путем внешнего осмотра, при котором следует удостовериться и в полной
комплектности прибора;
плавность
вращения всех вращающихся деталей, то-есть, отсутствие заеданий, тугого
вращения, скрипа и стука;
плавность
и легкость работы зажимных винтов;
плавность
и равномерность работы наводящих винтов;
равномерность
и легкость работы подъемных винтов.
Эксцентриситет
алидады. В плоскости лимба горизонтального круга имеются три характерных
точки:- центр круга делений лимба,- центр вращения алидады,- центр вращения
лимба (рис.4.14).
В
идеальном теодолите все три точки должны совпадать, но в действительности они
не совпадают.Несовпадение точки A с точкой D называется эксцентриситетом
алидады, несовпадение точки L с точкой D называется эксцентриситетом лимба,
несовпадение точек A и L называется эксцентриситетом осей.
Рассмотрим
влияние эксцентриситета алидады на отсчеты по лимбу. Отрезок AD называется
линейным элементом эксцентриситета алидады и обозначается буквой l.
Некоторые
теодолиты имеют два отсчетных устройства, отстоящих одно от другого на 180o.
Вследствие эксцентриситета алидады отсчет по одному отсчетному индексу будет
меньше правильного отсчета на угол ε:
N’1
= N1 — ε,
(4.14)
а
по другому отсчетному индексу — больше правильного на угол ε:
N’2
= N2 + ε.
(4.15)
Средний
отсчет будет свободен от влияния эксцентриситета:
N
= 0.5*(N1′ + N2′) = 0.5*(N1 + N2) .
Чтобы
получить численное значение эксцентриситета, нужно из отсчета N2′ (4.15)
вычесть отсчет N1′ (4.14):
N2′
— N1′ = N2 — N1 + 2*ε,
но
N2 — N1 = 180o, поэтому:
ε
= 0.5*(N’2 — N’1 + 180o).
(4.16)
При
вращении алидады взаимное положение линейного элемента эксцентриситета алидады
и отсчетных индексов изменяется, и величина ошибки отсчета ε’ зависит от
угла γ
(рис.4.15):
ε’
= ε * Sin(γ) .
(4.17)
У
теодолитов с односторонним отсчитыванием отсчет по лимбу искажается на величину
ε’
с
одним знаком при КЛ и с другим знаком при КП; в среднем отсчете влияние
эксцентриситета исключается.
Из
всех ошибок отсчитывания по лимбу, возникающих вследствие нарушения
геометрических условий, можно выделить симметричные ошибки, то-есть такие,
которые имеют разные знаки при КЛ и КП и влияние которых в среднем отсчете устраняется,
и несимметричные ошибки, влияние которых в среднем отсчете не устраняется. К
симметричным ошибкам относятся коллимационная ошибка, ошибка из-за неравенства
подставок, ошибка эксцентриситета. К несимметричным ошибкам относятся ошибка
наклона оси вращения алидады, ошибки делений лимба и некоторые другие.
.1.4
Способы измерения горизонтальных углов
Государственный
стандарт ГОСТ 10529-86 выделяет три группы теодолитов: высокоточные, точные и
технические.
Высокоточные
теодолиты обеспечивают измерение углов с ошибкой не более 1″; типы Т1,
Т05.
Точные
теодолиты обеспечивают измерение углов с ошибкой от 2″ до 7″; типы
Т2, Т5.
Технические
теодолиты обеспечивают измерение углов с ошибкой от 10″ до 30″; типы
Т15, Т30.
Дополнительная
буква в шифре теодолита указывает на его модификацию или конструктивное
решение: А — астрономический, М — маркшейдерский, К — с компенсатором при
вертикальном круге,П — труба прямого изображения (земная).
Государственным
стандартом на теодолиты предусмотрена, кроме того, унификация отдельных узлов и
деталей теодолитов; вторая модификация имеет цифру 2 на первой позиции шифра —
2Т2, 2Т5 и т.д., третья модификация имеет цифру 3 — 3Т2, 3Т5КП и т.д.
Перед
измерением угла необходимо привести теодолит в рабочее положение, то-есть,
выполнить три операции: центрирование, горизонтирование и установку зрительной
трубы.
Центрирование
теодолита — это установка оси вращения алидады над вершиной измеряемого угла;
операция выполняется с помощью отвеса, подвешиваемого на крючок станового
винта, или с помощью оптического центрира.
Горизонтирование
теодолита — это установка оси вращения алидады в вертикальное положение;
операция выполняется с помощью подъемных винтов и уровня при алидаде
горизонтального круга.
Установка
трубы — это установка трубы по глазу и по предмету; операция выполняется с
помощью подвижного окулярного кольца (установка по глазу — фокусирование сетки
нитей) и винта фокусировки трубы на предмет (поз.15 на рис.4.4).
Измерения
угла выполняется строго по методике, соответствующей способу измерения;
известно несколько способов измерения горизонтальных углов: это способ
отдельного угла (способ приемов), способ круговых приемов, способ во всех
комбинациях и др.
Способ
отдельного угла. Измерение отдельного угла складывается из следующих действий:
наведение
трубы на точку, фиксирующую направление первой стороны угла (рис.4.16), при
круге лево (КЛ), взятие отсчета L1;
поворот
алидады по ходу часовой стрелки и наведение трубы на точку, фиксирующую
направление второй стороны угла; взятие отсчета L2,
вычисление
угла при КЛ (рис.4.16):
βл = L2 — L1,
перестановка
лимба на 1o — 2o для теодолитов с односторонним отсчитыванием и на 90o — для
теодолитов с двухсторонним отсчитыванием,
поворот
алидады по ходу часовой стрелки и наведение трубы на точку, фиксирующую
направление второй стороны угла; взятие отсчета R2,
вычисление
угла при КП:
βп = R2 — R1,
при
выполнении условия |βл — βп| < 1.5
* t, где t — точность теодолита, вычисление среднего значения угла:
βср = 0.5 * (βл + βп).
Измерение
угла при одном положении круга (КЛ или КП) составляет один полуприем; полный
цикл измерения угла при двух положениях круга составляет один прием.
Запись
отсчетов по лимбу и вычисление угла производятся в журналах установленной
формы.
Способ
круговых приемов. Если с одного пункта наблюдается более двух направлений, то
часто применяют способ круговых приемов. Для измерения углов этим способом
необходимо выполнить следующие операции (рис.4.17):
при
КЛ установить на лимбе отсчет, близкий к нулю, и навести трубу на первый пункт;
взять отсчет по лимбу.
вращая
алидаду по ходу часовой стрелки, навести трубу последовательно на второй,
третий и т.д. пункты и затем снова на первый пункт; каждый раз взять отсчеты по
лимбу.
перевести
трубу через зенит и при КП навести ее на первый пункт; взять отсчет по лимбу.
вращая
алидаду против хода часовой стрелки, навести трубу последовательно на (n-1),
…, третий, второй пункты и снова на первый пункт; каждый раз взять отсчеты по
лимбу.
Затем
для каждого направления вычисляют средние из отсчетов при КЛ и КП и после этого
— значения углов относительно первого (начального) направления.
Способ
круговых приемов позволяет ослабить влияние ошибок, действующих пропорционально
времени, так как средние отсчеты для всех направлений относятся к одному
физическому моменту времени.
Влияние
внецентренности теодолита на отсчеты по лимбу. Пусть на рис.4.18 ось вращения
алидады пересекает горизонтальную плоскость в точке B’, а точка B — проекция
вершины измерямого угла на ту же плоскость. Расстояние между точками B и B’
обозначим l, расстояние между пунктами B и A — S.
Если
бы теодолит стоял в точке B, то при наведении трубы на точку A отсчет по лимбу
был бы равен b. Перенесем теодолит в точку B’, сохранив ориентировку лимба; при
этом отсчет по лимбу при наведении трубы на точку A изменится и станет равным
b’; различие этих отсчетов называется ошибкой центрировки теодолита и
обозначается буквой c.
Из
треугольника BB’A имеем:
Откуда
или
по малости угла c
(4.18)
Величина
l называется линейным элементом центрировки, а угол Q — угловым элементом
цетрировки; угол Q строится при проекции оси вращения теодолита и отсчитывается
от линейного элемента по ходу часовой стрелки до направления на наблюдаемый
пункт A.
Правильный
отсчет по лимбу будет:
=
b’ + c . (4.19)
Влияние
редукции визирной цели на отсчеты по лимбу.
Если
проекция визирной цели A’ на горизонтальную плоскость не совпадает с проекцией
центра наблюдаемого пункта A, то возникает ошибка редукции визирной цели
(рис.4.19). Отрезок AA’ называется линейным элементом редукции и обозначается
l1; угол Q1 называется угловым элементом редукции; он строится при проекции
визирной цели и отсчитывается от линейного элемента по ходу часовой стрелки до
направления на пункт установки теодолита. Обозначим правильный отсчет по лимбу
— b, фактический — b’, ошибка в направлении BA равна r. Из треугольника BAA’
можно написать:
Откуда
или
по малости угла r
(4.20)
Правильный
отсчет по лимбу будет
=
b’ + r . (4.21)
Наибольшего
значения поправки c и r достигают при Θ = Θ1 = 90o (270o),
когда .
В
этом случае
В
практике измерения углов применяют два способа учета внецентренности теодолита
и визирной цели.
Первый
способ заключается в том, что центрирование выполняют с такой точностью,
которая позволяет не учитывать ошибку внецентренности. Например, при работе с
техническими теодолитами допустимое влияние ошибок центрирования теодолита и
визирной цели можно принять c = r = 10″; при среднем расстоянии между
точками S = 150 м получается, что l = l1 = 0.9 см, то-есть, теодолит или визирную
цель достаточно устанавливать над центром пункта с ошибкой около 1 см. Для
центрирования с такой точностью можно применить обычный отвес. Центрирование
теодолита или визирной цели с точностью 1-2 мм можно выполнить лишь с помощью
оптического центрира. Второй способ заключается в непосредственном измерении
элементов l и Θ,
l1 и
Θ1,
вычислении
поправок c и r по формулам (4.18) и (4.20) и исправлении результатов измерений
этими поправками по формулам (4.19) и (4.21). Методика измерений элементов
центрировки теодолита и визирной цели описана в [18].
.2
Измерение вертикальных углов
Вертикальный
угол — это плоский угол, лежащий в вертикальной плоскости. К вертикальным углам
относятся угол наклона и зенитное расстояние. Угол между горизонтальной
плоскостью и направлением линии местности называется углом наклона и
обозначается буквой ν.
Углы
наклона бывают положительные и отрицательные. Угол между вертикальным
направлением и направлением линии местности называется зенитным расстоянием и
обозначается буквой Z. Зенитные расстояния всегда положительные (рис.4.20).
Угол
наклона и зенитное расстояние одного направления связаны соотношением:
Z
+ ν = 90o ,
(4.22)
ν
= 90o — Z ,
(4.23)
Z
= 90o — ν .
(4.24)
Вертикальный
круг теодолита. Вертикальный круг теодолита предназначен для измерения
вертикальных углов, то-есть, углов наклона или зенитных расстояний.
Вертикальный
круг большинства теодолитов устроен следующим образом: лимб вертикального круга
жестко соединен с трубой (насажен на один из концов оси трубы), центр лимба
совмещен с геометрической осью вращения трубы, а его плоскость перпендикулярна
этой оси. Деления на лимбе наносят по разному: либо от 0o до 360o, либо от 0o
до 180o в обе стороны со знаками «плюс» и «минус» или без
знаков и т.д. Для отсчета по лимбу имеется алидада. Основные части алидады:
отсчетное приспособление, цилиндрический уровень (или компенсатор) и
микрометренный винт.
Пузырек
уровня в момент отсчета приводится в нуль-пункт, то есть, ось уровня служит указателем
горизонтального направления. Отсчетным индексом является нулевой штрих
отсчетного приспособления. Ось уровня и линия отсчетного индекса (линия,
соединяющая отсчетный индекс с центром лимба) должны быть параллельны; при
выполнении этого условия линия отсчетного индекса будет горизонтальна в момент
взятия отсчета по вертикальному кругу.
Взаимное
положение лимба и зрительной трубы должно удовлетворять условию: визирная линия
трубы и нулевой диаметр лимба должны быть параллельны.
Оба
условия вместе составляют так называемое главное условие вертикального круга
теодолита; оно читается так: визирная линия трубы должна занимать
горизонтальное положение, когда отсчет по лимбу равен нулю и пузырек уровня
находится в нульпункте. На практике оба эти условия могут не выполняться и
имеет место случай, изображенный на рис.4.21-а.
Во-первых,
при насаживании лимба на ось трубы между нулевым диаметром лимба и визирной
линией трубы остается малый угол x. Во-вторых, линия отсчетного индекса может
быть непараллельна оси уровня и между ними существует малый угол y. Таким
образом, хотя отсчет по лимбу равен нулю, визирная линия трубы занимает
наклонное положение, и угол наклона ее равен:
ν
= x + y.
Если
установить визирную линию горизонтально (рис.4.21-б), то отсчет по лимбу станет
равным:
=
360o — (x + y). (4.25)
Этот
отсчет называется местом нуля вертикального круга и обозначается М0. Таким
образом, место нуля вертикального круга теодолита — это отсчет по лимбу
вертикального круга при горизонтальном положении визирной линии трубы и оси
уровня вертикального круга. Для конкретного теодолита формулы для вычисления
угла наклона и места нуля приводятся в паспорте. Например, для теодолитов 2Т30
и Т15 эти формулы имеют вид:
М0
= 0.5 . (NL + NR), (4.26)
ν
= 0.5 . (NL — NR),
ν
= NL — M0,
ν
= M0 — NR.
Положение
вертикального круга, при котором отсчет по лимбу вертикального круга равен (с
точностью до M0) углу наклона, считается основным; у большинства современных
теодолитов основным положением является КЛ.
Для
измерения углов наклона удобно иметь М0 близким к нулю, поэтому нужно регулярно
выполнять поверку места нуля, которая предусматривает следующие действия:
наведение
трубы на точку при КЛ, приведение пузырька уровня в нульпункт и взятие отсчета
по вертикальному кругу,
перевод
трубы через зенит, наведение трубы на точку при КП, приведение пузырька уровня
в нульпункт и взятие отсчета по вертикальному кругу,
вычисление
по соответствующим формулам места нуля М0 и угла наклона ν.
Если
М0 получается большим, то при основном положении круга нужно навести трубу на
точку и микрометренным винтом алидады установить отсчет, равный углу наклона;
при этом пузырек уровня отклонится от нульпункта. Исправительными винтами
уровня привести пузырек в нульпункт.
.3
Измерение расстояний
.3.1
Мерные приборы
Различают
непосредственное измерение расстояний и измерение расстояний с помощью
специальных приборов, называемых дальномерами. Непосредственное измерение
выполняют инварными проволоками, мерными лентами и рулетками.
Инварные
проволоки позволяют измерять расстояние с наибольшей точностью; относительная
ошибка измерения может достигать одной миллионной; это означает, что расстояние
в 1 км измерено с ошибкой всего 1 мм. Инвар — это сплав, содержащий 64% железа
и 36% никеля; он отличается малым коэффицентом линейного расширения α = 0.5 *
10-6 (для
сравнения: сталь имеет α
= 12 * 10-6).
Мерные
ленты обеспечивают точность измерений около 1 / 2 000, т.е. для расстояния в 1
км ошибка может достигать 50 см. Мерная лента — это стальная лента шириной от
10 до 20 мм и толщиной 0.4 — 0.5 мм (рис.4.22). Мерные ленты имеют длину 20, 24
и 50 м. Целые метры отмечены пластинами с выбитыми на них номерами метров,
полуметры отмечены круглыми заклепками, дециметры — круглыми отверстиями
диаметром 2 мм.
Фактическая
длина ленты или проволоки обычно отличается от ее номинальной длины на величину
Δl.
Фактическую
длину ленты определяют, сравнивая ее с эталонной мерой. Процесс сравнения длины
мерного прибора с эталоном называется компарированием, а установка, на которой
производится компарирование, — компаратором.
Согласно
ГОСТ 7502 — 80 допускается отклонение фактической длины новой ленты 2 мм для
20- и 30-метровых лент и 3 мм для 50-метровых. Вследствие износа фактическая
длина ленты изменяется, поэтому компарирование производится каждый раз перед
началом полевых работ.
Длина
стальных рулеток бывает 20, 30, 50, 75 и 100 м. Точность измерения расстояния
стальными рулетками зависит от методики измерений и колеблется от 1/2 000 до
1/10 000.
Измерение
линий мерной лентой. Измеряют линии, последовательно укладывая мерную ленту в
створе линии. Прежде чем измерять линию, ее нужно подготовить, а именно:
закрепить на местности ее концевые точки и обозначить створ. Створом линии
называют отвесную плоскость, проходящую через концевые точки. Для обозначения
створа линию провешивают, т.е. устанавливают вехи через 50-150 м в зависимости
от рельефа.
Измерение
линии выполняют два человека. Они укладывают ленту в створ и считают число
уложений. В комплект кроме самой ленты входят 6 или 11 шпилек и 2 проволочных
кольца (рис.4.1), на которые надевают шпильки. Передний мерщик в процессе
измерения линии втыкает шпильки в землю, а задний собирает их. В конце линии
измеряют остаток с точностью до 1 см.
Длину
линии определяют по формулам:
D’= k * (l0 + Δl)
+ r + (Δl/l0)
* r, (4.27)= D’+ D’* a * (t — tk) = D’ * [1 + a * (t — tk)];
здесь
l0- номинальная длина ленты;
Δl
— поправка
из компарирования;- число уложений ленты;- остаток;- температура
компарирования;- температура ленты во время работы.
Длину
линии обычно измеряют два раза — в прямом и обратном направлениях. Допускается
расхождение между результатами двух измерений на величину:
где
1/T — относительная ошибка измерения расстояния.
Например,
при 1/T = 1/2000 и длине линии 500 м расхождение между прямым и обратным
измерениями не должно превышать 0.5 м.
Приведение
длины линии к горизонту. Измеренная линия имеет угол наклона ν; проекция
ее на горизонтальную плоскость, называемая горизонтальным проложением линии,
вычисляется по формуле:
S
= D — ΔD,
где
ΔD-
поправка
за приведение к горизонту. Формула для вычисления поправки ΔD выводится
следующим образом. Из ΔABB’
(рис.4.23)
видно, что:
S
= D * Cos ν;
далее
пишем:
ΔD
= D — D * Cos ν
= D * (1 — Cosν),
ΔD
= 2 * D * Sin2 ν/2.
(4.29)
Угол
наклона линии измеряют либо теодолитом, либо специальным прибором — эклиметром.
В исправном эклиметре нулевой диаметр всегда занимает горизонтальное положение.
При наклоне эклиметра в прорезь виден отсчет, равный углу наклона линии. Ошибка
измерения угла наклона эклиметром равна 15′- 30′.
Если
линия имеет переменный угол наклона, то ее нужно разделить на части, каждая из
которых имеет постоянный угол наклона, и измерить каждую часть отдельно.
Если
ν<10,
то
поправку за приведение к горизонту учитывать не нужно. Покажем это:
ΔD/D
=2 * Sin2(ν/2); Sin(ν/2) = Sin30’= 1/115;
ΔD/D
= 1/6500.
При
ν=10
поправка
за наклон не превышает 1/6500, а точность измерений мерной лентой — около
1/2000, следовательно, поправкой за наклон можно пренебречь.
Поправку
ΔD
за
наклон линии можно вычислять и через превышение h точки B над точкой A. Запишем
теорему Пифагора для треугольника ABB’:
=
S2 + h2,
и
выразим S
=
D * (1 — h2/D2)1/2.
Для
выражения в скобках выполним разложение в ряд, ограничившись двумя членами
разложения,
При
измерении расстояний мерными лентами и рулетками второе слагаемое иногда не
учитывают и применяют формулу:
(4.30)
.3.2
Оптические дальномеры
В
дальномерах измеряется не сама длина линии, а некоторая другая величина,
относительно которой длина линии является функцией.
В
геодезии применяют 3 вида дальномеров:
оптические
(дальномеры геометрического типа),
электрооптические
(светодальномеры),
радиотехнические
(радиодальномеры).
Геометрическая
схема оптических дальномеров. Пусть требуется найти расстояние АВ. Поместим в
точку А оптический дальномер, а в точку В перпендикулярно линии АВ — рейку.
Обозначим:
l — отрезок рейки GM,
φ
— угол,
под которым этот отрезок виден из точки А.
Из
треугольника АGВ имеем:
(4.31)
D
= l * Ctg(φ).
(4.32)
Обычно
угол φ
небольшой
(до 1o) , и, применяя разложение функции Ctgφ в ряд, можно привести формулу
(4.31) к виду (4.32). В правой части этих формул два аргумента, относительно которых
расстояние D является функцией. Если один из аргументов имеет постоянное
значение, то для нахождения расстояния D достаточно измерить только одну
величину. В зависимости от того, какая величина — φ или l, —
принята постоянной, различают дальномеры с постоянным углом и дальномеры с
постоянным базисом.
В
дальномере с постоянным углом измеряют отрезок l, а угол φ — постоянный;
он называется диастимометрическим углом.
В
дальномерах с постоянным базисом измеряют угол φ, который
называется параллактическим углом; отрезок l имеет постоянную известную длину и
называется базисом.
Нитяной
дальномер с постоянным углом. В сетке нитей зрительных труб, как правило,
имеются две дополнительные горизонтальные нити, расположенные по обе стороны от
центра сетки нитей на равных расстояниях от него; это — дальномерные нити
(рис.4.25).
Нарисуем
ход лучей, проходящих через дальномерные нити в трубе Кеплера с внешней
фокусировкой. Прибор установлен над точкой А; в точке В находится рейка,
установленная перпендикулярно визирной линии трубы. Требуется найти расстояние
между точками А и В.
Построим
ход лучей из точек m и g дальномерных нитей. Лучи из точек m и g, идущие
параллельно оптической оси, после преломления на линзе объектива пересекут эту
ось в точке переднего фокуса F и попадут в точки М и G рейки. Расстояние от
точки A до точки B будет равно:
D
= l/2 * Ctg(φ/2) + fоб
+ d, (4.33)
где
d — расстояние от центра объектива до оси вращения теодолита;об-фокусное
расстояние объектива;- длина отрезка MG на рейке.
Обозначим
(fоб + d) через c, а величину 1/2*Ctg φ/2 — через С,
тогда
=
C * l + c. (4.34)
Постоянная
С называется коэффицентом дальномера. Из Dm’OF имеем:
Ctg
φ/2 = ОF/m’O;
m’O= p/2; Ctg φ/2
= (fоб*2)/p,
где
p — расстояние между дальномерными нитями. Далее пишем:
С
= fоб/p. (4.35)
Коэффициент
дальномера равен отношению фокусного расстояния объектива к расстоянию между
дальномерными нитями. Обычно коэффицент С принимают равным 100, тогда Ctg φ/2 = 200 и φ = 34.38′.
При
С = 100 и fоб = 200 мм расстояние между нитями равно 2 мм .
Измерение
нитяным дальномером наклонного расстояния. Пусть визирная линия трубы JK при
измерении расстояния АВ имеет угол наклона ν, и по рейке измерен отрезок l
(рис.4.26). Если бы рейка была установлена перпендикулярно визирной линии
трубы, то наклонное расстояние было бы равно:
=
l0 * C + c.
Но
l0 = l*Cos ν,
поэтому
D
= C*l*Cosν + c.
(4.36)
Горизонтальное
проложение линии S определим из Δ JKE :
S = D*Cosν или=
C*l*Cos2ν
+ c*Cosν.
(4.37)
Для
удобства вычислений принимаем второе слагаемое равным с*Cos2ν ; поскольку с
величина небольшая (около 30 см), то такая замена не внесет заметной ошибки в
вычисления. Tогда
S = (C * l + c) * Cos2ν,
или=
D’* Cos2ν.
(4.38)
бычно
величину (C*l + c) назыывают дальномерным расстоянием. Обозначим разность (D’ —
S) через ΔD
и
назовем ее поправкой за приведение к горизонту, тогда
S = D’ — ΔD,
где ΔD
= D’ * Sin2 ν.
(4.39)
Угол
ν
измеряют
вертикальным кругом теодолита; причем при поправка ΔD не
учитывается. Точность измерения расстояний нитяным дальномером обычно
оценивается относительной ошибкой от 1/100 до 1/300.
Кроме
обычного нитяного дальномера существуют оптические дальномеры двойного
изображения.
.3.3
Понятие о светодальномерах
Измерение
расстояний с помощью светодальномера основано на измерении промежутка времени
t, в течение которого свет дважды проходит расстояние D, в прямом и обратном
направлении (рис.4.27).
Обозначив
через V скорость света в атмосфере, напишем формулу для расстояния:
D
= V * t/2. (4.40)
Скорость
света в вакууме V0 считается известной V0 = 299 792 458 м/сек, а для получения
скорости света в атмосфере V нужно еще знать показатель преломления воздуха n:
=
V0/n . (4.41)
Светодальномеры
бывают импульсные и фазовые. В импульсных светодальномерах промежуток времени t
измеряется непосредственно,а в фазовых — через разность фаз.
В
фазовых светодальномерах используют модулированный свет; частота модуляции
бывает от 7 мгц до 75 мгц (что соответствует длине волны от 4 до 40 метров);
это так называемая измерительная или масштабная частота; несущие волны
располагаются в субмиллиметровом диапазоне.
Приведем
рабочие формулы для вычисления расстояний, измеренных фазовым светодальномером:
D
= (N + ΔN) * λ/2 . (4.42)
где:
f — масштабная частота, l — длина волны, соответствующая масштабной частоте, N
— число, показывающее сколько раз половина длины волны укладывается в
измеряемом расстоянии; оно определяется при «грубом» измерении
расстояния на нескольких масштабных частотах, ΔN — домер
фазового цикла; именно он и подлежит точному измерению.
На
практике для вычисления горизонтального проложения линии, измеренной
светодальномером, используют формулу:
Sизм
= Dст. + ΔD
t + ΔDP + ΔDe + C — ΔDH , (4.43)
где:
Dст.- длина линии, соответствующая некоторому стандартному значению скорости
света Vст. при значениях температуры t0 и давления P0; обычно принимают:
=
+ 12oC, P0 = 984 ГПА ,
ΔDt,
ΔDP, ΔDe — поправки
за отклонение фактических значений метеоэлементов от их стандартных значений,
ΔDt
= kt * Dст./100,
ΔD
P = kP * Dст./100,
ΔDe
= ke * Dст./100.
Коэффициенты
kt (температурный), kP (давления) и ke (влажности воздуха) выбирают из заранее
составленной таблицы,постоянная поправка светодальномера, определяемая по
специальной методике,
ΔDH
— поправка
за наклон линии:
(4.44)
Согласно
ГОСТу 19223-90 светодальномеры в нашей стране выпускаются четырех типов
(групп): Г — для государственных геодезических сетей; П — для прикладной
геодезии и маркшейдерии;
Т
— для сетей сгущения и топографических съемок;
СТД
— для топографических съемок (диффузное отражение).
Средняя
квадратическая ошибка расстояния, измеренного светодальномером, вычисляется по
формуле:
mD
= a + b * D * 10-6.
Для
каждой группы светдальномеров значения коэффициентов a и b имеют значения:
СГ
(0.1 км < D < 30 км) a = 1мм; 2 мм; b = 1; 2;
СП
(0.001 км < D < 5 км) a = 0.1мм; 0.5 мм; 1мм; 2 мм;
СТ
(0.002 км < D < 15 км) a = 5 мм; 10мм; b = 3; 5;
СТД
(0.002 км < D < 500 м) a = 20 мм.
Устройство
конкретного светодальномера, порядок его поверок и исследований, правила
подготовки к работе, методика измерения расстояния, обработка измерений, — все
это подробно описывается в документации, прилагаемой к каждому экземпляру
светодальномера.
Приведение
измеренного расстояния к центрам пунктов. При измерении расстояния
светодальномером может возникнуть ситуация, когда центрирование светодальномера
и отражателя выполнить не удается; в этом случае нужно ввести в измеренное
расстояние поправки за центрировку и редукцию.
Пусть
на рис.4.28-а точка B обозначает центр пункта, а точка B’ — проекцию на
горизонтальную плоскость оси вращения светодальномера; точка A обозначает центр
второго пункта. Измерим элементы центрировки: l — линейный элемент и Θ — угловой элемент;
по аналогии с центрировкой теодолита (раздел 4.1.4) угол Θ строится при
проекции оси вращения прибора и отсчитывается от линейного элемента по ходу
часовой стрелки до направления на наблюдаемый пункт A.
В
треугольнике BAB’ угол при точке A очень мал, поэтому в зависимости от
положения точки B’ относительно точки B будет выполняться одно из равенств:
γ
= Θ, γ = 180o — Θ, γ = Θ — 180o, γ = 360o —
Θ.
(4.45)
Опустим
перпендикуляр из точки B’ на линию BA, тогда поправка за центрировку будет
равна:
ΔSc
= BC = l * Cos(g) =
— l * Cos(Θ).
(4.46)
Аналогичные
построения на пункте установки отражателя (A — центр пункта, A’ — проекция оси
вращения отражателя, l1 — линейный элемент и Θ1 — угловой
элемент редукции) позволяют написать формулу:
ΔSо
= AD = l1 * Cos(g1)
= — l1 * Cos (Θ1).
(4.47)
Расстояние
S, приведенное к центрам пунктов будет равно:
S = Sизм + Δ
Sс
+ ΔSо.
(4.48)
.4
Измерение превышений
.4.1
Геометрическое нивелирование
Рельеф
местности — это совокупность неровностей поверхности земли; он является одной
из важнейших характеристик местности. Знать рельеф — значит знать отметки всех
точек местности. Отметка точки — это численное значение ее высоты над уровенной
поверхностью, принятой за начало счета высот. Отметку любой точки местности
можно определить по топографической карте, однако, точность такого определения
будет невысокой.
Отметку
точки на местности определяют по превышению этой точки относительно другой
точки, отметка которой известна. Процесс измерения превышения одной точки
относительно другой называется нивелированием. Начальной точкой счета высот в
нашей стране является нуль Кронштадтского футштока (горизонтальная черта на
медной пластине, прикрепленной к устою одного из мостов Кронштадта). От этого
нуля идут ходы нивелирования, пункты которых имеют отметки в Балтийской системе
высот. Затем от этих пунктов с известными отметками прокладывают новые
нивелирные ходы и так далее, пока не получится довольно густая сеть, каждая
точка которой имеет известную отметку. Эта сеть называется государственной
сетью нивелирования; она покрывает всю территорию страны.
Отметки
всех пунктов нивелирных сетей собраны в списки — «Каталоги высот».
Эти списки непрерывно пополняются, издаются новые каталоги по новым нивелирным
ходам. Для нахождения отметки любой точки местности в Балтийской системе высот
нужно измерить ее превышение относительно какого-либо пункта, отметка которого
известна и есть в каталоге. Иногда отметки точек определяют в условной системе
высот, если поблизости нет пунктов государственной нивелирной сети. Вследствие
того, что измерение превышений выполняют различными приборами и разными
способами, различают:
геометрическое
нивелирование (нивелирование горизонтальным лучом),
тригонометрическое
нивелирование (нивелирование наклонным лучом),
барометрическое
нивелирование,
гидростатическое
нивелирование и некоторые другие.
Геометрическое
нивелирование или нивелирование горизонтальным лучом выполняют специальным
геодезическим прибором — нивелиром; отличительная особенность нивелира состоит
в том,что визирная линия трубы во время работы приводится в горизонтальное
положение.
Различают
два вида геометрического нивелирования: нивелирование из середины и
нивелирование вперед.
При
нивелировании из середины нивелир устанавливают посредине между точками А и В,
а на точках А и В ставят рейки с делениями (рис.4.29). При движении от точки A
к точке B рейка в точке А называется задней, рейка в точке В — передней.
Сначала наводят трубу на заднюю рейку и берут отсчет a, затем наводят трубу на
переднюю рейку и берут отсчет b. Превышение точки B относительно точки А
получают по формуле:
=
a — b. (4.49)
Если
a > b, превышение положительное, если a < b -отрицательное. Отметка точки
В вычисляется по формуле:
в
= Hа + h. (4.50)
Высота
визирного луча над уровнем моря называется горизонтом прибора и обозначается
Hг:
г
= HА + a = HВ + b. (4.51)
При
нивелировании вперед нивелир устанавливают над точкой А так, чтобы окуляр трубы
был на одной отвесной линии с точкой. На точку В ставят рейку. Измеряют высоту
нивелира i над точкой А и берут отсчет b по рейке (рис.4.30). Превышение h
подсчитывают по формуле:
=
i — b. (4.52)
Отметку
точки B можно вычислить через превышение по формуле (4.50) или через горизонт
прибора:
в
= Hг — b.
Если
точки А и В находятся на большом расстоянии одна от другой и превышение между
ними нельзя измерить с одной установки нивелира, то на линии AB намечают
промежуточные точки 1, 2, 3 и т.д. и измеряют превышение по частям (рис.4.31).
На
первом участке A-1 берут отсчеты по задней рейке — a1 и по передней — b1. Затем
переносят нивелир в середину второго участка, а рейку с точки A переносят в
точку 2; берут отсчеты по рейкам: по задней — a2 и по передней — b2. Эти
действия повторяют до конца линии AB. Точки, позволяющие связать горизонты
прибора на соседних установках нивелира, называются связующими; на этих точках
отсчеты берут два раза — сначала по передней рейке, а затем по задней.
Превышение
на каждой установке нивелира, называемой станцией, вычисляют по формуле (4.49),
а превышение между точками A и B будет равно:
=
h =
a —
b . (4.53)
Отметка
точки B получится по формуле:
=
HA + h. (4.54)
При
последовательном нивелировании получается нивелирный ход.
.4.1.1
Влияние кривизны земли и рефракции на измеряемое превышение
Рассмотрим
схему геометрического нивелирования из середины с большей строгостью
(рис.4.32). Уровенные поверхности не являются плоскими, они сферические,
поэтому рейки, установленные в точках А и В перпендикулярно уровенным
поверхностям, будут непараллельны между собой. Визирная ось трубы нивелира,
установленного между точками А и В, горизонтальна. Она пересекла бы рейки в
точках С и D, если бы световой луч распространялся в атмосфере строго
прямолинейно. Однако в реальной атмосфере луч света идет по некоторой кривой,
которая называется рефракционной кривой. Под влиянием рефракции предмет виден
несколько выше своего действительного положения.
В
результате рефракции визирный луч будет занимать положение C’JD’, и отсчеты по
рейкам будут равны отрезкам:
=
C’A и b = D’B.
Для
вывода формулы превышения понадобится еще линия MJN, изображающая уровенную
поверхность точки J нивелира; она пересекает рейки в точках M и N.
Превышение
точки В относительно точки А будет равно разности отрезков МА и NB:
=
MA — NB. (4.55)
Далее
из рис.5.5 следует
MA = AC — MC и
NB = BD — DN.
Отрезки
MC и DN выражают влияние кривизны Земли на высоту точек; оно зависит от
расстояния S и радиуса кривизны R. Согласно формуле (1.5) найдем отрезки MC и
DN:
=
p1 = S21 / 2*R,= S22 / 2*R;
здесь
S1 — расстояние от нивелира до точки А;- расстояние от нивелира до точки В.
Отрезки
AC и BD также выразим через их части:
AC = AC’ + C’C и
BD = BD’+ D’D,
где
AC’- отсчет по задней рейке, AC’ = a;’- отсчет по передней рейке, BD’= b.
Отрезки
C’C и D’D выражают влияние рефракции. Рефракционную кривую принимают за дугу
окружности радиуса R1. Установлено, что вблизи земной поверхности радиус
рефракционной кривой колеблется от шести до семи земных радиусов. Отношение
R/R1 называется коэффициентом вертикальной рефракции и обозначается буквой k;
следовательно, R1 = R/k. Значения k лежат в пределах 0.14 — 0.16.
Для
отрезков C’C и D’D получаем следующие выражения:
C’C = r1 = S21 / 2* R1, D’D = r2 =
S22 / 2*R1.
Подставив
вместо R1 выражение R/k, окончательно получим:
r1 = (S21 / 2*R) * k= p1 * k,= (S22
/ 2*R) * k = p2 * k.
Вернемся
к формуле (4.55) и подставим в нее последовательно
h = (AC — MC) — (BD — DN),= (AC’ +
C’C — MC) — (BD’ + D’D — DN),= (a + p1*k — p1) — (b + p2 *k — p2),= (a — b) —
[p1*(1 — k) — p2* (1 — k)].
Обозначим
через f совместное влияние кривизны Земли и рефракции на отсчет по рейке:
=
p1*(1 — k), f2 = p2*(1 — k), (4.56)
тогда
h = (a — b) — (f1 — f2). (4.57)
Далее
— f2 = (1 — k)*(p1 — p2),- f2 = [(1
— k) / 2*R] * (S21 — S22). (4.58)
Если
S1 = S2, то
f1- f2 = 0 и
h = a — b.
Вывод:
при нивелировании строго из середины влияние кривизны Земли и рефракции почти
полностью исключается. Это — первое теоретическое обоснование нивелирования из
середины. Влияние рефракции может быть исключено не полностью, так как условия
прохождения луча до задней и передней реек могут отличаться. Инструкция дает
строгий допуск на неравенство расстояний до задней и передней реек: для
нивелирования IV класса этот допуск равен 5 м, а для нивелирования I класса —
0,5 м.
.4.1.2
Нивелиры: их устройство, поверки, исследования
Согласно
ГОСТ 10528 — 76 в нашей стране выпускаются нивелиры трех типов: высокоточные с
ошибкой измерения превышения не более 0.5 мм на 1 км хода, точные с ошибкой
измерения превышения 3 мм на 1 км хода и технические с ошибкой измерения
превышений 10 мм на 1 км хода.
Нивелиры
всех типов могут выпускаться либо с уровнем при трубе, либо с компенсатором
наклона визирной линии трубы. При наличии компенсатора в шифре нивелира добавляется
буква К, например, Н-3К. У нивелиров Н-3 и Н-10 допускается наличие
горизонтального лимба; в этом случае в шифре нивелира добавляется буква Л,
например, Н-10Л.
Нивелир
с уровнем при трубе изображен на рис.4.33.
Зрительная
труба и уровень при ней являются важнейшими частями нивелира.
Элевационный
винт служит для приведения визирной линии трубы в горизонтальное положение. С
его помощью поднимают или опускают окулярный конец трубы; при этом пузырек
уровня перемещается и когда он будет точно в нуль-пункте, визирная линия должна
устанавливаться горизонтально.
—
зрительная труба; 2 -цилиндрический уровень при трубе; 3 — элевационный винт; 4
-установочный круглый уровень (на рисунке не показан); 5,6 — закрепительный и
микрометренный винты азимутального вращения; 7 -ось; 8 -подставка с тремя
подъемными винтами.
Рис.4.33
Цилиндрический
уровень обычно контактный; изображение контактов пузырька передается системой
призм в поле зрения трубы, что очень удобно, так как наблюдатель видит сразу и
рейку, и уровень.
Для
нивелира с уровнем при трубе выполняются три поверки.
.
Ось цилиндрического уровня и визирная линия трубы должны быть параллельны и
лежать в параллельных вертикальных плоскостях — это условие называется главным
условием нивелира с уровнем при трубе. Первая часть главного условия
проверяется двойным нивелированием вперед. На местности забивают два колышка на
расстоянии около 50 м один от другого. Нивелир устанавливают над точкой А так,
чтобы окуляр трубы находился на одной вертикальной линии с точкой (рис.4.34-а).
От колышка до центра окуляра измеряют высоту инструмента i1. Затем рейку ставят
в точку В, наводят на нее трубу нивелира, приводят пузырек уровня в нуль-пункт
и берут отсчет по рейке b1. Затем нивелир и рейку меняют местами, измеряют
высоту инструмента i2, приводят пузырек уровня в нуль-пункт и берут отсчет по
рейке b2. Пусть главное условие нивелира не выполняется, и при положении
пузырька уровня в нульпункте визирная линия не горизонтальна, а составляет с
осью уровня некоторый угол i. Тогда вместо правильного отсчета b0 1 получается
ошибочный — b1. Ошибку отсчета обозначим x, и превышение точки В относительно
точки А будет равно:
=
i1 — (b1 + x).
При
положении нивелира в точке В превышение точки А относительно точки В:
‘
= i2 — (b2 + x).
Но
h = — h’, поэтому- (b1 + x) = — [i2 — (b2 + x)].
Отсюда
получаем:
=
0.5*(i1 + i2) — 0.5*(b1 + b2). (4.59)
Если
x получается больше 4 мм, необходимо выполнить юстировку уровня, т.е. устранить
угол i. Для этого элевационным винтом наклоняют трубу нивелира до тех пор, пока
отсчет по рейке не будет равен правильному отсчету:
=
b2 + x,
при
этом пузырек уровня уйдет из нуль-пункта. Исправительными винтами уровня
приводят пузырек в нуль-пункт и повторяют поверку заново. Полная программа
поверки главного условия включает еще проверку параллельности вертикальных
плоскостей, проведенных через визирную линию трубы и ось уровня; порядок этой
проверки изложен в [15] на стр.62.
При
нивелировании строго из середины ошибка отсчета по рейке из-за невыполнения
главного условия нивелира не влияет на величину измеряемого превышения
(рис.4.35)
.
Ось круглого установочного уровня должна быть параллельна оси вращения нивелира.
Приводят пузырек круглого уровня в нуль-пункт, затем поворачивают нивелир по
азимуту на 180o. Если пузырек отклонился от нуль-пункта, то на половину
отклонения его перемещают с помощью подъемных винтов и на половину —
исправительными винтами круглого уровня.
Существует
и другой, более надежный способ поверки круглого уровня: сначала тщательно
устанавливают ось вращения нивелира в отвесное положение с помощью
элевационного винта и цилиндрического уровня при трубе, затем исправительными
винтами круглого уровня приводят его пузырек в нуль-пункт.
.
Горизонтальная нить сетки нитей должна быть перпендикулярна оси вращения
нивелира, т.е. быть горизонтальной. Рейку ставят в 30 — 40 м от нивелира и
закрепляют ее, чтобы она не качалась. Затем берут отсчеты по рейке при трех
положениях ее изображения: в центре поля зрения, слева от центра и справа. Если
отсчеты отличаются один от другого более, чем на 1 мм, то сетку нитей нужно
развернуть.
Предполагая,
что сетки нитей строго перпендикулярны, можно проверить вертикальность
вертикальной нити. Для этого в 20 м от нивелира подвешивают отвес, наводят на
него трубу и проверяют совпадение вертикальной нити сетки с нитью отвеса.
Важнейшими
характеристиками нивелира, определяющими точность измерения превышений,
являются увеличение зрительной трубы и цена деления цилиндрического уровня при
трубе. По этим характеристикам определяет пригодность нивелира для выполнения
работ заданной точности. Чтобы получить численные значения увеличения трубы и
цены деления уровня, выполняют соответствующие исследования нивелира.
.4.1.3
Нивелирные рейки
Изготовление
реек регламентирует ГОСТ 11158-76. Типы реек по ГОСТу соответствуют типам
нивелиров. Рейка нивелирная РН-05 односторонняя, штриховая с инварной полосой
применяется для измерения превышений с точностью 0.5 мм на 1 км хода. Рейка
нивелирная РН-3 деревянная, двухсторонняя, шашечная применяется для измерения
превышений с точностью 3 мм на 1 км хода. Рейка нивелирная РН-10 деревянная,
двухсторонняя, шашечная применяется для измерения превышений с точностью 10 мм
на 1 км хода (рис.4.36). Длина реек бывает различной: 1200, 1500, 3000 и 4000
мм. У складных реек в шифр добавляется буква С, например, РН-10С.
Шашечные
рейки изготовляются из высушенной первосортной ели; допускается изготовление
реек из пластмасс, металлов и сплавов, если при этом выполняются требования
ГОСТа на массу рейки, на температуру ее использования и т.п. Перед покраской
рейку пропитывают водоотталкивающим составом и грунтуют; деления в виде шашечек
наносят черной краской на одну сторону рейки и красной краской на другую.
Дециметровые деления подписывают.
На
нижнюю часть рейки крепится металлическая пластина, называемая пяткой рейки. На
черной стороне пятки соответствует нулевое деление рейки; на красной — отсчет,
больший 4000 мм; поэтому отсчеты по красной и черной сторонам рейки не могут
быть одинаковыми. Разность пяток для данной рейки является постоянной
величиной, что позволяет контролировать правильность отсчетов. В литературе разность
пяток называют также разностью нулей рейки.
Для
установки рейки в отвесное положение на ней имеется круглый уровень или отвес.
На
штриховых односторонних рейках деления наносят на инварную ленточную полосу,
которая натягивается вдоль деревянного бруска при помощи специального
устройства. Деления в виде штрихов наносят через 5 мм.
Для
определения пригодности нивелирных реек к работе выполняют их исследования.
Поверхность
рейки должна быть плоской. Уклонение от плоскости по ГОСТу допускается 3 мм для
РН-05, 6 мм для РН-3 и 10 мм для РН-10. Вдоль рейки натягивают нитку и просвет
между ниткой и рейкой измеряют в самом широком месте.
Случайная
ошибка в положении дециметровых и метровых делений не должна превышать 0.15 мм
для штриховых инварных реек и 0.5 мм для деревянных шашечных реек. Это
исследование выполняют с помощью контрольной линейки.
Определение
разности пяток или разности нулей рейки. Это исследование выполняют путем
взятия отсчетов по черной и красной сторонам рейки, стоящей на одной и той же точке.
Поверка
круглого уровня рейки выполняется либо по отвесу, либо по вертикальной нити
сетки нитей нивелира. Отвес укрепляют прямо на рейку и устанавливают ее
отвесно, при этом пузырек уровня должен находиться в нуль-пункте. В противном
случае исправительными винтами уровня пузырек приводят в нуль-пункт.
Источники
ошибок при геометрическом нивелировании.
Ошибка
установки визирной линии трубы в горизонтальное положение по уровню; при t =
25″ она достигает 3″ — 4″. Для расстояния 100 м это приводит к
ошибке отсчета по рейке 2 мм.
Ошибка
отсчета из-за ограниченной разрешающей способности трубы нивелира; при
увеличении V = 25x эта ошибка достигает 1.2 мм на 100 м расстояния.
Нарушение
главного условия нивелира; при нивелировании строго из середины эта ошибка исключается.
Наклон
рейки. Для уменьшения влияния наклона рейки ее рекомендуется слегка покачивать
вперед-назад около вертикального положения; при отсчетах меньше 1000 мм рейку
качать нельзя. При покачивании рейки отсчеты по ней изменяются; наименьший отсчет
является правильным.
Ошибка
нанесения делений на рейке.
Общая
ошибка отсчета по шашечной рейке нивелиром Н-3 оценивается в 4 мм на 100 м
расстояния.
.4.1.4
Вычисление отметок реперов разомкнутого хода технического нивелирования
По
точности измерения превышений различают нивелирование 1, 2, 3, 4 классов и
техническое. При техническом нивелировании предельная ошибка измерения
превышения на 1 км хода не должна превышать 50 мм; это соответствует средней
квадратической ошибке 20 мм на 1 км хода. Для нивелирования 1, 2, 3 и 4 классов
средняя квадратическая ошибка измерения превышения на 1 км хода равна 0.8 мм,
2.0 мм, 5 мм и 10 мм соответственно.
Ходы
технического нивелирования прокладывают между реперами с известными отметками
(реперами нивелирования 1, 2, 3, 4 классов); допустимая длина хода зависит от
его формы. Так, длина разомкнутого (рис.4.37-а) или замкнутого (рис.4.37-б)
хода может достигать 16 км; длина висячего хода (рис.4.37-в) не должна
превышать 8 км. В разомкнутом и замкнутом ходах нивелирование выполняют один
раз, в висячем ходе — два раза: в прямом и обратном направлениях. При
проектировании ходов следует выбирать наиболее удобные для нивелирования пути:
дороги, просеки в лесу, берега рек, участки с небольшим уклоном и твердым
грунтом.
Часть
хода между двумя соседними реперами, закрепленными на местности, называется
секцией. Длину секции определяют суммированием расстояний от нивелира до реек,
которые можно измерять по нитяному дальномеру или шагами. Превышения по секции
получают как суммы превышений на станциях секции.
Обозначим
в разомкнутом нивелирном ходе:- количество секций (количество измеренных
превышений),- превышение по i-той секции,- длина i-той секции,- длина хода (L =
li),-
количество станций в i-той секции,- количество станций в ходе (K = ki),-
отметка исходного репера в начале хода,- отметка исходного репера в конце хода.
Количество
реперов с неизвестными отметками равно (n-1), т.е. в ходе имеется одно
избыточное измерение, которое порождает одно геометрическое условие, и,
следовательно, вычисление отметок необходимо выполнять методом уравнивания.
Запишем
формулы для последовательного вычисления отметок реперов хода:
H1 = HA + h1,= H1 + h2,
. . . . . . .,= Hn-2+ hn-1,= Hn-1+
hn.
Сложим
эти уравнения и получим:
(H1 + H2 + … + Hn-1) + HB = HA +
(H1 + H2 + … + Hn-1) + h= HA +
h,
Откуда
h = HB — HA.
(4.60)
Формула
(4.60) представляет собой математическую запись условия, существующего в
разомкнутом нивелирном ходе: сумма превышений по секциям должна быть равна
разности отметок конечного и начального исходных реперов. Сумму превышений,
подсчитанную по формуле (4.60), называют теоретической суммой. Сумма измеренных
превышений в общем случае не равна теоретической сумме; их разность называется
невязкой хода и обозначается fh:
=
h —
hизм .
(4.61)
Невязка
нивелирного хода характеризует нарушение условия (4.60) вследствие ошибок
измерений. Значение допустимой невязки по Инструкции [14] равно:
(4.62)
(4.63)
При
fh < fhдоп вычисляют поправки в измеренные превышения по формулам:
(4.64)
(4.65)
при
этом нужно, чтобы выполнялся контроль:
Vhi = — fh .
(4.66)
По
исправленным превышениям hiиспр = hi + Vhi вычисляют отметки реперов хода.
Заключительным контролем правильности вычислений является получение в конце
хода отметки конечного исходного репера.
.4.2
Понятие о тригонометрическом нивелировании
Тригонометрическое
нивелирование называют также геодезическим или нивелированием наклонным лучом.
Оно выполняется теодолитом; для определения превышения между двумя точками
нужно измерить угол наклона и расстояние. В точке А устанавливают теодолит, в
точке В — рейку или веху известной высоты V. Измеряют угол наклона зрительной
трубы теодолита при наведении ее на верх вехи или рейки (рис.4.38). Длину
отрезка LK можно представить как сумму отрезков LC и CK с одной стороны и как
сумму отрезков LB и BK с другой. Отрезок LC найдем из ΔJLC: LC =
S*tg ν , остальные
отрезки обозначены на рисунке.
Тогда
+ CK = LB + BK и
S * tg(ν)
+ i = V + h.
Отсюда
выразим превышение h
h
= S * tg(ν) + i — V.
(4.67)
Выведем
формулу превышения из тригонометрического нивелирования с учетом кривизны Земли
и рефракции. Вследствие рефракции луч от верхнего конца вехи идет по кривой, а
визирная линия трубы будет направлена по касательной к этой кривой в точке J.
Визирная линия трубы пересечет продолжение вехи в точке L1, а не L. Проведем
уровенные поверхности в точках A, B, J (рис.4.39).
Проведем
касательную к уровенной поверхности в точке J и обозначим: высоту прибора — i,
высоту вехи — V, горизонтальное проложение линии AB — S.
Превышение
точки B относительно A выражается отрезком BK. Отрезок L1K на рис.4.39 можно
выразить через его части двумя путями:
L1K = L1E + EF + FK,K = L1L + LB +
BK.
Отрезок
L1E найдем из Δ
JL1E. Этот
треугольник можно считать прямоугольным, так как угол L1EJ очень мало
отличается от прямого, всего лишь на величину центрального угла ε =(S /
R)*r. Этот
угол при S = 1 км не превосходит 0.5′. Итак,
L1E
= JE * tg(ν),
но
поскольку JE = S, то L1E = S * tg(ν).
Отрезок
EF выражает влияние кривизны Земли:
=
p = S2 / 2*R;
L
= r * (S2 / 2*R) * k = p * k;
отрезок
LB равен высоте вехи V. Таким образом,
S
* tg(ν) + p + i = r + V + h,
h = S * tg(ν)
+ (i — V) + (p — r),= S * tg(ν) + (i — V) + f. (4.68)
При
измерении расстояния с помощью нитяного дальномера формула превышения несколько
изменяется; так как S
= (Cl + c)* Cos2(ν), то
h = 0.5*(Cl + c)*Sin(2*ν)
+ i — V + f = h’+ i — V + f,
Величину
h’= 0.5*(Cl + c)*Sin(2*ν)
называют
тахеометрическим превышением.
При
S = 100 м величиной f можно пренебречь, так как
=
0.66 мм . S2 ,
где
S — расстояние (в сотнях метров).
Ошибка
измерения превышения из тригонометрического нивелирования оценивается величиной
от 2 см до 10 см на 100 м расстояния.
При
последовательном измерении превышений получается высотный ход; в высотном ходе
углы наклона измеряют дважды: в прямом и обратном направлениях.
.4.3
Понятие о гидростатическом нивелиривании
Гидростатическое
нивелирование выполняют с помощью сообщающихся сосудов, заполненных одной
жидкостью. Жидкость устанавливается в обоих сосудах на одном уровне, на одной
отметке. Пусть высота столба жидкости в первом сосуде будет c1, а во втором c2
(рис.4.40); тогда превышение точки В относительно точки А будет равно:
=
c1 — c2. (4.69)
Точность
гидростатического нивелирования зависит от расстояния между сосудами, типа
жидкости, диапазона измерения превышения, конструкции отсчетного устроства и
других условий. Она может быть очень высокой; средняя квадратическая ошибка
измерения превышения лучшими гидростатическими нивелирами достигает 5 — 10 мкм;
диапазон измерения превышений при этом невелик — всего около 1 см. При
расстоянии между сосудами до 500 м можно измерить превышение с ошибкой около 10
мм.
.4.4
Понятие о барометрическом нивелировании
Барометрическое
нивелирование основано на зависимости атмосферного давления от высоты точки над
уровнем моря. Известно, что с увеличением высоты на 10 м давление падает
примерно на 1 мм ртутного столба.
Приближенное
значение превышения между точками 1 и 2 можно вычислить по формуле:
h
= H2 — H1 = ΔH * (P1 — P2), (4.70)
где
P1 и P2 — давление в первой и во второй точках;
ΔH
— барометрическая
ступень; значения ΔH
выбирают
из специальных таблиц.
Более
точные формулы барометрического нивелирования получают, учитывая закономерности
распределения плотности и температуры воздуха по высоте. Приведем полную
формулу Лапласа:
h
= K0*(1 + α *tm)*(1 + 0.378.em/Pm)* (1 + β*Cos2φfm)*(1 + 2/R*Hm)
*lg(P1/P2).
В
этой формуле:, P2 — давление воздуха на высоте H1 и H2 соответственно,- среднее
значение давления,- среднее значение высоты,, em — среднее значение температуры
и влажности воздуха,- среднее значение широты,
α
— температурный
коэффициент объемного расширения воздуха, равный 0.003665 град.-1
β
— коэффициент,
равный 0.00265,- коэффициент, равный 18400 при некоторых стандартных значениях
давления воздуха и силы тяжести.
Известны
и так называемые сокращенные барометрические формулы, в которых значения
некоторых параметров состояния атмосферы приняты фиксированными; так в формуле
М.В. Певцова:
h
= N*(1 + α*tm) *lg(P1/P2),
где
N = 18470, принято: em = 9 мм рт.ст., fm = 55o, Hm = 250 м, Pm = 740 мм рт.ст.
Точность
барометрического нивелирования невысока; средняя квадратическая ошибка
измерения превышения колеблется от 0.3 м в равнинных районах до 2 м и более в
горных. Основные области применения барометрического нивелирования — геология и
геофизика.
5.
ТОПОГРАФИЧЕСКИЕ КАРТЫ И ПЛАНЫ
.1
Масштабы топографических карт
Масштабом
называется степень уменьшения горизонтальных проложений линий местности при
изображении их на плане, карте или аэроснимке. Различают численный и
графические масштабы; к последним относятся линейный, поперечный и переходный
масштабы.
Численный
масштаб. Численный масштаб выражается в виде дроби, числитель которой равен
единице, а в знаменателе стоит число, показывающее степень уменьшения
горизонтальных проложений. На топографических картах численный масштаб
подписывается внизу листа карты в виде 1:М, например, 1:10000. Если длина линии
на карте равна s, то горизонтальное проложение S линии местности будет равно:
=
s * M . (5.1)
В
нашей стране приняты следующие масштабы топографических карт: 1:1 000 000,
1:500 000, 1:200 000, 1:100 000, 1:50 000, 1:25 000, 1:10 000. Этот ряд
масштабов называется стандартным. Раньше этот ряд включал масштабы 1:300 000,
1:5000 и 1:2000.
Линейный
масштаб. Линейный масштаб — это графический масштаб; он строится в соответствии
с численным масштабом карты в следующем порядке:
проводится
прямая линия и на ней несколько раз подряд откладывается отрезок a постоянной
длины, называемый основанием масштаба (при длине основания a=2 см линейный масштаб
называется нормальным); для масштаба 1:10 000 a соответствует 200 м,
у
конца первого отрезка ставится нуль,
влево
от нуля подписывают одно основание масштаба и делят его на 20 частей,
вправо
от нуля подписывают несколько оснований,
параллельно
основной прямой проводят еще одну прямую и между ними прочерчивают короткие
штрихи (рис.5.1).
Линейный
масштаб помещается внизу листа карты.
Чтобы
измерить длину линии на карте, фиксируют ее раствором циркуля-измерителя, затем
правую иглу ставят на целое основание так, чтобы левая игла находилась внутри
первого основания. Считывают с масштаба два отсчета: N1 — по правой игле и N2 —
по левой; длина линии равна сумме отсчетов
=
N1 + N2 ;
сложение
отсчетов выполняют в уме. Поперечный масштаб. Проведем прямую линию CD и
отложим на ней несколько раз основание масштаба — отрезок a длиной 2 см
(рис.5.2). В полученных точках восстановим перпендикуляры к линии CD; на
крайних перпендикулярах отложим m раз вверх от линии CD отрезок постоянной
длины и проведем линии, параллельные линии CD. Крайнее левое основание разделим
на n равных частей. Соединим i-тую точку основания CA с (i-1)-й точкой линии
BL; эти линии называются трансверсалями. Построенный таким образом масштаб
называется поперечным.
Если
основание масштаба равно 2 см, то масштаб называется нормальным; если m = n =
10, то масштаб называется сотенным.
Наименьшее
деление поперечного масштаба равно отрезку F1L1; на такую длину отличаются два
соседних параллельно расположенных отрезка при движении вверх по трансверсали и
по вертикальной линии. Теория поперечного масштаба заключается в выводе формулы
цены его наименьшего деления.
Рассмотрим
два подобных треугольника AF1 L1 и AFL, из подобия которых следует:
(5.2)
откуда
F1L1 = FL*(AL1 / AL) .
По
построению FL = a/n и (AL1 / AL) = 1/m. Подставим эти равенства в формулу (5.2)
и получим:
(5.3)
При
m = n = 10 имеем F1L1 = a/100, то-есть, у сотенного масштаба цена наименьшего
деления равна одной сотой доле основания.
Порядок
пользования поперечным масштабом:
циркулем-измерителем
зафиксировать длину линии на карте,
одну
ножку циркуля поставить на целое основание, а другую — на любую трансверсаль,
при этом обе ножки циркуля должны располагаться на линии, параллельной линии
CD,
длина
линии составляется из трех отсчетов: отсчет целых оснований, умноженный на цену
основания, плюс отсчет делений левого основания, умноженный на цену деления
левого основания, плюс отсчет делений вверх по трансверсали, умноженный на цену
наименьшего деления масштаба. Точность измерения длины линий по поперечному
масштабу оценивается половиной цены его наименьшего деления.
Переходный
масштаб. Иногда в практике приходится пользоваться картой или аэроснимком,
масштаб которых не является стандартным, например, 1:17500, то-есть, 2 см на
карте соответствуют 350 м на местности; наименьшее деление нормального
поперечного сотенного масштаба будет при этом 3.5 м. Оцифровка такого масштаба
неудобна для практических работ, поэтому поступают следующим образом. Основание
поперечного масштаба берут не 2 см, а расчитывают так, чтобы оно соответствовало
круглому числу метров, например, 400 м. Длина основания в этом случае будет a =
400 м / 175 м = 2.28 см.
Если
теперь построить поперечный масштаб с длиной основания a = 2.28 см, то одно
деление левого основание будет соответствовать 40 м, а цена наименьшего деления
будет равна 4 м.
Поперечный
масштаб с дробным основанием называется переходным.
Точность
масштаба. Карта или план — это графические документы. Принято считать, что
точность графических построений оценивается величиной 0.1 мм. Длина горизонтального
проложения линии местности, соответствующего на карте отрезку 0.1 мм,
называется точностью масштаба. Практический смысл этого понятия заключается в
том, что детали местности, имеющие размеры меньше точности масштаба, на карте в
масштабе изобразить невозможно, и приходится применять так называемые
внемасштабные условные знаки.
Кроме
понятия «точность масштаба» существует понятие «точность
плана». Точность плана показывает, с какой ошибкой нанесены на план или
карту точечные объекты или четкие контуры. Точность плана оценивается в
большинстве случаев величиной 0.5 мм; в нее входят ошибки всех процессов
создания плана или карты, в том числе и ошибки графических построений.
.2
Разграфка и номенклатура
.2.1
Разграфка и номенклатура топографических карт
Номенклатурой
называется система нумерации отдельных листов топографических карт и планов
разных масштабов. Схема взаимного расположения отдельных листов называется
разграфкой.
В
нашей стране принята международная система разграфки и номенклатуры
топографических карт; ее основой является лист карты масштаба 1:1 000 000.
Вся
поверхность Земли условно разделена меридианами и параллелями на трапеции
размером 6o по долготе и 4o по широте; каждая трапеция изображается на одном
листе карты масштаба 1:1 000 000. Листы карт, на которых изображаются трапеции,
расположенные между двумя соседними параллелями, образуют ряды, которые
обозначаются буквами латинского алфавита от A до V от экватора к северу и к
югу. Листы карт, на которых изображаются трапеции, расположенные между двумя
соседними меридианами, образуют колонны. Колонны имеют порядковые номера от 1
до 60, начиная с меридиана 180o; колонна листов карт, на которой изображена 1-я
зона проекции Гаусса (см. раздел 1.7), имеет порядковый номер 31 (рис.5.3).
Номенклатура
листа карты миллионного масштаба составляется из буквы ряда и номера колонны,
например, N-37.
Листы
карты масштаба 1:500 000 получают делением листа миллионного масштаба на 4
части средним меридианом и средней параллелью.
Размеры
листа — 3o по долготе и 2o по широте. Номенклатуру листа карты масштаба 1:500
000 получают, добавляя к номенклатуре миллионного листа справа прописную букву
русского алфавита А, Б, В, Г, например, N-37-А.
Листы
карты масштаба 1:200 000 получают делением листа миллионного масштаба на 36
частей меридианами и параллелями. Размеры листа — 1o по долготе и 40′ по
широте. Номенклатуру листа карты масштаба 1:200 000 получают, добавляя к
номенклатуре миллионного листа справа римскую цифру от I до XXXYI, например,
N-37-XXIY.
Листы
карты масштаба 1:100 000 получают делением листа миллионного масштаба на 144
части меридианами и параллелями. Размеры листа — 30′ по долготе и 20′ по
широте. Номенклатуру листа карты масштаба 1:100 000 получают, добавляя к номенклатуре
миллионного листа слева числа от 1 до 144, например, N-37-144.
Листы
карты масштаба 1:50 000 получают делением листа масштаба 1:100 000 на 4 части
средним меридианом и средней параллелью. Размеры листа — 15′ по долготе и 10′
по широте. Номенклатуру листа карты масштаба 1:50 000 получают, добавляя к
номенклатуре листа 1:100 000 справа прописную букву русского алфавита А, Б, В,
Г, например, N-37-144-А.
Листы
карты масштаба 1:25 000 получают делением листа масштаба 1:50 000 на 4 части
средним меридианом и средней параллелью. Размеры листа — 7’30» по долготе
и 5′ по широте. Номенклатуру листа карты масштаба 1:25 000 получают, добавляя к
номенклатуре листа 1:50 000 справа строчную букву русского алфавита а, б, в, г,
например, N-37-144-А-а.
Листы
карты масштаба 1:10 000 получают делением листа масштаба 1:25 000 на 4 части
средним меридианом и средней параллелью. Размеры листа — 3’45» по долготе
и 2’30» по широте. Номенклатуру листа карты масштаба 1:10 000 получают,
добавляя к номенклатуре листа 1:25 000 справа цифру от 1 до 4, например,
N-37-144-А-а-1.
Сводная
схема разграфки и номенклатуры топографических карт показана на рис.5.4. (см.
раздел 5.2.2.)
Севернее
60-й параллели листы карт издаются сдвоенными по долготе, севернее 76-й
параллели — счетверенными.
.2.2
Разграфка и номенклатура крупномасштабных планов
Для
планов масштабов 1:5000 и 1:2000, создаваемых на участке незастроенной
территории площадью более 20 км2, в основу разграфки положен лист карты
масштаба 1:100 000, т.е. применяется государственная система разграфки и
номенклатуры. Листы планов создаются в трехградусных зонах; сетка прямоугольных
координат строится в виде квадратов 10 х 10 см.
Листы
планов масштаба 1:5 000 получают делением листа масштаба 1:100 000 на 256
частей меридианами и параллелями. Размеры листа — 1’52.5″ по долготе и
1’15» по широте.
Номенклатуру
листа плана масштаба 1:5 000 получают, добавляя к номенклатуре листа карты
1:100 000 справа в скобках число от 1 до 256, например, N-37-144-(256).
Листы
планов масштаба 1:2 000 получают делением листа масштаба 1:5 000 на 9 частей
меридианами и параллелями. Размеры листа — 37.5″ по долготе и 25″ по
широте. Номенклатуру листа плана масштаба 1:2 000 получают, добавляя к
номенклатуре листа плана 1:5 000 справа в скобках строчную букву русского
алфавита от а до и, например, N-37-144-(256-и).
Для
топографических планов, создаваемых на территории городов и на участки
незастроенной территории площадью менее 20 км2, применятся прямоугольная
разграфка. За ее основу принимается лист плана масштаба 1:5000; листы плана
масштаба 1:5000 нумеруются на участке съемки порядковыми номерами от 1 и далее.
Лист
плана масштаба 1:5000 делится на 4 части и получаются листы плана масштаба
1:2000, которые обозначаются русскими заглавными буквами, например, 5-Г. Лист
плана масштаба 1:2000 делится на 4 листа масштаба 1:1000 или на 16 листов
масштаба 1:500. Листы плана масштаба 1:1000 обозначаются римскими цифрами от I
до IY, например, 5-Г-IY; листы плана масштаба 1:500 обозначаются арабскими
числами от 1 до 16, например, 5-Г-16.
Размеры
листа плана масштаба 1:5000 — 40 х 40 см; размеры листа плана масштабов 1:2000,
1:1000, 1:500 — 50 х 50 см.
На
одном листе плана масштаба 1:5000 изображается участок местности площадью 4 км2
(400 га), на листе плана масштаба 1:2000 — 1 км2 (100 га), на листе плана
масштаба 1:1000 — 25 га, на листе плана масштаба 1:500 — 6.25 га.
Схема
разграфки и номенклатуры крупномасштабных планов показана на рис.5.5.
5.3
Координатная сетка
Одним
из элементов географической карты является сетка координатных линий. Существуют
два вида координатной сетки: картографическая, образуемая линиями меридианов и
параллелей, и сетка прямоугольных координат, образуемая линиями, параллельными
осям координат OX и OY.
На
топографических картах меридианы и параллели являются границами листа карты; в
углах карты подписываются их долгота и широта. Внутри листа вычерчивается сетка
прямоугольных координат в виде квадратов, называемая иногда километровой
сеткой, так как на картах масштаба 1:10 000 и мельче линии сетки проводятся
через целое число километров.
Вертикальные
линии сетки параллельны осевому меридиану зоны (оси OX) и имеют уравнение Y =
Const; значение координаты Y подписывается у каждой линии. Горизонтальные линии
сетки параллельны оси OY и имеют уравнение X = Const; значение координаты X
подписывается у каждой линии.
Для
удобства пользования листами карт, на которых изображены граничные участки
зоны, на них показывается сетка прямоугольных координат соседней зоны. Ширина
граничной полосы с сеткой соседней зоны составляет 2o по долготе с обоих сторон
зоны. Выходы линий координатной сетки соседней зоны наносятся на внешнюю
сторону рамки листа карты.
.4
Условные знаки топографических карт
Объекты
местности, ситуация и некоторые формы рельефа изображаются на топографических
картах условными знаками. Различают четыре типа условных знаков: контурные или
площадные, линейные, внемасштабные и пояснительные подписи. Контурные условные
знаки служат для изображения объектов, занимающих определенную площадь и
выражающихся в масштабе карты. Контур вычерчивают точечным пунктиром или тонкой
сплошной линией и заполняют условными значками леса, луга, сада, огорода,
болота и т.д. Линейные условные знаки служат для изображения линейных объектов:
дорог, ЛЭП, линий связи, различных продуктопроводов и т.д. Масштаб по линии
равен масштабу карты, а в поперечнике — на несколько порядков крупнее.
Внемасштабные условные знаки служат для показа объектов, не выражающихся в
масштабе карты: геодезических пунктов. километровых столбов, теле- и
радиовышек, фабрик, заводов, различного рода опор, и т.д. Местоположение
объекта соответствует характерной точке условного знака, которая может
располагаться в центре , условного знака, в середине его основания и т.д.
Пояснительные подписи служат для дополнительной характеристики объектов: у
брода через реку подписывают глубину и характер грунта, у моста — его длину,
ширину и грузоподъемность, у дороги — ширину проезжей части и характер покрытия
и т.д. В традиционной картографии принято деление всех объектов местности на 8
больших классов (сегментов):
математическая
основа,
рельеф,
гидрография,
населенные
пункты,
предприятия,
дорожная
сеть,
растительность
и грунты,
границы
и подписи.
Таблицы
условных знаков для карт разных масштабов составляются в соответствии с этим
делением объектов; они утверждаются государственными органами и издаются в
форме обязательных для исполнения документов.
5.5
Изображение рельефа на картах и планах
Основные
формы рельефа. Несмотря на большое разнообразие неровностей земной поверхности,
можно выделить основные формы рельефа: гора, котловина, хребет, лощина,
седловина.
Гора
(или холм) — это возвышенность конусообразной формы. Она имеет характерную
точку — вершину, боковые скаты (или склоны) и характерную линию — линию
подошвы. Линия подошвы — это линия слияния боковых скатов с окружающей
местностью . На скатах горы иногда бывают горизонтальные площадки, называемые
уступами.
Котловина
— это углубление конусообразной формы. Котловина имеет характерную точку — дно,
боковые скаты (или склоны) и характерную линию — линию бровки. Линия бровки —
это линия слияния боковых скатов с окружающей местностью.
Хребет
— это вытянутая и постепенно понижающаяся в одном направлении возвышенность. Он
имеет характерные линии: одну линию водораздела, образуемую боковыми скатами
при их слиянии вверху, и две линии подошвы.
Лощина
— это вытянутое и открытое с одного конца постепенно понижающееся углубление.
Лощина имеет характерные линии: одну линию водослива (или линию тальвега),
образуемую боковыми скатами при их слиянии внизу, и две линии бровки.
Седловина
— это небольшое понижение между двумя соседними горами; как правило, седловина
является началом двух лощин, понижающихся в противоположных направлениях.
Седловина имеет одну характерную точку — точку седловины, располагающуюся в
самом низком месте седловины.
Существуют
разновидности перечисленных основных форм, например, разновидности лощины:
долина, овраг, каньон, промоина, балка и т.д. Иногда разновидности основных
форм характеризуют особенности рельефа конкретного участка местности, например,
в горах бывают пики — остроконечные вершины гор, ущелья, теснины, щеки, плато,
перевалы и т.д.
Вершина
горы, дно котловины, точка седловины являются характерными точками рельефа;
линия водораздела хребта , линия водослива лощины, линия подошвы горы или
хребта, линия бровки котловины или лощины являются характерными линиями
рельефа.
Способы
изображения рельефа. Способ изображения рельефа должен обеспечивать хорошее
пространственное представление о рельефе местности, надежное определение
направлений и крутизны скатов и отметок отдельных точек, решение различных
инженерных задач.
За
время существования геодезии было разработано несколько способов изображения
рельефа на топографических картах. Перечислим некоторые из них.
Перспективный
способ.
Способ
отмывки. Этот способ применяется на мелкомасштабных картах. Поверхность Земли
показывается коричневым цветом: чем больше отметки, тем гуще цвет. Глубины моря
показывают голубым или зеленым цветом: чем больше глубина, тем гуще цвет.
Способ
штриховки.
Способ
отметок. При этом способе на карте подписывают отметки отдельных точек
местности.
Способ
горизонталей.
В
настоящее время на топографических картах применяют способ горизонталей в
сочетании со способом отметок, причем на одном квадратном дециметре карты
подписывают, как правило, не менее пяти отметок точек.
Способ
горизонталей. Сущность способа горизонталей можно понять из рис.5.6.
Мысленно
рассечем участок местности горизонтальной плоскостью на высоте H. Линия
пересечения этой плоскости с поверхностью Земли называется горизонталью.
Горизонталь на местности — это замкнутая кривая линия, все точки которой имеют
одинаковые отметки. Уменьшенное изображение на карте горизонтальной проекции
горизонтали местности также называют горизонталью.
Для
того, чтобы изобразить горизонталями рельеф участка местности, нужно рассечь
его не одной, а несколькими горизонтальными плоскостями, расположенными на
одинаковом расстоянии по высоте одна от другой. Это расстояние называется
высотой сечения рельефа и обозначается буквой h. На местности горизонтали не
пересекаются, так как они лежат в разных параллельных плоскостях; на карте они
тоже как правило не пересекаются.
Все
основные формы рельефа имеют свой рисунок горизонталей; при этом и гора и
котловина изображаются системами замкнутых горизонталей (рис.5.7). Чтобы
различить эти формы рельефа, а также для некоторых других целей на карте
принято показывать направление скатов вниз; для этого применяются бергштрихи —
короткие штрихи, перпендикулярные горизонталям и направленные по скату вниз.
Основные
горизонтали имеют отметки, кратные высоте сечения рельефа h, начиная от нуля
счета высот. Для выражения характерных особенностей рельефа рекомендуется
проводить полугоризонтали и четвертьгоризонтали; они проводятся штриховыми
линиями через половину и четверть сечения рельефа на отдельных участках карты
(где расстояние между основными горизонталями слишком большое).
Каждая
пятая основная горизонталь при h = 1, 2, 5, 10 м и каждая четвертая при h = 0.5
и 2.5 м утолщаются. Отметки некоторых горизонталей на карте подписывают,
ориентируя основания цифр вниз по склону.
Крутизна
и направление скатов. На рис.5.6 видно, что расстояние a между горизонталями на
горизонтальной проекции участка зависит от крутизны ската. При одинаковой
высоте сечения рельефа расстояние между горизонталями тем меньше, чем круче
скат. Крутизна ската характеризуется углом наклона ν:
tg(ν)
= h/a.
(5.4)
Тангенс
угла наклона называется уклоном и обозначается буквой i; уклон обычно выражают
в процентах или промилле (промилле — это тысячная часть целого).
Рассечем
скат горы горизонтальными плоскостями при высоте сечения h (рис.5.8); на
участке BC скат имеет угол наклона ν 1, на участке CD — угол наклона ν2. Расстояние
a1 — это горизонтальное проложение линии ската BC; оно называется заложением.
Заложение,
перпендикулярное к горизонталям, называется заложением ската, то-есть,
заложение ската — это горизонтальная проекция линии наибольшей крутизны ската в
данной точке; оно принимается за направление ската. Измерив на карте отрезок a
и зная высоту сечения рельефа h, по формуле (5.4) можно вычислить тангенс угла
наклона, а затем и сам угол наклона ν.
График
заложений. Для быстрого определения угла наклона по карте пользуются
специальным графиком, который называется графиком заложений. Он строится следующим
образом (рис.5.9):
вычисляют
заложение ската по заданной высоте сечения рельефа для разных углов наклона
0.5o, 1o, 2o и т.д.,
проводят
прямую линию и откладывают на ней равные отрезки длины, которые подписывают в
градусах угла наклона,
перпендикулярно
этой линии откладывают в масштабе карты заложения ската, вычисленные для
каждого значения угла наклона,
соединяют
полученные точки плавной кривой.
Если
теперь требуется определить угол наклона для конкретного заложения ската a,
раствором циркуля, равным a, находят соответствующее место на графике и
считывают угол наклона (на рис.4.9 ν = 4o 30′).
Аналогично
можно построить график заложения для уклонов i.
График
заложения помещается внизу листа карты справа.
Расчет
высоты сечения рельефа. При проектировании работ по созданию карты или плана
высоту сечения рельефа h выбирают в зависимости от масштаба карты, характера
рельефа и назначения карты или плана. При этом условились изображать
горизонталями скаты до 45o; скаты большей крутизны изображают специальным
условным знаком обрыва. С другой стороны, расстояние между горизонталями на
карте нельзя уменьшать до бесконечности, иначе они сольются. Считается, что
наименьшее расстояние между горизонталями может быть 0.2 мм. При amin = 0.2 мм
и νmax
= 45o высоту
сечения рельефа для конкретного масштаба можно подсчитать по формуле:
h = amin * M * tg(νmax).
(5.5)
Например,
для масштаба 1:M = 1:5 000 получим h = 1 м.
По
формуле (5.5) находят так называемую расчетную высоту сечения рельефа. В
зависимости от характера рельефа Инструкция [14] рекомендует для планов
масштаба 1:5000 несколько значений высоты сечения рельефа:
для
плоскоравнинной местности h = 0.5 м или h = 1 м,
для
равнинной и всхолмленной местности h = 1 м или h = 2 м,
для
горной местности h = 5 м.
Правильный
выбор высоты сечения рельефа очень важен с экономической точки зрения, так как
при уменьшении высоты сечения возрастает объем работ и расходы на производство
съемки.
Проведение
горизонталей по отметкам точек. Чтобы провести на карте (или плане) горизонтали,
необходимо иметь точки с известными отметками, которые назовем пикетами. Пусть
даны пикеты 1, 2, 3, 4 (рис.5.10), и предполагается, что вдоль линий 1-2, 1-3,
1-4, 2-3 и 3-4 местность имеет равномерный уклон. Требуется провести
горизонтали внутри участка, ограниченного линиями 1-2, 2-3, 3-4, 4-5; высота
сечения рельефа h= 1 м.
Процесс
нахождения на линии, соединяющей два пикета, точек, через которые пройдут
горизонтали, называется интерполированием горизонталей. Известны три способа
интерполирования: аналитический, графический и на глаз.
Рассмотрим
аналитический способ, являющийся основой для двух остальных способов. На
рис.5.11 проведем линию местности, например, 4-1, и ее горизонтальную проекцию
и затем покажем секущие плоскости, проходящие через 1 м по высоте. Обозначим
точки линии 4-1 буквами A, F, E, D, C, B. Спроектируем эти точки пересечения
секущих плоскостей с линией 4-1 на ее горизонтальную проекцию, получим точки a,
f, e, d, c, b. Задача заключается в вычислении расстояний af, ae, ad, ac.
Из
подобия треугольников FAf’ и BAb’ имеем:
‘/Ab’
= Ff’/Bb’ ,’ = Ab’*(Ff’/Bb’)
af = Af’ = Ab’*(HF — H1)/(H4 — H1).
Обозначим
Ab’ через s и запишем окончательно:
(5.6)
Если
рис.5.11 построить в масштабе карты (плана), то отрезок s можно взять прямо с
карты; отметки пикетов 1 и 4 известны, отметка точки F равна отметке первой
секущей плоскости выше точки A.
Аналогично
можно вычислить остальные отрезки. Отложив их на линии 4-1, получим на ней
искомые точки.
На
отрезках 1-2, 2-3 и других таким же образом найдем точки их пересечения с
горизонталями. Затем плавными линиями соединим точки с одинаковыми отметками и
получим рисунок горизонталей.
Аналитический
способ применяют довольно редко ввиду его большой трудоемкости. Гораздо чаще
применяют графический способ, при котором используется палетка (лист прозрачной
бумаги или пластика), на котором проведены параллельные или расходящиеся прямые
линии. Интерполирование на глаз применяют при небольших расстояниях между
пикетами и при малых разностях отметок пикетов.
.6
Решение задач с помощью карт и планов
Топографические
планы и карты содержат различную информацию об объектах местности и ее рельефе;
эта информация позволяет решать многие геодезические задачи; перечислим
некоторые из них:
определение
прямоугольных координат X и Y точки,
определение
географических координат φ
и
λ
точки,
определение
отметки H точки,
нанесение
точки на план или карту по ее прямоугольным (X и Y) или географическим (φ и λ) координатам,
определение
длины горизонтальной проекции линии c помощью линейного и поперечного
масштабов,
определение
дирекционного угла или географического азимута линии,
измерение
горизонтального угла между двумя линиями,
определение
направления и крутизны ската,
построение
профиля местности по заданной линии,
построение
на плане или карте границ зон невидимости с данной точки местности,
проведение
на плане или карте линии с уклоном, не превыщающим заданное значение,
измерение
площади участка,
определение
границ водосбора реки и ее притоков,
проектирование
береговой линии будущего водохранилища,
определение
площади зеркала и объема водохранилища,
определение
объемов земляных работ при строительстве различных инженерных сооружений.
Описание
решения этих задач не входит в содержание нашего учебника, так как методика
решения многих из них приведена в Практикумах по геодезии; некоторые задачи
подробно рассматриваются в курсе «Инженерная геодезия».
.7
Ориентирование карты на местности
Ориентировать
карту на местности — значит расположить ее так, чтобы направления линий на
карте стали параллельны направлениям соответствующих линий местности. Поскольку
на местности проще всего обнаружить и зафиксировать направление магнитного
меридиана, то основным методом ориентирования карты является ориентирование по
буссоли.
Первый
способ. Приложить ребро буссоли к линии географического меридиана и
поворачивать карту вместе с буссолью до тех пор, пока отсчет по буссоли не
будет равен склонению δ
(рис.5.12).
Второй
способ. Приложить ребро буссоли к линии осевого меридиана (вертикальной линии
координатной сетки) и поворачивать карту вместе с буссолью до тех пор, пока
отсчет по буссоли не будет равен поправке П = δ — γГ
(рис.5.13). Значения δ
и
γГ для
данного листа карты приводятся внизу листа карты слева.
Приближенно
ориентировать карту можно и по хорошо заметным линиям местности: по дорогам,
линиям связи и т.п.
.8
Цифровые топографические карты
Лист
обычной топографической карты — это результат работы сложного
научно-производственного конвейера, в котором реализованы достижения науки и
техники нескольких поколений ученых и специалистов разного профиля; к этим
достижениям относятся:
математическая
основа, включающая больше десятка картографических проекций,
система
разграфки и номенклатуры,
наборы
условных знаков для всего масштабного ряда карт,
высокопроизводительные
способы съемки местности,
технология
создания оригиналов на жесткой недеформируемой основе,
способы
тиражирования цветных оттисков карт самого разного назначения.
Всеобщая
информатизация и компьютеризация проявляются кроме всего прочего в создании
цифровых моделей самых разных объектов и явлений. В этом смысле топографические
карты, являясь графической моделью земной поверхности, уже не удовлетворяют
современным требованиям, и основным продуктом топографии становятся цифровые
топографические карты.
Цифровая
топографическая карта — это набор метрической (числовой), семантической
(описательной) и логической информации об участке земной поверхности,
хранящийся в закодированном виде на каком-либо носителе, доступном для
компьютера. Компактность хранения информации, оперативность ее обновления и
широкий набор возможностей применения ее для решения различных задач —
обязательные атрибуты цифровых карт. Существующие технические и программные
средства позволяют просматривать и редактировать цифровую карту на экране
дисплея, выполнять различные расчеты, готовить и выводить на принтер или
плоттер необходимые документы.
Цифровая
топографическая карта, являясь цифровой моделью местности, должна не только
включать в себя прежнюю — графическую — модель, но и обладать рядом новых
свойств, расширяющих и упрощающих использование геодезической информации.
В
геодезии появился термин ГИС — геоинформационная система. В отличие от других
автоматизированных информационных систем в геоинформационных системах
используется информация о земной поверхности и об объектах естественного и
искусственного происхождения, расположенных на ней и вблизи нее, то-есть, информационной
основой ГИС являются данные о земной поверхности, представляемые в виде
цифровых карт.
Некоторые
сферы применения ГИС:
инвентаризация
и учет природных ресурсов,
территориальное
управление,
ведение
различных кадастров (земельного, водного, лесного, городского и др.),
управление
крупными топливно-энергетическими комплексами,
управление
транспортом,
управление
службами безопасности (армия, внутренние войска, ФСБ),
городское
управление,
управление
недвижимостью и т.д.
Задачи,
решаемые с помощью цифровых карт. К настоящему времени уже определился круг
проблем, при решении которых цифровым картам принадлежит решающая роль;
перечислим их:
Оперативное
нанесение и визуализация обстановки. Цифровая топографическая карта служит
основой, на которую накладывают слой специальной информации, например,
дислокацию войск, экологическую обстановку, план работ по устранению стихийных
бедствий и экологических катастроф и т.д.,
Оперативное
документирование. Цифровая карта с нанесенной на ней обстановкой выводится на
твердую основу (бумагу, пластик и т.п.) и в таком виде после соответствующего
оформления и регистрации становится документом.
Издательская
деятельность. Различные варианты цифровой карты, отличающиеся как содержанием,
так и полнотой, могут тиражироваться и распространяться среди потребителей.
Решение
расчетно-аналитических задач, связанных с обработкой данных о земной
поверхности. К этим задачам относятся:
управление
и планирование,
проектирование,
в том числе моделирование природных и социальных процессов,
расчеты,
связанные с капитальным строительством, прокладкой путей сообщения и линий
связи,
штурманско-навигационные
задачи по выбору пути, прокладке курса или отслеживанию движения тех или иных
транспортных средств.
Программа
цифрового картографирования России. В 1993 году в Роскартографии был разработан
проект программы цифрового картографирования Российской Федерации; основными
целями программы определены:
создание
единого, постоянно обновляемого государственного цифрового фонда
картографической информации,
создание
индустрии разработок ГИС различного назначения,
создание
администрации и технической службы ведения картографических баз и банков
данных,
обеспечение
всех заинтересованных потребителей, в первую очередь государственных органов,
необходимой информациней.
Постановлением
Правительства России от 3 мая 1994 года N 418 утверждены основные положения
федеральной целевой программы до 2000 года «Прогрессивные технологии
картографо-геодезического обеспечения Российской Федерации». В этой
программе в частности предусмотрено:
создание
цифровых карт масштабов 1:1 000 000 — 1:10 000 и на их основе — федерального и
региональных фондов этих карт на территорию Российской Федерации,
создание
геоинформационных систем различного ранга и назначения, в том числе на 1-м этапе
(1994 — 1996 г.г.) ГИС органов государственного управления, ГИС государственных
границ и ряда региональных ГИС, а на 2-м этапе (1996 — 2000 г.г.) —
муниципальных территориальных и отраслевых ГИС.
В
январе 1995 года Правительство России приняло Постановление N 40 «Об
организации работ по созданию геоинформационной системы для органов
государственной власти», в которой организация работ по созданию указанной
ГИС поручалась Роскартографии. К разработке данной системы привлекались другие
министерства и ведомства РФ, такие как Минэкономики, Миннауки с участием РАН и
АТН, Минсвязи, Минприроды, Госкомимущества, Гостехкомиссия, Роскоминформ, ФАПСИ
и др. совместно с органами исполнительной власти.
В
настоящее время Роскартография является крупнейшим производителем цифровой
картографической продукции в стране; работы по созданию цифровых карт ведутся в
шести центрах геоинформации:
Сибгеоинформ
(г. Новосибирск),
Росгеоинформ
(г. Москва),
Севзапгеоинформ
(г. Санкт-Петербург),
Уралгеоинформ
(г. Екатеринбург),
Востсибгеоинформ
(г. Иркутск),
Дальгеоинформ
(г. Хабаровск), а также в некоторых других организациях.
Технологическая
схема создания цифровой карты. В технологии создания топографических карт
различают «чистое создание» и обновление. Образно говоря,
топографическая карта устаревает уже в момент ее издания, так как ситуация на
местности изменяется постоянно, а потому при накоплении определенного процента
изменений карта подлежит обновлению и переизданию.
На
начальном этапе большинство цифровых карт создавались методом дигитализации
(координирования множества точек) по оригиналам обычных топографических карт;
затем были внедрены более совершенные растровые технологии. По официальным
сообщениям в настоящее время уже создана цифровая карта масштаба 1:1 000 000 на
всю территорию России, на очереди — создание цифровых карт более крупных
масштабов.
При
«цифровании» существующих топографических карт возникает
необходимость получения дополнительной информации о местности, которой на
обычных картах просто нет, поэтому и здесь приходится выполнять некоторые
процессы «цифровой топографии».
При
издании цифровой карты на территории, где топографическая карта нужного
масштаба отсутствует, и при обновлении цифровых карт применяется принципиально
новая технология, в которой можно выделить следующие крупные процессы:
создание
геодезической основы (съемочного обоснования),
получение
аэроснимков местности,
дешифрирование
снимков и сбор семантической информации,
создание
файлов цифровой карты путем ввода информации в ПК.
В
каждом из этих процессов имеется множество проблем, которые всегда возникают
при отработке новых технологий. Применительно к цифровым картам это проблемы:
стандартных
и произвольных рамок листов карт,
полноты
объектового состава,
правил
описания объектов,
точности
планового и высотного положения объектов,
согласования
метрического положения объектов,
форматов
представления данных,
технического
и программного обеспечения и т.д.
Исследования
по решению перечисленных проблем выполняются как в специализированных научных
организациях Роскартографии, так и в учебных заведениях геодезического профиля.
6.
ОПРЕДЕЛЕНИЕ ПЛОЩАДИ УЧАСТКОВ МЕСТНОСТИ
.1
Геометрический способ
Существует
три способа определения площади участков: геометрический, аналитический и
механический. На местности применяют два первых способа, на картах и планах —
все три способа.
Геометрический
способ — это вычисление площади геометрических фигур по длинам сторон и углам
между ними, значения которых можно получить только из измерений.
Сначала
рассмотрим простейшую фигуру — треугольник.
Формулы
для вычисления площади треугольника известны:
= 0.5 * a * h; (6.1)= 0.5 * a * b *
Sin(C) (6.2)
(6.3)
в
этих формулах:, b, c — длины сторон треугольника,, B, C — углы при вершинах
против соответствующих сторон,- высота, проведенная из вершины A на сторону a,-
полупериметр, p=0.5*(a + b + c).
Для
решения любого n-угольника нужно знать (2*n — 3) его элементов, причем
количество известных углов не должно быть больше (n-1), так как один угол всегда
может быть вычислен, если остальные углы известны, на основании формулы:
β = 180o * (n — 2)
(6.4)
При
расчете ошибки определения площади следует учитывать ошибки всех (2n-3)
измеряемых элементов.
В
треугольнике нужно знать (измерить) три элемента. Формула (6.1) содержит всего
два элемента; это значит, что прямой угол между основанием и высотой нужно
отдельно обеспечить с необходимой точностью, что равнозначно одному измерению.
Примем
относительную ошибку площади mp/P = 1/1000, тогда для применения формулы (6.1)
на основании принципа равных влияний необходимо выполнить условия:
где
ma,mb,β
— ср.кв.
ошибки сторон a, b и прямого угла между основанием и высотой.
Для
формулы (6.2) на основании принципа равных влияний можно написать:
(6.5)
Считая
по-прежнему mp/P=1/1000, получим:
и
mβ=
3.4′ при
< C = 60o,
mβ=
2.0′ при
< C = 45o,
mβ=
1.0′ при
< C = 26o.
Если
в треугольнике измерять три стороны с относительной ошибкой mS/S и для
вычисления площади применять формулу (6.3), то для равностороннего треугольника
получим:
(6.6)
что
при mp/P=1/1000 дает ms/S=1/1500.
Таким
образом, вариант с измерением трех сторон треугольника оказывается самым
эффективным, так как в нем не требуется измерять углы.
Четырехугольник,
как геометрическая фигура, может быть параллелограммом, ромбом, трапецией,
прямоугольником, квадратом; но как участок местности его следует считать
фигурой произвольной формы, так как обеспечение геометрических свойств той или
иной фигуры на местности требует дополнительных измерений.
В
четырехугольнике (n=4) нужно измерить пять элементов: три угла и две стороны
или два угла и три стороны или один угол и четыре стороны или четыре стороны и
одну диагональ. Последний вариант является наиболее предпочтительным, так как,
во-первых, в нем не нужно измерять углы, и, во-вторых, согласно формуле:
(6.7)
относительная
ошибка площади примерно равна относительной ошибке измерения сторон. Во всех
остальных вариантах при оценке точности площади нужно учитывать как ошибки
измерения сторон, так и ошибки измерения углов. Применение
геометрического способа на местности требует разбиения участка на простые
геометрические фигуры, что возможно лишь при наличии видимости внутри участка
(рис.6.1.)
При
определении площади участков на топографических планах и картах стороны и высоты
треугольников, стороны и диагонали четырехугольников нужно измерять с помощью
поперечного масштаба.
Для
определения площади на карте или плане геометрическим способом часто используют
палетку — лист прозрачной бумаги, на котором нанесена сетка квадратов или
параллельных линий. Палетку с квадратами накладывают на участок и подсчитывают,
сколько квадратов содержится в данном участке; неполные квадраты считают
отдельно, переводя затем их сумму в полные квадраты. Площадь участка вычисляют
по формуле:
P=n*(a*M)2,
(6.8)
где
a — длина стороны квадрата,- знаменатель масштаба карты,- количество квадратов
на участке.
Применение
палеток с параллельными линиями описано в [23].
.2
Аналитический способ
При
наличии прямоугольных координат X и Y вершин n -угольника его площадь можно
вычислить по формулам аналитической геометрии; выведем одну из таких формул. Пусть в
треугольнике ABC координаты вершин равны X1 , Y1 (A), X2, Y2 (B) и X3, Y3 (C) —
рис.6.2.
Из
вершин треугольника опустим перпендикуляры на оси координат и обозначим их
длину, как показано на рис.6.2.
Площадь
треугольника P будет равна сумме площадей двух трапеций I(aABc) и II(bBCc) за
вычетом площади трапеции III(aACc)
P=PI+PII-PIII.
(6.9)
Выразим
площадь каждой трапеции через ее основания и высоту:
=0.5(X1+X2)*(Y1-Y2);=0.5(X2+X3)*(Y3-Y2);
(6.10)=0.5(X3+X1)*(Y1-Y3);
Чтобы
избавиться от множителя 0.5, будем вычислять удвоенную площадь треугольника.
Выполним умножение, приведем подобные члены, вынесем общие множители за скобки
и получим:
*P=X1*(Y2-Y3)+X2*(Y3-Y1)+X3*(Y1-Y2)
или
в общем виде:
(6.11)
В
этой формуле индекс «i» показывает номер вершины треугольника; индекс
«i» означает, что нужно брать следующую или предыдущую вершину (при
обходе фигуры по часовой стрелке).
Если
при группировке членов выносить за скобки Y1, то получится формула:
(6.12)
Вычисления
по обоим формулам дают одинаковый результат, поэтому на практике можно
пользоваться любой из них.
Хотя
формулы (6.11) и (6.12) выведены для треугольника, нетрудно показать, что они
пригодны для вычисления площади любого n — угольника.
Оценка
точности площади. В большинстве случаев участки на местности имеют форму
неправильного n — угольника, причем количество вершин многоугольника n может
быть от 30 до 20 и более. Площадь таких участков вычисляют аналитическим
способом по прямоугольным координатам вершин, которые, в свою очередь,
определяют в результате обработки геодезических измерений. При этом для каждой
вершины многоугольника получают координаты и ошибку ее положения относительно
исходных пунктов, задающих систему координат на местности.
Выведем
формулу для оценки площади многоугольника по известным внутренним углам, длинам
его сторон и ошибкам положения mti его вершин.
На
рис.6.3 изображен фрагмент многоугольника с вершинами i-1, i, i+1, i+2 и
сторонами li-1,li,li+1.
Проведем
на вершинах i и i+1 окружности радиусами mti и mt(i+1) и построим биссектрисы
углов βi
и
βi+1.
Затем
восстановим перпендикуляры к стороне li и найдем проекции отрезков mti и
mt(i+1) на эти перпендикуляры:
(6.13)
(6.14)
Построим
трапецию, основаниями которой являются отрезки mi и mi+1, а высотой — сторона
li и найдем площадь этой трапеции ΔPi. Как известно, площадь
трапеции равна произведению полусуммы оснований на высоту, а поскольку
основаниями трапеции являются проекции ср.кв. ошибок, то вместо полусуммы нужно
взять квадратичную полусумму оснований; таким образом,
(6.15)
Где c = Sin(β/2) .
Площадь
трапеции, построенной на одной стороне многоугольника, является частью ошибки
площади всего многоугольника; выполнив квадратичное суммирование площадей ΔPi по всем
сторонам, получим:
(6.16)
Из
формулы (6.16) можно получить формулу средней квадратической ошибки площади
правильного многоугольника с одинаковой ошибкой положения mt всех его вершин:
mP=an
* mt * L, (6.17)
где:
L — периметр многоугольника,- коэффициент, зависящий от n — количества вершин;
его
значения:
|
n |
3 |
4 |
5 |
6 |
7 |
8 |
9 |
10 |
|
an |
0.204 |
0.250 |
0.256 |
0.250 |
0.243 |
0.231 |
0.222 |
|
|
n |
11 |
12 |
15 |
20 |
24 |
30 |
60 |
120 |
|
an |
0.205 |
0.197 |
0.179 |
0.156 |
0.143 |
0.128 |
0.091 |
0.065 |
Формула (6.17) является базовой и при оценке
площади неправильных n-угольников, для которых ошибка площади mp оказывается
лишь на несколько процентов больше, чем для правильного n — угольника. Так,
если площадь неправильного n — угольника при том же периметре в два раза меньше
площади правильного n-угольника, то ошибка его площади увеличивается лишь на 20
%.
При неодинаковых ошибках положения вершин
многоугольника в формуле (6.17) достаточно вместо mt поставить mt(ср).
Примером применения формулы (6.17) является
оценка площади участков, координаты вершин которых получены с топографических
планов. Например, для плана масштаба 1:2000 ошибку положения точек можно
принять равной mt = 0.50 мм * M = 1 м (при условии, что основа плана достаточно
жесткая и ее деформацией можно пренебречь). При площади участка 0.12 га и
количестве вершин n=4 (5 или 6) средняя квадратическая ошибка его площади при
правильной форме (периметр L = 140 м) будет равна 35 кв.м, а при неправильной
форме (периметр L>140 м) она может достигать 40 кв.м.
Другим примером применения формулы (6.17) может
служить оценка площади многоугольника, координаты вершин которого получены из
полярной засечки, выполненной с одного пункта-станции.
При использовании точных приборов (электронных
тахеометров или систем GPS) доля ошибок измерений в ошибке положения точек
значительно меньше доли ошибки их фиксации mф на местности. Приняв mti= mф,
можно использовать формулу (6.17) для любых способов получения координат вершин
многоугольника.
Площадь правильного n-угольника можно выразить
через его периметр:
(6.18)
И из формулы (6.17) получить формулу
относительной ошибки площади:
(6.19)
(6.20)
Например:
для треугольника (n=3) mp/P = 4.24* mt/L,
для четырехугольника (n=4) mp/P = 4.00* mt/L,
для пятиугольника (n=5) mp/P = 3.72 mt/L,
для шестиугольника (n=6) mp/P = 3.46 mt/L.
Таким образом, для приближенной оценки площади
3-4-5-6- угольника в аналитическом способе можно применять формулу:
mp/P=4* mt/L; (6.21)
ошибка этой формулы может достигать 15% — 20%
для участков, форма которых заметно отличается от формы правильного n
-угольника.
.3 Механический способ
Механический способ определения площади — это
измерение на карте или плане площади участка с произвольными границами при
помощи специального прибора — планиметра. Полярный планиметр имеет два рычага:
полюсный R1 и обводной R (рис.6.4).
Один конец полюсного рычага — точка 0 — является
полюсом планиметра, — на нем крепится игла; другой его конец шарнирно
соединяется с обводным рычагом в точке b. На одном рычаге обводного рычага
имеется счетное колесо K, которое располагается перпендикулярно рычагу, на
другом конце рычага находится обводная точка f. Для механического счета числа
оборотов счетного колеса имеется счетный механизм. Счетный барабан разделен на
сто частей,и сбоку от него имеется верньер на одну десятую деления. Обводное
колесо и счетный механизм помещаются на каретке, которую можно перемещать вдоль
обводного рычага , изменяя тем самым его длину R = bf.
Измерение площади сводится к обводу по контуру
участка на карте обводной точкой f; при этом вследствие трения о бумагу счетное
колесо вращается. Берут отсчет по счетному механизму до обвода контура n1 и
после обвода — n2. Площадь участка вычисляют по формуле:
P = c * (n2 — n1), (6.21)
где c — цена деления планиметра.
Внешний вид полярного планиметра изображен на
рис.6.5; на нем цифрами обозначены: 1 — основная каретка, 3 — полюсный рычаг, 4
— полюс, 6 — стеклянная пластинка с обводной точкой, 7 -обводной рычаг, 8 —
шарнирное соединение, 9 — счетчик полных оборотов, 10 — счетное колесо, 11 —
верньер.
Теория полярного планиметра. Предметом теории
планиметра является вывод формулы площади обводимого участка в зависимости от
числа оборотов счетного колеса. При выводе формулы выделим два случая: полюс
планиметра располагается внутри контура и вне контура.
Рассмотрим первый случай — полюс внутри контура.
Обозначим:- длина обводного рычага,- длина полюсного рычага,-расстояние от
счетного колеса до шарнира (рис.6.6).
Пусть обводная точка f движется по контуру
участка и в какой -то момент занимает положение f1.
Через малый промежуток времени она займет
положение f2, а точка b переместится из положения b1 в положение b2. За этот
промежуток времени планиметр измерит площадь pi элементарного участка; на
рисунке этот участок заштрихован. Площадь pi можно представить как сумму
площадей трех фигур:
параллелограмма b1b2f’1f1 — R*hi,
кругового сектора Ob1b2 радиуса R1 — 0.5 * R12
* αi;
кругового сектора b1f’1f2 радиуса R — 0.5 * R2*β
i;
= R * hi + 0.5 * R12 * i
+ 0.5 * R2*<β
i (6.22)
Пусть за этот промежуток времени счетное колесо
повернулось на дугу si. При движении обводного рычага параллельно самому себе
счетное колесо вращается полностью, а при движении обводного рычага вдоль своей
оси оно не вращается, а скользит по бумаге. Разобьем
движение обводного рычага на два движения: параллельно
самому себе — колесо повернется на дугу hi ,
поворот вокруг точки b2 на угол β
i
— колесо повернется на дугу в обратном направлении,
поэтому:
si = hi — ,=
si + .
Подставим последнее выражение в формулу (6.22) и
получим:
= R * si + R * r * bi + 0.5 * R12 * αi+
0.5 * R2*β i.
Сложим площади элементарных участков pi и
получим площадь всего измеряемого участка:
= pi
= R * si
+ R * r * bi + 0.5 * R12 *
αi+
0.5 * R2* β
i. (6.23)
Сумма si
выражает дугу, на которую повернулось счетное колесо при обводе всего участка;
она равна произведению разности конечного и начального отсчетов по счетному
колесу на длину дуги l, соответствующей одному делению счетного колеса:
si = l * (n2 — n1).
(6.24)
Полюсный рычаг повернется на угол 360o или π,
αi
= π, обводной рычаг повернется также на угол 360o или
π,
β
i = π.
Таким образом,
P = R * l * (n2 — n1) + π * (R12
+ R2 + 2 * R * r). (6.25)
Обозначив R * l через c и π
* (R12
+ R2 + 2 * R * r) через Q, запишем:
P = c * (n2 — n1) + Q . (6.26)
Постоянная планиметра c называется ценой деления
планиметра, постоянная Q — постоянным числом планиметра.
Во втором случае, когда полюс находится вне
контура, все выводы повторяются, только при полном обводе контура:
α
i = 0, β
i = 0 ,= c * (n2 — n1). (6.27)
Геометрический смысл постоянных планиметра.Цена
деления планиметра равна площади прямоугольника со сторонами l и R. Постоянное
число планиметра Q равно площади круга радиусом ρ;этот
круг называется основным кругом планиметра. Радиус основного круга получим из
рис.6.7. Если поставить планиметр так, чтобы плоскость счетного колеса
проходила бы через полюс планиметра O и, сохраняя это положение, обвести круг
радиусом ρ, то площадь этого
круга будет равна:
π * ρ2= π * [(OK)2 + (r + R) 2].
Из ΔOKB выразим
(OK)2 = R12 — r2 и, подставив его значение в предыдущую формулу, получим:
π * ρ2= (R12 + R2 + 2 * R
* r) = Q.
Цену деления планиметра определяют, измеряя
известную площадь, например, площадь квадрата координатной сетки. Считается,
что при четырехкратном обводе трех квадратов по отдельности среднее значение
цены деления получается с ошибкой около 1/1000. Точность измерения площади
планиметром зависит от величины участка и от методики измерения площади. При
обычной методике — двукратный обвод участка — относительная ошибка может
колебаться от 1/100 до 1/300; применяя методику, известную под названием
«способ Савича», для больших участков можно достичь точности
измерений на уровне 11/500 — 1/10000.
Способ А.Н. Савича включает следующие операции:
разделение участка на 4 части (u1,u2, u3,u4)
линиями координатной сетки; выделение в центре участка k целых квадратов
координатной сетки (рис.6.8), на рисунке k = 2,
обвод каждой части участка, получение разностей Δnu1,
Δnu2, Δnu3, Δnu4 отсчетов по
счетному механизму (Δnui = n2 — n1),
обвод дополнения (d1, d2, d3, d4) каждой части
до прямоугольника (квадрата), образованного линиями координатной сетки,
получение разностей Δnd1, Δnd2, Δnd3,
Δnd4,
вычисление цены деления планиметра 4 раза по
формуле:
ci = (ti * po) / (Δnui
+ Δndi),
где: ti — количество квадратов координатной
сетки в суммах ui + di (на рисунке t1 = t4 = 4, t2 = t3 = 1),- площадь квадрата
координатной сетки в гектарах,
Δnui, Δndi — i-тые
разности отсчетов по счетному механизму и среднего из четырех
cср = 0.25 * (c1 + c2 + c3 + c4),
вычисление площади каждой части участка p1, p2,
p3, p4
pi = cср * Δnui ,
вычисление площади участка P = p1 + p2 + p3 + p4
+ k * po .
.4 Понятие о редуцировании площади участка
Участок местности в общем случае имеет неровную
поверхность, и поэтому в геодезии различают площадь физической поверхности
участка Pф и площадь проекции участка на горизонтальную плоскость P; ясно, что
Pф > P. Пусть участок
прямоугольной формы расположен на плоскости G, имеющей угол наклона ν
(рис.6.9).
Площадь прямоугольника ABCD на плоскости G будет
равна:
Pф = a * b, (6.28)
где a, b — стороны прямоугольника.
Площадь горизонтальной проекции этого же
прямоугольника равна:
P = a * b’ = a * b * Cos (ν)=
Pф
* Cos(ν).
1 (6.29)
Далее можно написать:
P = Pф — ΔP,
(6.30)
ΔP = 2 * Pф * Sin2(ν/120).
(6.31)
Таким образом, относительное искажение площади
участка ΔP/Pф
зависит только от угла наклона; при этом форма участка и его расположение в
плоскости G не влияют на величину искажения. В следующей таблице приведены
численные значения относительного искажения площади участка для разных углов
наклона ν.
Таблица 6.2
|
ν |
1 |
2 |
3 |
4 |
5 |
6 |
7 |
8 |
9 |
10 |
|
ΔР/P |
1/6570 |
1/11640 |
1/730 |
1/410 |
1/263 |
1/182 |
1/132 |
1/103 |
1/81 |
1/66 |
Если угол наклона плоскости G неизвестен, то
абсолютное искажение площади можно получить по известным координатам и отметкам
поворотных точек контура участка, выполнив следующие операции:
по координатам поворотных точек вычислить
площадь горизонтальной проекции участка:
P = 0.5 * Σ [ Xi * (Yi+1
— Yi-1)],
решить обратные задачи по всем сторонам контура
участка и получить горизонтальные проложения Si и дирекционные углы αi
всех
сторон,
вычислить длины сторон контура по формуле:
(6.32)
где hi — превышение по i — той стороне,
одну из поворотных точек контура участка
(например, 1-ю) принять за исходную в местной системе координат на плоскости G,
то-есть,
X’1 = X1 , Y’1 = Y1 ,
и вычислить координаты всех остальных поворотных
точек контура в этой системе по формулам:
X’i+1 = X’i + di * Cos(αi),
Y’i+1 = Y’i + di * Sin(αi),
вычислить площадь участка на плоскости G:
ф = 0.5 * S[X’i *
(Y’i+1 — Y’i-1)],
вычислить абсолютное искажение площади участка:
ΔP = Pф — P.
Если поверхность участка имеет произвольно
сложную форму, то участок нужно разделить на t частей желательно треугольной
формы, каждая из которых имеет постоянный угол наклона к горизонту, вычислить
искажения площади для всех t частей и найти их сумму.
При делении участка нужно соблюдать следующие
правила:
вершины гор и донья котловин должны
фиксироваться точками с координатами и отметками,
каждая линия водораздела, водослива, бровки,
подошвы и перегиба ската должна фиксироваться не менее, чем двумя точками с
координатами и отметками.
Координаты и отметки этих точек можно определять
по топографической карте или плану.
7. ТОПОГРАФИЧЕСКАЯ СЪЕМКА МЕСТНОСТИ
.1 Геодезические сети
.1.1 Классификация геодезических сетей
С точки зрения геометрии любая геодезическая
сеть — это группа зафиксированных на местности точек, для которых определены
плановые координаты (X и Y или B и L) в принятой двухмерной системе координат и
отметки H в принятой системе высот или три координаты X, Y и Z в принятой
трехмерной системе пространственных координат.
Геодезическая сеть России создавалась в течение
многих десятилетий; за это время изменялись не только классификация сетей, но и
требования к точности измерений в них.
Согласно [18] все геодезические сети по
назначению и точности построения подразделяются на три большие группы:
государственные геодезические сети (ГГС),
геодезические сети сгущения (ГСС),
геодезические съемочные сети.
В настоящее время считаются действующими
Инструкция 1966 года [18] о ГГС, Инструкция 1982 года о ГСС и съемочных сетях и
ряд ведомственных положений и инструкций о других видах сетей.
Насущной задачей нынешнего периода является
создание единой классификации всех существующих и перспективных геодезических
сетей, которая бы соответствовала международным стандартам.
Государственная геодезическая сеть (ГГС)
является главной геодезической основой топографических съемок всех масштабов и
должна удовлетворять требованиям народного хозяйства и обороны страны при
решении соответствующих научных и инженерно-технических задач. Плановая сеть
создается методами триангуляции, полигонометрии, трилатерации и их сочетаниями;
высотная сеть создается построением нивелирных ходов и сетей геометрического
нивелирования. Государственная геодезическая сеть подразделяется на сети 1,2, 3
и 4 классов, различающиеся точностью измерений углов, расстояний и превышений,
длиной сторон сети и порядком последовательного развития.
Государственная геодезическая сеть 1 класса,
называемая еще астрономо-геодезической сетью (АГС), строится в виде полигонов
периметром около 800 — 1000 км, образуемых триангуляционными или
полигонометрическими звеньями длиной не более 200 км и располагаемыми по
возможности вдоль меридианов и параллелей.
Государственная геодезическая сеть 2-го класса
строится в виде триангуляционных сетей, сплошь покрывающих треугольниками
полигоны, образованные звеньями триангуляции или полигонометрии.
Требования к точности измерения горизонтальных
углов и расстояний в триангуляции приведены в таблице 7.1, в полигонометрии — в
таблице 7.2.
Таблица 7.1.
|
Класс |
Ср. |
Относительная |
Длина |
|
1 |
0.7″ |
1 |
> |
|
2 |
1.0 |
1 |
7 |
|
3 |
1.5 |
1 |
5 |
|
4 |
2.0 |
1 |
2 |
Таблица 7.2.
|
Класс |
|||
|
1 |
0.4″ |
1 |
> |
|
2 |
1.0 |
1 |
7 |
|
3 |
1.5 |
1 |
> |
|
4 |
2.0 |
1 |
> |
Кроме того, должны быть выполнены условия по
количеству сторон в ходе, по длине периметра полигонов и некоторые другие.
Средние квадратические ошибки измерения превышений
на 1 км хода в нивелирных ходах и сетях I, II, III, IY классов равны 0.8 мм,
2.0 мм, 5 мм и 10 мм соответственно; предельные ошибки на 1 км хода приняты
равными 3 мм, 5 мм, 10 мм и 20 мм соответственно [15].
Для топографических съемок в Инструкции 1966
года [18] установлены следующие нормы плотности пунктов ГГС:
для съемок в масштабах 1 : 25 000 и 1 : 10 000 —
1 пункт на 50 — 60 км2,
для съемок в масштабах 1 : 5 000 — 1 пункт на 20
— 30 км2,
для съемок в масштабах 1:2 000 и крупнее — 1
пункт на 5-15 км2.
В труднодоступных районах плотность пунктов ГГС
может быть уменьшена, но не более, чем в 1.5 раза.
На территории городов, имеющих не менее 100 000
жителей или занимающих площадь в пределах городской черты не менее 50 км2,
плотность пунктов ГГС должна быть доведена до 1 пункта на 5 — 15 км2.
Геодезические сети сгущения (ГCС) являются
планово-высотным обоснованием топографических съемок масштабов от 1:5000 до
1:500, а также служат основой для производства различных
инженерно-геодезических работ. Они создаются методами триангуляции и
полигонометрии. По точности измерения углов и расстояний полигонометрия ГСС
бывает 4-го класса, 1-го и 2-го разрядов — таблица 7.3.
Таблица 7.3.
|
Разряд |
Ср. |
Относительная |
|
4 |
3.0″ |
1 |
|
1 |
5.0″ |
1 |
|
2 |
10.0″ |
1 |
Следует подчеркнуть, что измерения в 4-м класс
полигонометрии ГСС выполняются со значительно меньшей точностью, чем в 4-м
классе ГГС.
Плотность пунктов ГСС должна быть доведена до 1
пункта на 1 км2 на незастроенной территории и до 4 пунктов на 1 км2 на
территории населенных пунктов и на промплощадках.
Государственную геодезическую сеть 4 класса
можно считать переходным видом сетей между ГГС и ГСС.
Отметки пунктов ГСС определяются из
нивелирования IY класса или из технического нивелирования.
Геодезические съемочные сети служат
непосредственной основой топографических съемок всех масштабов. Они создаются
всеми возможными геодезическими построениями; плотность их пунктов должна
обеспечивать высокое качество съемки. Отметки пунктов съемочных сетей
разрешается получать из технического нивелирования (при высоте сечения рельефа
h 1
м) или из тригонометрического нивелирования (при высоте сечения h 1
м).
На территории России кроме ГГС, ГСС, ГНС
(государственной нивелирной сети) существуют и другие виды геодезических сетей
[20]:
фундаментальная астрономо-геодезическая сеть
(ФАГС),
государственная фундаментальная гравиметрическая
сеть (ГФГС),
доплеровкая геодезическая сеть (ДГС),
космическая геодезическая сеть (КГС),
спутниковая геодезическая сеть 1-го класса
(СГС-1),
спутниковая дифференциальная геодезическая сеть
(СДГС).
Создание геодезических сетей любого класса и разряда
осуществляется по заранее разработанным и утвержденным проектам. В проекте
должна быть составлена схема сети (схема размещения пунктов сети и их связей),
обоснованы типы центров и знаков, определены объемы измерений и их точность,
выбраны приборы для измерения углов, расстояний, превышений и разработана
методика измерений.
Проектирование триангуляции, трилатерации и
сложных произвольных сетей выполняется, как правило, на ЭВМ по специальным
программам.
7.1.2 Закрепление геодезических пунктов на местности
На местности геодезические пункты отмечаются
центрами и опознавательными знаками. Типы центров и опознавательных знаков
бывают самые разноообразные; они зависят от типа и точности геодезической сети,
от климатических, почвенных и других характеристик местности. Геодезические
пункты должны быть достаточно прочными и долговечными, чтобы сохранить
неизменное положение центра в течение длительного времени, и находиться в
удобном месте, обеспечивающем быстрое его обнаружение и опознавание.
На рис.7.1 приведены четыре конструкции центров
пунктов:
а — для районов с сезонным промерзанием грунтов,
б — для районов с сезонным оттаиванием грунтов,
в — скальная марка,
г — стенной центр.
На рис.7.2 приведены два типа наружных знаков:
а — металлическая пирамида,
б — сложный сигнал.
7.2 Съемочное обоснование топографических съемок
Комплекс работ, в результате выполнения которого
получают карту или план местности, называют топографической съемкой. Рассмотрим
один пример. Пусть нужно составить план некоторого участка местности (например,
план небольшого дачного участка). Если требуется невысокая точность изображения
деталей местности на плане, можно применить глазомерную съемку.
Наметим на местности точки-ориентиры (например,
углы изгороди участка), определим их взаимное положение и нанесем в масштабе на
бумагу — будущий план участка. Эти точки играют роль опорных, так как положение
всех остальных точек (углы построек, грядки, отдельные деревья и кусты) мы
будем определять относительно них или относительно линий, их соединяющих.
Инструментальная съемка выполняется с более
высокой точностью, чем глазомерная, но принцип съемки остается тот же: на
местности создается сеть опорных точек, взаимное положение которых в принятой
системе координат определяют в первую очередь. Затем прибор для съемки
устанавливают последовательно на каждую опорную точку и снимают ситуацию и
рельеф в промежутках между ними, определяя положение точек местности
относительно опорных точек и соединяющих их линий.
Точки, на которые устанавливают прибор для
съемки, закрепляют на местности; их называют пунктами съемочного обоснования.
Их координаты и отметки определяют из геодезических измерений, как правило, до
начала съемки. По координатам эти пункты наносят на планшет, подготовленный к
съемке (на планшете имеется только координатная сетка линий X=Const и Y=Const).
Пункты геодезического съемочного обоснования образуют жесткий геометрический
каркас плана, относительно которого определяется положение всех остальных точек
плана.
По Инструкции средняя ошибка планового положения
пунктов съемочного обоснования допускается 0.1 мм в масштабе плана. Этот допуск
определяется точностью графических построений. Действительно, нет нужды
определять координаты пунктов с большей точностью, так как они нужны только для
того, чтобы нанести по ним на план пункты съемочного обоснования. Предельная
ошибка планового положения пунктов съемочного обоснования допускается 0.2 мм в
масштабе плана на застроенной территории и в открытой местности и 0.3 мм — в
закрытой местности. При выполнении специальных съемок допуск на эту ошибку
может быть уменьшен.
Средняя ошибка пунктов съемочного обоснования
допускается 0.1*h, где h — высота сечения рельефа создаваемого плана.
.3 Принцип топографической съемки
Обычный вид топографических карт и планов —
листы бумаги, на которых в условных знаках изображен участок местности
(графические документы). Если внимательно посмотреть на карту или план,
отвлечься от цвета, заполняющих условных значков и конфигурации условных
знаков, то можно заметить, что вся ситуация — это набор линий и точек. Но и
любая линия — это совокупность точек; таким образом, можно сказать, что вся
ситуация на плане или карте — это набор точек.
Съемка любого сооружения или угодья сводится к
съемке его границ — прямых или кривых линий. Кривую линию можно с некоторым
приближением заменить ломаной. Каждый отрезок ломаной линии является прямым, а
прямая линия вполне однозначно определяется положением двух точек.
Таким образом, точка является элементарным
объектом съемки; другими словами, съемка местности сводится к определению
координат и отметок отдельных точек, характеризующих местоположение объектов
местности и ее рельеф. При съемке геодезисты часто используют различные местные
системы координат; планы и карты издаются в зональной прямоугольной системе
координат Гаусса.
Средняя ошибка положения точечного объекта или
четкого контура на плане относительно ближайших пунктов съемочного обоснования
допускается 0.5 мм (в горной и лесной местности — 0.7 мм). Эта величина
называется точностью плана.
Ошибка изображения рельефа зависит от характера
рельефа и обычно равна одной трети высоты сечения рельефа.
Инструкция по топографической съемке разрешает
создавать топографические планы в виде цифровой модели местности. В этом случае
весь массив характеристик точек местности вводится в память ЭВМ; по мере
надобности в соответствии с заданной программой машина выдает план нужного
участка или другие документы.
.4 Классификация съемок
Топографическую съемку местности выполняют для
получения топографического плана или карты участка местности; объекты
местности, контуры и рельеф изображаются на плане или карте с помощью условных
знаков. Различают аэрофотосъемку, наземную и комбинированную съемки.
Аэрофотосъемка обычно выполняется
стереотопографическим методом, когда снимки местности получают с помощью
фотоаппаратов, установленных на самолете, а обработку снимков и рисовку плана
выполняют в камеральных условиях на стереоприборах.
Комбинированная съемка является комбинацией
аэрофотосъемки и наземной съемки; плановая ситуация рисуется по аэроснимкам, а
рельеф снимают на фотоплан в полевых условиях.
Аэрофотосъемка и комбинированная съемка являются
основными методами создания карт и планов на большие территории. Наземную
съемку применяют при создании крупномасштабных планов небольших участков, когда
применение аэрофотосъемки либо невозможно, либо экономически невыгодно.
Наземная съемка выполняется с поверхности земли.
В зависимости от методики съемки и применяемых приборов наземная съемка может
быть нескольких видов:
тахеометрическая;
мензульная;
горизонтальная или теодолитная; при
горизонтальной съемке получают план участка местности, на котором нет
изображения рельефа;
вертикальная; при этом получают план с
изображением рельефа практически без плановой ситуации;
фототеодолитная; при этом снимки местности
получают с помощью фототеодолита, а их обработку и рисовку плана выполняют на
стереоприборах,
специальные виды съемок.
.5 Горизонтальная съемка
Горизонтальная съемка местности в простейшем
варианте выполняется с помощью теодолита и рулетки. Съемочное обоснование
обычно создают проложением теодолитных ходов. Если участок съемки имеет
вытянутую форму, то теодолитный ход прокладывают по его оси; при этом отдельные
пункты съемочного обоснования можно определять из геодезических засечек. Если
участок имеет овальную форму, то прокладывают замкнутый ход по его границе;
внутри участка можно проложить диагональные ходы.
При горизонтальной съемке положение отдельных
точек определяют относительно пунктов съемочного обоснования и линий,
соединяющих их, применяя:
способ засечек (угловых, линейных,
комбинированных);
полярный способ;
способ перпендикуляров;
способ створов.
Широко также применяется способ обмеров зданий и
сооружений и расстояний между ними с помощью рулетки.
Способ засечек. При угловой засечке положение
точки 1 определяют относительно двух пунктов съемочного обоснования А и В с
помощью двух измеренных горизонтальных углов α1 и
β1.
Положение
другой точки — точки 2 определяют, измеряя два других угла α2
и
β2
(рис.7.3).
Результаты измерений записывают в журнал.
При построении плана при точках А и В с помощью
транспортира строят углы α1 и β1
и
в пересечении линий получают изображение точки 1 на плане. Аналогично находят
на плане положение точки 2.
Если расстояние до точки 1 не превышает длины
рулетки, положение точки 1 определяют линейной засечкой, при которой измеряют
расстояния А — 1 и В — 1 ; при построении плана из точки А проводят дугу
радиусом, равным расстоянию А — 1 в масштабе плана, а из точки В — радиусом,
равным расстоянию В — 1 в масштабе плана. Точка пересечения этих дуг является
изображением точки 1 на плане. Точность
измерения горизонтальных углов при угловой засечке определяется точностью их
построения на плане транспортиром, т.е.
порядка 10′ — 15′. Допустимую ошибку измерения расстояний при линейной засечке
рассчитывают по формуле:
ms = 0,3 мм * М,
где М — знаменатель масштаба съемки.
Полярный способ. Полярный способ съемки — это реализация
полярной системы координат. Теодолит устанавливают на пункте съемочного
обоснования А, принимая его за начало (полюс) местной полярной системы
координат. Полярная ось совмещается с направлением на другой пункт съемочного
обоснования В. Затем измеряют горизонтальный угол β1,
образованный
направлением АВ и направлением на снимаемую точку 1, и расстояние S1 от точки А
до точки 1 (рис.7.4). При построении плана положение точки 1 получают,
откладывая на стороне угла β1, построенного
транспортиром, расстояние S1 в масштабе плана.
Рассчитаем среднюю квадратическую ошибку
измерения углов и расстояний при полярном способе съемки, если ошибка положения
точки 1 задана и равна Мp.
В полярной системе координат ошибка положение
точки выражается формулой:

где mβ — ошибка
измерения угла β; ms — ошибка
измерения полярного расстояния.
По принципу равных влияний имеем:
m2s = (S * mβ/ )2
= M2 /2,
(7.2)
откуда
и
(7.3)
Пусть масштаб съемки 1:М=1:2 000, тогда Мp=0.5
мм * 2 000=1 м. При S=100 м вычисления по формулам (7.3) дают mβ=24′,
ms =0.7м,
ms/S = 1/150.
Способ перпендикуляров. Способ перпендикуляров
является реализацией обычной прямоугольной системы координат. Пусть линия АВ —
одна из сторон теодолитного хода. Примем ее за ось l, начало координат
совместим с пунктом А; ось d расположим перпендикулярно линии АВ. Положение
точки 1 определяется двумя перпендикулярами l1 и d1 (рис.7.5), длины которых
измеряют мерной лентой или рулеткой.
Для построения прямого угла β
можно
применть теодолит или эккер; иногда угол β = 90o можно
построить на глаз. Положение точки 1 на плане получают после выполнения трех
операций: откладывания вдоль линии АВ длины перпендикуляра l1, построения угла
β =90o c помощью транспортира, откладывания на стороне
угла β
длины
второго перпендикуляра d1.
Съемка других точек и определение их положения
на плане выполняются в таком же порядке.
Ошибка положения точки Мp в способе
перпендикуляров складывается из ошибки измерения перпендикуляра l, ошибки
построения (или измерения) угла β = 90 o и
ошибки измерения перпендикуляра d:
М2p = m2l + mβ 2/2
* d2 + m2d. (7.4)
По принципу равных влияний полагаем:
m2l = m β2/ 2
* d2 = m2d = M2p/3. (7.5)
При Мp = 0.5 мм на плане получим в
масштабе плана. Приняв ошибку построения угла mβ= 30′, рассчитаем
допустимую длину перпендикуляра d:
в масштабе плана при относительной ошибке его
измерения:
md / d = 0.33 мм / 33 м = 1/110.
Для плана масштаба 1 : 2 000 расчетная длина
перпендикуляра d получается 66 м, а для масштаба 1 : 500 — d = 16 м. В
Инструкции эти величины заданы 60 м и 20 м соответственно.
Разумеется, при другом значении ошибки mβ
допустимая
длина перпендикуляра d будет другой. Например, строя угол β
= 90o «на глаз» (mβ = 1o) , получим
d = 16 мм в масштабе плана.
При горизонтальной съемке результаты измерений
углов и линий записывают в журнал. Кроме того, прямо в поле составляют
схематический чертеж местности — абрис, на котором показывают все пункты
съемочного обоснования, контуры, ситуацию местности, записывают результаты
измерений, делают пояснительные записи.
По материалам съемки составляют и вычерчивают
план участка.
Теория и устройство эккера. Эккер — прибор для
построения на местности прямых углов. Эккеры бывают зеркальные и призменные.
Зеркальный эккер состоит из трехгранной коробки, одна из боковых граней которой
открыта (рис.7.6). К двум другим граням с внутренней стороны прикреплены
зеркала. Над зеркалами вырезаны окошки. Внизу эккера имеется крючок для отвеса.
Пусть эккер установлен на линии АВ (рис.7.7).
Луч от вехи А попадает в зеркало Z1, отражается от него, падает на зеркало Z2,
отражается от него и попадает в глаз наблюдателя, составляя со своим
первоначальным направлением угол ε. Теория
эккера заключается в выводе формулы ε = ε
(γ), где γ — угол
между зеркалами. Обозначим : α
— угол
падения и угол отражения на зеркале Z1, β — угол
падения и угол отражения на зеркале Z2.
Угол ε является
внешним углом треугольника СЕК, поэтому:
ε = 2 * α + 2 * β = 2 * (α +
β).
(7.6)
В треугольнике ЕОК:
γ = 180o — (<1 + <2)
<1 = 90o — α, а <2
= 90o — β,
γ = α + β.
ε = 2 * γ,
γ = ε/2. (7.7)
Для того, чтобы луч составлял со своим прежним
направлением угол β = 90o, нужно,
чтобы угол между зеркалами был равен 45o.
Глаз видит изображение вехи А в зеркале Z2 в
направлении СЕ, перпендикулярном направлению АВ, а в окошко над зеркалом видно
веху D, которую помощник переставляет по команде наблюдателя. Как только веха D
будет находиться на линии CE, ее закрепляют.
Если вехи закреплены, то с помощью эккера можно
найти на линии АВ точку С, чтобы линия DC была перпендикулярна АВ; другими
словами, можно найти основание перпендикуляра, опущенного из точки D на линию
АВ. Взяв в руки эккер, перемещаются по линии АВ, пока изображение вехи А в
зеркале Z2 не совпадает с направлением CD. Затем при помощи отвеса намечают на
земле точку С.
Поверка эккера. Угол между зеркалами должен быть
равен 45o. Стоя в точке С, строят прямой угол, наблюдая веху А, закрепляют
прямой угол первой вехой. Затем, стоя по-прежнему в точке С, строят прямой угол,
наблюдая веху В, закрепляют прямой угол второй вехой. Если вехи оказались
рядом, условие эккера выполняется. В противном случае намечают среднее
положение, ставят веху в эту точку и юстировочными винтами зеркал изменяют угол
между зеркалами до тех пор, пока изображение вехи А или В не совпадет с
направлением CD. После этого поверку повторяют. Эккер считается исправным, если
угол γ
отличается
от 45o не больше, чем на 2.5′, тогда ошибка
построения угла β = 90o будет
не больше 5′.
.6 Тахеометрическая съемка
В названии «тахеометрическая»
подчеркивается высокая производительность труда при этом виде съемки:
«tachys» означает быстрый.
Съемку выполняют либо теодолитом, либо
тахеометром-автоматом; в комплект приборов для съемки еще входит рейка.
Съемочное обоснование для тахеометрической
съемки создают, прокладывая теодолитные ходы, ходы технического нивелирования,
высотные или тахеометрические ходы.
Тахеометрический ход — это комбинация
теодолитного и высотного ходов в одном. На каждом пункте хода измеряют
горизонтальный угол, углы наклона на заднюю и переднюю точки и дальномерное
расстояние прямо и обратно. Превышение между пунктами вычисляют по формуле
тригонометрического нивелирования.
Уравнивание тахеометрического хода выполняют
отдельно для координат (как в теодолитном ходе) и превышений (как в высотном
ходе). Допустимые невязки вычисляют по следующим формулам:
Угловую
(7.8)
Абсолютную
(7.9)
Высотную
(7.10)
Здесь n — число измеренных углов хода, S
— длина хода в метрах.
Тахеометрическая съемка выполняется с пунктом
съемочного обоснования в полярной системе координат. Теодолит центрируют над
пунктом А, горизонтируют, приводят трубу в рабочее положение и ориентируют на
соседний пункт В съемочного обоснования, т.е. устанавливают на лимбе отсчет 0o
0′ при наведении трубы на этот пункт. Другими словами, полюсом полярной местной
системы координат является пункт А, а направление полярной оси совмещается с
направлением АВ.
Трубу теодолита наводят на рейку, установленную
в какой-либо точке местности и измеряют три величины, определяющие положение
снимаемой точки в плане и по высоте: горизонтальный полярный угол, угол наклона
и дальномерное расстояние. Затем вычисляют превышение и горизонтальное
проложение.
Точка установки рейки называется пикетом;
различают высотные и плановые пикеты.
Высотные пикеты располагают во всех характерных
точках и линиях рельефа: на вершинах гор и холмов, на дне котловин и впадин, по
линиям водослива лощин и водораздела хребтов, у подошв гор и хребтов, у бровок
котловин и лощин, в точках седловин, на линиях перегиба скатов и т.п.
Расстояние между высотными пикетами не должно превышать: 40 мм на плане при
масштабе съемки 1:500, 30 мм — при масштабе 1:1000, 20 мм — при масштабе
1:2000, чтобы при рисовке рельефа было удобно выполнять интерполирование
горизонталей. Главное условие выбора высотных пикетов — чтобы местность не
имела между соседними пикетами перегибов ската.
Чем больше высотных пикетов, тем легче рисовать
рельефа на плане, но не надо забывать, что объем выполненной работы
определяется не числом пикетов, а заснятой площадью в гектарах или в квадратных
километрах. Поэтому пикетов надо набирать столько, сколько требуется для
правильной рисовки рельефа. Плановые
пикеты располагают на контурах и объектах местности; иногда плановые пикеты
называют реечными точками. При замене криволинейных контуров ломаными линиями
ошибка спрямления не должна превышать 0.5 мм в масштабе плана.
Требуемая точность измерения горизонтальных
углов и расстояний при тахеометрической съемке такая же, как и при
горизонтальной съемке:
mβ = 24′, ms/S = 1/150.
Рассчитаем допустимую ошибку измерения угла
наклона. Для этого возьмем формулу тригонометрического нивелирования:
h’ = S * tg ν (7.11)
h = (S/cos2 ν)2
* m ν2/
ρ2
+ tg2 ν.m2s.
(7.12)
Примем h=1 м, ν= 11.4o,
tgν = 0.2, cosν = 1.0 и получим mh = 0.33
м.
Далее пишем:
ν 2/ρ2
* S2/cos4ν = m2h — tg2ν
* m2s,
mν = 10′
Поскольку требования к точности измерений при
тахеометрической съемке невысокие, то измерения при съемке пикетов выполняют по
упрощенной методике:
горизонтальные углы измеряют при одном положении
круга;
расстояния, измеряемые по нитяному дальномеру,
округляют до целых метров при съемке в масштабах 1:2 000 или 1:5 000;
углы наклона измеряют при одном положении круга,
установив место нуля близким или равным нулю; при этом отсчет по вертикальному
кругу будет равен углу наклона, если съемку выполнять при основном положении
круга.
Все результаты измерений записывают в журнал
тахеометрической съемки; затем там же вычисляют углы наклона, горизонтальные
проложения, превышения пикетов относительно точки стояния теодолита и отметки
пикетов. Одновременно с ведением журнала составляют схематический чертеж
местности — абрис (кроки), на котором показывают все заснятые с этой станции
пикеты, контуры, ситуацию, формы рельефа, направления скатов. Иногда абрис
рисуют до начала съемки, намечая на нем плановые и высотные пикеты, и затем уже
ведут съемку в соответствии с абрисом.
Рационализация и автоматизация тахеометрической
съемки. При тахеометрической съемке много времени тратится на вычисление
превышений и горизонтальных проложений. За один рабочий день обычно набирают
400 — 500 пикетов, а специалисты высокой квалификации — до 1000 пикетов; на
обработку такого объема приходится тратить несколько часов, при этом неизбежны
разного рода ошибки, для исключения которых превышения и горизонтальные
проложения выбирают из таблиц во вторую руку. Существенную пользу может дать
применение программируемого микрокалькулятора.
В инструкции по съемкам написано:
«Тахеометрическая съемка производится, как правило, тахеометром-автоматом,
и, как исключение, — теодолитом- тахеометром». Тахеометр-автомат
отличается от теодолита-тахеометра тем, что превышение и горизонтальное
проложение вычисляют в уме по дальномерным отсчетам, используя простые формулы:
S = C * lS , (7.13)’ = K * lh , (7.14)
где C и K — постоянные коэффициенты (обычно C =
100 и K = 10 или K = 20), lS и lh —
дальномерные отсчеты по рейке.
Для сравнения напишем формулы для вычисления
превышения и горизонтального проложения для обычного нитяного дальномера:
S = (C * l + c) * Cos2ν,
(7.15)’ = 0.5 * (C * l + c) Sin2ν.
(7.16)
Чем отличаются формулы тахеометра-автомата от
этих формул ? Во-первых, в них нет малой постоянной «c» нитяного
дальномера; это достигается применением в трубе дополнительной линзы, которая
смещает вершину диастимометрического угла на ось вращения прибора. Зрительная
труба, у которой c=0, называется аналлатической. Во-вторых, нет функций угла
наклона ν.
В-третьих,
для горизонтального проложения имеется своя постоянная C и свой дальномерный
отсчет lS, а для превышения — своя постоянная K и свой дальномерный отсчет lh.
Тахеометр-автомат называют еще номограммным
тахеометром, так как сетка нитей в его трубе имеет вид номограммы или диаграммы
(рис.7.8-б); у обычного теодолита дальномерные нити — это два симметричных
относительно центральной горизонтальной нити параллельных штриха (рис.7.8-а) на
расстоянии p=fоб/C один от другого. Расстояние между линиями номограммы
тахеометра-автомата переменное и зависит от угла наклона трубы.
Теория тахеометра-автомата заключается в выводе
формул:
pS = pS(fоб,C, ν), ph = ph
(fоб,K,n).
Нарисуем упрощенную схему измерения
горизонтального проложения S и превышения h (рис.7.9). На рисунке: точка J —
вершина диастимометрического угла φ, l — отсчет
по рейке, соответствующий углу φ; ν — угол
наклона визирной линии, наведенной на нуль рейки, i — высота прибора,
V
— высота нуля рейки.
Из треугольника JON выразим горизонтальное
проложение S и превышение нуля рейки относительно горизонта инструмента h’:
= JN = JO * Cosν,
(7.17)’ = ON = JO * Sinν.
(7.18)
Из треугольника JKO выразим отрезок JO, а из
треугольника KOG — отрезок OG:
OG = l * Cos(ν + φ).
Подставим последовательно OG в формулу для JO и
затем JO — в формулы (7.17) и (7.18):
(7.19)
(7.20)
Распишем косинус суммы двух углов
Cos(ν + φ) = Cosν * Cosφ —
Sinν * Sinφ
и преобразуем дробь в формулах (7.19) и (7.20)
Тогда
S = l * Cosν * (Cosν * Ctgφ —
Sinν) , (7.21)
h’ = l * Sinν * (Cosν * Ctgφ —
Sinν) . (7.22)
Сравнивая эти формулы с формулами (7.13) и
(7.14), замечаем, что:
C = Cosν * (Cosν * Ctgφ — Sinν),
(7.23)
K = Sinν * (Cosν * Ctgφ — Sinν).
(7.24)
Коэффициенты C и K — это постоянные величины,
поэтому для выполнения равенств (7.23) и (7.24) при любых значениях угла
наклона ν
диастимометрический
угол φ
должен
изменяться в зависимости от угла ν. Раскроем
скобки и выразим Ctgφ через
функции угла ν:
(7.25)
(7.26)
С другой стороны известно, что Ctgφ
= fоб/p,
где fоб — фокусное расстояние объектива, а p — расстояние между дальномерными
нитями. Фокусное расстояние объектива — величина для данной трубы постоянная,
поэтому для изменения φ или Ctgφ
нужно
изменять расстояние между дальномерными нитями по закону: — для горизонтальных
проложений:
(7.27)
— для превышений:
(7.28)
Формулы (7.27) и (7.28) окончательные; они
показывают, что в тахеометре-автомате расстояние между дальномерными нитями
сетки должно автоматически изменяться с изменением угла наклона трубы, причем
дальномерная нить горизонтальных проложений и дальномерная нить превышений не
совпадают. Конструктивно это делается так: в поле зрения трубы передается та
часть номограммы, которая соответствует данному углу наклона трубы.
Построение номограммы тахеометра — автомата.
Сначала проводят дугу окружности радиусом R с центром в точке F (рис.7.10);
пусть для конкретности R =55 мм. Эта дуга является основной кривой, точка
«нуль» которой наводится на нуль или на Рис.7.10. отсчет V рейки.
Затем рассчитывают расстояния pS и ph для разных углов наклона при заданных
значениях C=100, K=10 (K=20) и fоб = 251 мм; например:
ν = 0o pS = 2.51 мм ,
ν = 30o pS = 2.27 мм
и т.д.
Откладывают от радиуса FO углы, для которых
вычислены расстояния pS и ph; на стороне каждого угла откладывают эти
расстояния от основной кривой и полученные точки соединяют плавными линиями —
получаются линии номограммы. Для горизонтальных проложений строят две линии: C
= 100 и C = 200, для превышений строят три линии: K = 10, K = 20 и K = 100 для
положительных и отрицательных углов наклона.
Номограмму строят либо на призме, либо на
боковой поверхности либма вертикального круга; в поле зрения трубы изображение
номограммы передается с помощью оптических деталей.
Из-за ошибок построения номограммы значения
коэффициентов C и K могут отличаться от проектных. Фактические значения
коэффициентов определяют, измеряя многократно известное расстояние S0 и
известное превышение h0:
C = S0/lS , K = h0/lh .
Относительная ошибка измерения расстояния
номограммным тахеометром — 1/500, ошибка измерения превышений — 1 см на 100 м
при K = 10 и 2 см при K = 20.
Тахеометр-автомат часто применяют вместе со
столиком Карти. В этом случае абрис составляют в процессе съемки на лавсановой
пленке. Журнал съемки при этом не ведется, так как пикеты наносят на абрис в
масштабе плана и сразу подписывают их отметки. При использовании столика Карти
исключаются белые пятна — незаснятые участки местности в пределах станции.
В настоящее время для тахеометрической съемки
применяются также электронные тахеометры, представляющие собой комбинацию
точного теодолита и точного светодальномера. Результаты измерений можно
кодировать на перфоленту или дискету; обработка таких измерений производится на
ЭВМ.
.7 Составление плана участка местности
По результатам теодолитной или тахеометрической
съемки составляют план местности. План характеризуется точностью, детальностью
и полнотой.
Детальность плана — это степень подобия
изображенных на плане контуров и объектов местности. На плане допускается
спрямление контуров с ошибкой 0.5 мм в масштабе плана.
Полнота плана определяется конкретными условиями
участка местности и его назначением. В зависимости от назначения
крупномасштабные планы делятся на топографические и специализированные. На
топографические планы наносят все объекты и контуры, перечисленные в книге
«Условные знаки для планов масштабов 1 : 5 000, 1:2 000, 1:1 000,
1:500» [16], а рельеф изображается с точностью, предусмотренной
Инструкцией [16]. При создании специализированных планов можно изображать не
всю ситуацию, а только необходимую заказчику, применять нестандартную высоту
сечения рельефа и т.п.
Точность плана — это средняя ошибка положения
объекта или четкого контура относительно ближайших пунктов съемочного
обоснования. Согласно Инструкции эта ошибка не должна превышать 0.5 мм в
масштабе плана; в горной местности этот допуск увеличивается до 0.7 мм.
Нужный масштаб съемки рассчитывается по допуску
0.5 мм на плане. Если заданная ошибка взаимного положения объектов в натуре
равна, например, 1 м, то масштаб съемки должен быть:
1/М = 0.5 мм /1 м = 1/2 000.
План строится в два этапа соответственно двум
этапам выполнения съемки:
наносится геодезическая основа, т.е. пункты
государственной геодезической сети, пункты сетей сгущения и пункты съемочного
обоснования по их известным прямоугольным координатам;
наносится ситуация, т.е. наносятся пикеты
относительно пунктов съемочного обоснования в местных полярных системах
координат, и рисуются контуры и рельеф.
Сначала на листе ватмана строят координатную
сетку квадратов со стороной 10 см при помощи специальной линейки Дробышева;
координаты углов квадратов подписывают. Затем по координатам, выбранным из
специальных таблиц по номенклатуре листа, строят углы рамок трапеций. Иногда
планы строятся не в шестиградусных, а в трехградусных зонах.
Ошибка положения вершин квадратов координатной
сетки должна быть порядка графической точности — 0.1 мм. При размерах сетки 50
* 50 см величина 0.1 мм соответствует углу 0.7′. Ни один транспортир не
обеспечит такой точности построения углов, поэтому прменяют косвенный способ построения
прямого угла. По линейке Дробышева с точностью 0.1 мм откладывают катеты длиной
50.00 см и гипотенузу длиной 70.71 см; построенный таким образом прямой угол в
треугольнике будет иметь требуемую точность. Все
пункты съемочного обоснования, с которых выполнялась съемка, и пункты опорных
сетей, попадающие на данный лист плана, наносят на планы по их координатам.
Пикеты
наносят в местных полярных системах координат при помощи транспортира и
поперечного масштаба или с помощью тахеографа (кругового транспортира с
линейкой на прозрачной основе). Около каждого пикета подписывают его номер и
отметку.
Затем,
используя абрис, вычерчивают ситуацию в условных знаках и проводят горизонтали.
Составленный
план выносят на участок местности и выполняют его контроль либо на глаз, либо
инструментально. После проверки план вычерчивают в туши в один или несколько
цветов, наносят все подписи, оформляют рамки и зарамочное пространство,
заполняют формуляр.
.8 Мензульная съемка
Сущность мензульной съемки. При мензульной съемке
план участка местности создается прямо в поле, т.е. результаты съемки ситуации
и рельефа наносят на план на каждом пункте, где установлен прибор для съемки.
Для выполнения мензульной съемки применяют мензулу, кипрегель и рейку; внешний
вид комплекта приборов изображен на
— винт, 2 — линейка основная, 3 — линейка
масштабная, 4 — линейка дополнительная, 5 — уровень, 6 — уровень зрительной
трубы, 7 — зеркало уровня вертикального круга, 8 — маховичок трибки, 9 — штифт
наколочный, 10 — буссоль, 11 — мензульная доска, 12 — диск, 13 — винт
наводящий, 14 — винт, 15 — винт закрепительный.
При мензульной съемке горизонтальные углы не
измеряют, а строят на планшете графически; для этого планшет должен быть
ориентирован на местности. Над точкой А местности центрируют точку а планшета
(рис.7.12). Планшет устанавливают в горизонтальное положение и ориентируют по
линии AB. Наводят трубу кипрегеля на точку C местности и проводят карандашом по
линейке кипрегеля направление на точку C.
Угол bac на планшете — это горизонтальный угол
B’A’C’, т.е. искомый горизонтальный угол. Можно сказать, что плоскость планшета
выполняет роль лимба с центром в точке a, а отсчет по лимбу заменяется
прочерчиванием наблюдаемого направления. Мензульную съемку иногда называют
углоначертательной.
Для определения планового положения точки C
остается только измерить горизонтальное проложение линии AC и отложить его от
точки a на прочерченном направлении в масштабе съемки. Затем измеряют
превышение точки C относительно точки A, вычисляют отметку точки C и
подписывают ее на плане; съемка точки C закончена.
Мензульная съемка выполняется полярным способом,
при этом направление полярной оси задается направлением, по которому ориентирован
планшет.
Устройство и поверки мензулы. Мензула состоит из
штатива, подставки и планшета. Штатив обычно деревянный, укороченный, с
нераздвижными ножками; можно использовать и обычный штатив для теодолита.
Металлическая или деревянная подставка имеет подъемные винты, а также
закрепительный и наводящий винты для вращения планшета вокруг оси подставки.
Мензульный планшет — это доска размером 60 х 60 х 3 см; она имеет гнезда с
резьбой для скрепления с подставкой. На планшет наклеивают чертежную бумагу высокого
качества (ватман). В настоящее время применяют прикрепляемый к планшету
струбцинами или гвоздями дюралевый лист, на котором наклеен ватман.
Перечислим поверки мензулы.
Мензула должна быть устойчивой, без люфтов в
винтах, в наконечниках ножек штатива и в других местах.
Верхняя поверхность планшета должна быть
плоской. Это условие проверяется линейкой; просвет между линейкой и планшетом
допускается 0.5 — 1.0 мм.
Плоскость планшета должна быть перпендикулярна
оси вращения подставки. Подъемными винтами планшет приводят в горизонтальное
положение и затем, освободив закрепительный винт, медленно вращают мензулу
вокруг оси. Если условие выполняется, то пузырек уровня на линейке кипрегеля
остается в нульпункте. Если пузырек уровня уклоняется от нульпункта более трех
делениий, то мензулу нужно сдать в ремонт.
Устройство и поверки кипрегеля. Прибор для
выполнения мензульной съемки называется кипрегелем. Кипрегель состоит из
следующих основных частей: линейка, колонка, ось вращения трубы, зрительная
труба, вертикальный круг. На линейке кипрегеля старых моделей имеются
цилиндрический уровень и поперечный масштаб; линейка кипрегеля новых моделей
раздвижная и без поперечного масштаба.
Перечислим поверки кипрегеля.
Нижняя поверхность линейки должна быть плоской,
а ее скошенное ребро — прямой линией. Для проверки прямолинейности скошенного
ребра проводят по линейке линию, затем поворачивают кипрегель на 180o и
проводят еще одну линию; эти линии должны совпадать или быть строго
параллельны.
Ось цилиндрического уровня на линейке должна
быть параллельна нижней плоскости линейки. Прочерчивают по линейке линию и
приводят пузырек уровня в нульпункт; затем поворачивают кипрегель на 180o и
ставят на планшет, прикладывая линейку к проведенной линии. Если пузырек
сместился, то половину смещения устраняют подъемными винтами подставки, а
вторую половину — исправительными винтами уровня.
Визирная линия трубы должна быть перпендикулярна
оси вращения трубы (поверка коллимационной ошибки). Наводят трубу на удаленную
точку при КЛ и прочерчивают направление по линейке. Затем поворачивают
кипрегель на 180o, переводят трубу через зенит, наводят ее на точку при КП и
опять прочерчивают напрвление по линейке. Если обе линии совпадают, условие
соблюдается. В противном случае проводят среднее направление, совмещают с ним
линейку кипрегеля и исправительными винтами сетки нитей смещают вертикальную
нить так, чтобы она проходила через изображение точки в поле зрения трубы.
Ось вращения трубы должна быть параллельна
нижней плоскости линейки. Эта поверка соответствует поверке равенства подставок
теодолита. Завод гарантирует выполнение этого условия, поэтому при его
нарушении кипрегель нужно сдать в ремонт.
Вертикальная нить сетки нитей должна совпадать с
коллимационной плоскостью кипрегеля, т.е. занимать вертикальное положение (это
условие проверяется так же, как у теодолита).
Место нуля вертикального круга должно быть малым
по величине (желательно 0o 0′) и постоянным.
Кроме выполнения поверок, нужно определить
фактическое значение коэффициента нитяного дальномера.
Кипрегель-автомат. Кипрегель-автомат в отличие
от простого кипрегеля позволяет определять по дальномерному отсчеты lS
горизонтальное проложение линии, а по отсчету lh — превышение пикета
относительно горизонта инструмента. Теория кипрегеля-автомата такая же, как и
теория тахеометра-автомата.
У кипрегеля-автомата КН труба дает прямое
изображение, номограммные кривые проходят по всему полю зрения трубы и основная
кривая находится внизу поля зрения (рис.7.8-б).
На трубе кипрегеля-автомата крепится
цилиндрический уровень, который дает возможность использовать кипрегель в
качестве нивелира. Если местность вокруг точки установки мензулы не имеет
больших перепадов высот, то превышения высотных пикетов можно определять через
горизонт прибора. Для этого устанвливают пузырек уровня на трубе в нульпункт и
берут отсчеты по рейке. Отметки пикетов вычисляют по формулам:
Hг = Hст + i , (7.29)пк = Hг — b , (7.30)
где: Hст — отметка пункта установки мензулы
(станции),- высота прибора (расстояние по вертикали от центра пункта до оси
вращения трубы кипрегеля),г — горизонт прибора,пк — отметка пикета,- отсчет по
рейке, установленной на пикете.
Использование кипрегеля в качестве нивелира
требует, чтобы выполнялось главное условие нивелира: ось уровня при трубе должна
быть параллельна визирной линии трубы. Это условие проверяется двойным
нивелированием вперед на расстоянии 80 — 100 м. Если величина x окажется больше
1 см, то исправительными винтами уровня смещают его относительно трубы.
Ошибки графических построений. Положение точки
на планшете обычно фиксируют наколом иглы циркуля-измерителя. Диаметр накола
имеет размеры 0.1 — 0.2 мм; чтобы накол не потерять, его обводят кружком
диаметром 2 — 3 мм. Не следует ставить ножки циркуля наклонно, чтобы накол не
разрабатывался.
Толщина линии, прочерченной твердым остро
отточенным карандашом, в лучшем случае равна 0.1 мм. Ошибка накола точки на
пересечении двух линий зависит от угла, под которым пересекаются эти линии.
Наименьшая ошибка в положении точки получается при угле пересечения 90o; она
оценивается величиной 0.08 мм. При угле пересечения 45o ошибка увеличивается до
0.2 мм. Отсюда вытекает важное правило: при определении положения точек угловой
засечкой следует добиваиться, чтобы угол засечки был близок к 90o (практически
от 30o до 150o).
Рассмотрим задачу проведения прямой линии через
две точки.
Обозначим через r радиус точек и через S —
расстояние между ними (рис.7.13). На этом рисунке AB — правильное положение оси
линии, CD — максимально ошибочное положение оси линии, на глаз неотличимое от
правильного. Обозначим через ε угол,
равный ошибке направления линии, тогда:
ε = ε
рад
= 2 * r / S
ε ‘ = 2 * r * ρ’ / S .
При r = 0.05 мм = 0.005 см получим
(7.31)
Ошибка направления линии обратно пропорциональна
расстоянию между точками, и при ε 1′
должно соблюдаться условие S 34 см.
Сформулируем практические правила, которым надо
следовать при графическом оформлении результатов мензульной съемки:
диаметр накалываемых точек должен быть как можно
меньше,
линии нужно проводить твердым остро отточенным
карандашом по далеко разнесенным точкам,
углы засечек и вообще всех пересекающихся линий
должны быть близки к 90o.
Создание съемочного обоснования для мензульной
съемки. Съемочное обоснование для мензульной съемки создают на основе пунктов
опорной геодезической сети, т.е. пунктов ГГС и сетей сгущения. Для построения
съемочного обоснования разрешается применять теодолитные и тахеометрические
ходы, триангуляционные построения, различные засечки и, кроме того, мензульные
ходы и геометрическую сеть. Первые четыре вида образуют так называемое
аналитическое съемочное обоснование, так как координаты его пунктов получают из
уравнивания конкретного геодезического построения. Последние два вида относятся
к графическому съемочному обоснованию. Применение графического съемочного
обоснование позволяет уменьшить плотность аналитического обоснования.
Мензульный ход. Мензульный
ход прокладывается между пунктами аналитического обоснования и имеет
ограниченную длину, зависящую от масштаба съемки (например, 500 м при масштабе
1:2000 [14]). Положение пунктов мензульного хода определяют графически с
помощью кипрегеля. Расстояние между пунктами измеряют нитяным дальномером в
прямом и обратном направлениях; допустимое расхождение между Sпр и Sобр не
должно превышать 1/200 от измеряемого расстояния; при съемке в масштабе 1:500
расстояния следует измерять мерной лентой или рулеткой. Направления на пункты
прочерчивают по линейке кипрегеля.
Поскольку мензульный ход прокладывают между
известными пунктами, положение которых на планшете уже зафиксировано, может
появиться невязка хода (рис.7.14).
Допустимая линейная невязка мензульного хода на
планшете равна 0.8 мм; она распределяется на все пункты хода методом
параллельных линий. Суть этого метода состоит в следующем: параллельно линии
невязки хода прочерчивают линии в пунктах мензульного хода 1′ 2′ и т.д. Затем
на этих линиях откладывают отрезки
= — S1 * fS / S
, v2 = — (S1 + S2) * fS / S , и
т.д.,
где: S1, S2 — длины сторон мензульного хода в
м,- линейная невязка хода на планшете в мм,
S — длина
мензульного хода в м,, v2 — поправки к положению пунктов хода на планшете в мм.
На концах отложенных отрезков накалывают точки,
которые и будут являться уравненными положениями пунктов мензульного хода.
Превышения между пунктами мензульного хода
определяют кипрегелем в прямом и обратном направлениях; расхождение допускается
в пределах 4 см на 100 м расстояния. Допустимая высотная невязка мензульного
хода подсчитывается по формуле (n — количество сторон в ходе):
(7.32)
Невязка распределяется в превышения между
пунктами хода с обратным знаком пропорционально длинам сторон.
Геометрическая сеть. Если на местности имеются
три пункта с известными координатами, то при мензульной съемке в масштабе
1:5000 и мельче графическое съемочное обоснование разрешается создавать в виде
геометрической сети. Применяя прямую угловую засечку с трех известных пунктов
A, B, C, определяют графически положение одного пункта, например, пункта 1
(рис.7.15).Затем с любых трех имеющихся на планшете пунктов прямой угловой
засечкой определяют положение пункта 2 и так далее, пока не будет определено
положение всех пунктов сети.
Отметки пунктов геометрической сети получают из
ходов технического нивелирования или из высотных ходов.
Подготовка планшета и мензулы к работе. До
начала съемки на планшет нужно нанести все пункты опорной сети и пункты
съемочного обоснования. На рубашке планшета строят координатную сетку и наносят
все пункты с известными координатами, попадающие на данный планшет. Затем
выходят в поле и строят графическое съемочное обоснование. После этого вершины
квадратов координатной сетки и все пункты перекалывают на планшет. За границей
плана проводят ориентирные линии. Рубашка планшета становится ненужной, но ее
не убирают, а используют как защитный чехол планшета. Иногда все построения
выполняют сразу на планшете, не используя рубашку.
Установка мензулы на станции включает три
операции: центрирование, горизонтирование и ориентирование.
Центрирование мензулы выполняют с помощью
центрировочной вилки. Один конец ее прикладывают к точке на планшете, и отвес,
висящий на другом конце вилки, должен находиться над точкой местности. Точка,
изображенная на плане и имеющая размер 0.1 мм, соответствует на местности кругу
диаметром 0.1 мм . M (M — знаменатель масштаба съемки). Поэтому центрировать
мензулу достаточно с тосностью 0.05 мм . M. В Инструкции [14] даются следующие
допуски на ошибку центрирования:
для масштабов 1:1000 и 1:500 — 5 см,
для масштаба 1:2000 — 10 см,
для масштаба 1:5000 — 25 см.
Планшеты масштаба 1:5000 и мельче можно
центрировать на глаз.
Горизонтирование планшета — приведение его
верхней плоскости в горизонтальное положение. Оно выполняется с помощью уровня
на линейке кипрегеля и подъемных винтов подставки мензулы. Сначала кипрегель
ставят линейкой по направлению двух подъемных винтов и с их помощью приводят
пузырек уровня в нульпункт. Затем переставляют кипрегель на 90o — линейкой по
третьему подъемному винту — и приводят пузырек уровня в нульпункт этим винтом.
Перед горизонтированием планшета нужно обязательно выполнить поверку уровня на
линейке кипрегеля и поверку перпендикулярности плоскости планшета оси вращения
подставки.
Ошибка направления линии вследствие наклона
планшета выражается той же формулой, что и ошибка направления вследствие
наклона оси вращения алидады в теодолите, т.е.
ε = i * tgν ,
где: i — угол наклона планшета,
ν — угол наклона
визирной линии трубы.
Поставим условие, чтобы ошибка направления ε
не
превышала 1′, тогда при ν=1o i=60′, при
ν
=5o i=11′.
Таким образом, точность горизонтирования
планшета зависит от характера рельефа местности: если рельеф пересеченный и
пикеты приходится брать при больших углах наклона трубы кипрегеля,
горизонтирование планшета нужно выполнять более тщательно. Практически планшет
горизонтируют так, чтобы отклонение пузырька уровня от нульпункта не превышало
трех делений при произвольной установке кипрегеля на планшете.
Ориентировать планшет — значит установить его
так, чтобы имеющиеся на нем линии были параллельны горизонтальным проложениям
соответствующих линий местности. Ориентирование планшета выполняют с помощью
кипрегеля по линиям, соединяющим пункты съемочного обоснования.
Выбирают на планшете линию наибольшей длины;
лучше пользоваться продолжениями линий за рамкой плана — так называемыми
ориентирными линиями. Прикладывают линейку кипрегеля к выбранной линии и
поворачивают мензулу вокруг оси подставки до тех пор, пока труба кипрегеля не окажется
наведенной на нужную точку. Затем проверяют правильность ориентирования по
другой линии.
Вся трудность установки мензулы на пункте
заключается в том, что при выполнении одной операции нарушаются условия других,
в связи с чем приходится применять метод последовательных приближений.
Производство мензульной съемки. Мензульная
съемка выполняется с пунктов съемочного обоснования; способы съемки — полярный
и засечек.
Перед съемкой пикетов измеряют высоту
инструмента i и отмечают ее на рейке. Затем исполнитель намечает места пикетов
и дает задание реечнику в каком порядке их обходить. Плановые пикеты
располагают на изгибах контуров, дорог, пересечениях и ответвлениях дорог, у
канав, углов изгородей и строений, у отдельных объектов и т.п.
Высотные пикеты располагают на характерных
точках и линиях рельефа, на перегибах скатов. Расстояние между высотными
пикетами на ровных участках не должно превышать 20 мм на плане; на один
квадратный дециметр плана обычно набирают не менее 25 высотных пикетов.
На каждой станции после полного набора пикетов
проводят контурные линии, наносят условные знаки объектов местности, проводят
горизонтали и только после этого переходят на другой пункт съемочного
обоснования.
Ежедневно составляют кальку высот, на которую
копируют все высотные пикеты, а также кальку контуров.
Сводка планшетов по рамкам. Если участок съемки
располагается на нескольких планшетах, то выполняют их сводку по рамкам. Если
приложить один планшет к другому по общей рамке, то горизонтали и контуры
должны совпадать; однако, вследствие ошибок измерений при съемке полного
совпадения может и не быть. Для устранения возможных разногласий съемка
выполняется за границей планшета на ширину 4 мм в масштабе плана.
Процесс сводки планшетов заключается в
следующем. На полоску кальки копируют с планшета углы рамок трапеции,
координатную сетку, ситуацию и рельеф в зоне шириной 24 мм: 20 мм внутри рамки
и 4 мм за рамкой. Кальки двух соседних планшетов накладывают одна на другую и
сличают. При допустимых расхождениях устанавливают окончательное положение
контуров и горизонталей и переносят его на планшеты. При недопустимом
расхождении все разногласия устраняются прямо на местности при повторной
съемке.
7.9 Специальные съемки
Кроме рассмотренных видов наземной
топографической съемки в геодезической практике применяются и другие съемки,
которые условно назовем специальными съемками; перечислим некоторые из них.
Кадастровая съемка (кадастровое
картографирование) выполняется для создания и обновления государственного
кадастра. Государственный кадастр — это банк данных о правовом режиме земель и
вод, их природном и экономическом состоянии, составляемый и периодически
обновляемый по результатам кадастрового картографирорования и мониторинта.
Мониторинг земель — это система наблюдения за состоянием земельного фонда,
своевременного выявления изменений, предупреждения и устранения последствий
негативных явлений.
При кадастровой съемке съемочное обоснование
создается в виде отдельных линейно-угловых ходов и систем ходов, различных
засечек, ходов и сетей технического нивелирования и нивелирования 4-го класса.
Съемка границ земельных участков выполняется как правило полярным способом
точным теодолитом-тахеометром или электронным тахеометром; для контроля
применяется метод промеров.
Нивелирование поверхности — это съемка рельефа
на небольшом участке местности, выполняемая с помощью нивелира и рейки; в этой
съемке пикеты фиксируют колышками в вершинах квадратов или прямоугольников,
разбиваемых на местности с нужной степенью точности. По результатам съемки
вычерчивается план местности, на котором рельеф изображен точно, а изображение
ситуации либо отсутствует, либо выполнено с невысокой точностью.
Нивелирование трассы — это съемка узкой полосы
местности, по оси которой проложен теодолитный ход. Ширина полосы обычно не
превышает 40 — 200 м; нивелирование выполняется вдоль трассы и по поперечникам,
прокладываемым в обе стороны от оси трассы на характерных точках рельефа и
будущего сооружения. По результатам съемки строят профиль трассы.
Съемка дна водоемов выполняется с катеров,
которые перемещаются по заданным маршрутам в пределах водоема и положение
которых фиксируется через некоторые промежутки времени геодезическими
засечками. Основной прибор для съемки дна — это эхолот-самописец. По
результатам съемки вычерчивают план дна водоема в горизонталях и профили дна по
заданным направлениям.
Исполнительная съемка проводится в обязательном
порядке после выполнения строительных или монтажных работ и имеет целью
зафиксировать фактическое положение отдельных узлов и деталей сооружения
относительно их проектного положения.
Съемка подкрановых путей выполняется в заводских
цехах для определения планового и высотного положения рельсов, балок и консолей
подкрановых путей. По результатам съемки составляют план, профиль и проект
рихтовки рельсов и балок.
СПИСОК ПРИНЯТЫХ ОБОЗНАЧЕНИЙ
— большая полуось земного эллипсоида,- основание
линейного или поперечного масштаба,- заложение ската,- отсчет по задней рейке,-
географический азимут линии,- магнитный азимут линии,- малая полуось земного
эллипсоида,- отсчет по передней рейке,- геодезическая широта точки,- поправка в
направление за центрировку теодолита,- коллимационная ошибка,- коэффициент
нитяного дальномера,- длина линии на местности,- диаметр объектива зрительной
трубы,- фокусное расстояние линзы,- невязка,- высота сечения рельефа на карте
или плане,- превышение одной точки относительно другой,- высота
фотографирования при аэрофотосъемке,- отметка точки,г — горизонт прибора,-
высота прибора,- коэффициент вертикальной рефракции,- коэффициент дальномера с
постоянным базисом- дальномерный отсчет по рейке,- линейный элемент центрировки
теодолита,- линейный элемент редукции визирной цели,- номинальная длина мерного
прибора,- геодезическая долгота точки,- геодезическая долгота осевого меридиана
зоны,- средняя квадратическая ошибка одного измерения,- знаменатель численного
масштаба,- средняя квадратическая ошибка арифметической средины,- средняя
квадратическая ошибка положения точки,
МО — место нуля вертикального круга угломерного
прибора,- влияние кривизны Земли на отметки точек,- расстояние между
дальномерными нитями,- площадь участка местности,- вес арифметической средины,-
румб линии,- поправка в направление за редукцию визирной цели,- радиус сферы,-
радиус рефракционной кривой в атмосфере,- горизонтальное проложение линии
местности,- полярное расстояние в полярной системе координат,- точность
масштаба,- точность верньера,- увеличение зрительной трубы,- высота вехи или
рейки,- скорость света в атмосфере,- вероятнейшая ошибка измерения,- абсцисса
точки в прямоугольной системе координат XOY,- ордината точки в прямоугольной
системе координат XOY,- зенитное расстояние,
α — полярное сжатие
земного эллипсоида,
α — полярный угол точки
в полярной системе координат,
α — дирекционный угол
линии,
β — горизонтальный
угол,
β — параллактический
угол в дальномере с постоянным базисом
γ — угол засечки,
γ — угол сближения
меридианов двух точек,
γГ- гауссово
сближение меридианов,
δ- склонение магнитной
стрелки,
Θ — угловой элемент
центрировки,
Θ1 — угловой элемент
редукции,
λ — географическая
широта точки,
λ- цена деления лимба
теодолита,
μ — цена деления шкалы
отсчетного устройства,
μ- средняя
квадратическая ошибка единицы веса,
ρ — переходный
коэффициент от радианной меры углов к градусной и обратно,
τ- цена деления
уровня,
φ — географическая
широта точки,
φ- диастимометрический
угол в дальномере с постоянным углом.
CПИСОК РЕКОМЕНДУЕМОЙ ЛИТЕРАТУРЫ
Учебники
Маслов А.В., Гордеев А.В., Батраков
Ю.Г. Геодезия.- М.:Недра, 1993.
Дьяков Б.Н. Геодезия. Общий курс:
Учеб. пособие для вузов. — Новосибирск: Изд-во Новосиб ун-та, 1993.- 171 С.
Борщ-Компониец В.И. Геодезия.
Маркшейдерское дело: Учеб. для вузов. — М.: Недра, 1989. — 512 с.: ил.
Букринский В.А., Орлов Г.В.,
Самошкин Е.И. и др. Основы геодезии и маркшейдерского дела. Учеб. для иностр.
студ. — М.:Недра, 1989. — 382 с.: ил.
Поклад Г.Г. Геодезия: Учеб. для
вузов. — М.: Недра, 1988. — 304 с.: ил.
Селиханович В.Г. Геодезия: Учебник
для вузов, Ч.II. — М.: Недра, 1981. — 544 с.
Данилов В.В., Хренов Л.С., Кожевников
Н.П. и др. Геодезия. Изд. 2-е, перераб. — М.: Недра, 1976. — 488 с.: ил.
Гиршберг М.А. Геодезия. Ч.1. — М,:
Недра, 1967. — 384 с.
Практикумы
Неумывакин Ю.К., Смирнов А.С.
Практикум по геодезии: Учебное пособие.- М.: Картгеоцентр — Геодезиздат, 1995.-
315 с.: ил.
Визгин А.А., Коугия В.А., Хренов
Л.С. Практикум по инженерной геодезии: Учеб. пособ. для вузов. — М.: Недра,
1989. — 285 с.
Баканова В.В., Карклин Я.Я., Павлов
Г.К. и др. Практикум по геодезии: Учеб. пособ. для вузов. Изд. 2-е, перераб. и
доп. — М.: Недра, 1983. — 456 с.: ил.
Хейфец Б.С., Данилевич Б.Б.
Практикум по инженерной геодезии. Изд. 2-е, перераб. и доп. — М.: Недра, 1979.
— 332 с.: ил.
Селиханович В.Г., Козлов В.П.,
Логинова Г.П. Практикум по геодезии. — М.: Недра, 1978. — 382 с.
Нормативно-справочная литература
Инструкция по топографической съемке
в масштабах 1:5000, 1:2000, 1:1000 и 1:500 / Главное управление геодезии и
картографии при СМ СССР. — М.: Недра, 1982. — 160 с.
Инструкция по нивелированию I, II,
III, IY классов / управление геодезии и картографии при СМ СССР. — М.: Недра,
1990. — 167 с.: ил.
Условные знаки для топографических
планов масштабов 1:5000, 1:2000, 1:1000 и 1:500 / Главное управление геодезии и
картографии при СМ СССР. — М.: Недра, 1989. — 286 с.: ил.
Сборник инструкций по производству
поверок геодезических приборов / Главное управление геодезии и картографии при
СМ СССР.- М.: Недра, 1988. — 77 с.: ил.
Инструкция о построении
государственной геодезической сети СССР/ Главное управление геодезии и
картографии при СМ СССР.- М.: Недра, 1966. — 342 с.
Дополнительная литература
Проблемы цифрового картографирования
территории России. Обзорная информация/ Госгисцентр. — М.: ЦНИИГАиК. — 1996. —
48 с.
Проект: Федеральная целевая
программа Российской Федерации «Перевод геодезического обеспечения России
на спутниковые методы», М., 1996.
Ащеулов В.А. Применение спутниковых
навигационных систем в геодезии: Уч. пособие. — Новосибирск: НИИГАиК, 1993. —
82 с.
Шеховцов Г.А. Оценка точности
положения геодезических пунктов. — Москва.: Недра, 1992. — 255 с.: ил.
Маслов А.В., Юнусов А.Г.6 Горохов
Г.И. Геодезические работы при землеустройстве: Учебн. пособие для ВУЗов. — 2-е
изд.,перераб. и доп.- М.: Недра, 1990.- 215 с.
Топографо-геодезические термины.
Справочник / Б.С. Кузьмин, Ф.Я. Герасимов, В.М. Молоканов и др. —
М.:Недра,1989.- 261 с.
Бронштейн И.Н., Семендяев К.А.
Справочник по математике для инженеров и учащихся ВТУЗов. — 13-е изд.,
исправленное. — М.: Наука, Гл. ред. физ.-мат. лит., 1986. — 544 с.
Лысов Г.Ф. Поверки и исследования
теодолитов и нивелиров в полевых условиях. — М.: Недра, 1978. — 97 С.
Справочник геодезиста. — М.: Недра,
1985, 1975, 1966.
Коськов Б.И. Справочное руководство
по съемке городов. 2-е изд., перераб. и доп. — М.: Недра, 1974. — 408 С.


































































































































































